Skip to ContentGo to accessibility pageKeyboard shortcuts menu
OpenStax Logo
Organic Chemistry

24.6 Synthesis of Amines

Organic Chemistry24.6 Synthesis of Amines
Search for key terms or text.

24.6 • Synthesis of Amines

Reduction of Nitriles, Amides, and Nitro Compounds

We’ve already seen in Section 20.7 and Section 21.7 how amines can be prepared by reduction of nitriles and amides with LiAlH4. The two-step sequence of SN2 displacement with CN followed by reduction thus converts an alkyl halide into a primary alkylamine having an additional carbon atom. Amide reduction converts carboxylic acids and their derivatives into amines with the same number of carbon atoms.

Alkyl halide reacts with sodium cyanide, then lithium aluminum hydride, then water. Carboxylic acid reacts with thionyl chloride, then ammonium, then lithium aluminum hydride, then water. Both form primary amine.

Arylamines are usually prepared by nitration of an aromatic starting material, followed by reduction of the nitro group (Section 16.2). The reduction step can be carried out in many different ways, depending on the circumstances. Catalytic hydrogenation over platinum works well but is often incompatible with the presence elsewhere in the molecule of other reducible groups, such as C=CC=C bonds or carbonyl groups. Iron, zinc, tin, and tin(II) chloride (SnCl2) are also effective when used in acidic aqueous solution. Tin(II) chloride is particularly mild and is often used when other reducible functional groups are present.

p-tert-Butylnitrobenzene reacts with hydrogen, platinum catalyst, and ethanol to form p-tert-butylaniline (100%). Meta-nitrobenzaldehyde reacts with tin(2) chloride and hydronium ion, then sodium hydroxide to form m-aminobenzaldehyde (90%).
Problem 24-8
Propose structures for either a nitrile or an amide that might be a precursor of each of the following amines:
(a)
CH3CH2CH2NH2
(b)
(CH3CH2CH2)2NH
(c)
Benzylamine, C6H5CH2NH2
(d)
N-Ethylaniline

SN2 Reactions of Alkyl Halides

Ammonia and other amines are good nucleophiles in SN2 reactions. As a result, the simplest method of alkylamine synthesis is by SN2 alkylation of ammonia or an alkylamine with an alkyl halide. If ammonia is used, a primary amine results; if a primary amine is used, a secondary amine results; and so on. Even tertiary amines react rapidly with alkyl halides to yield quaternary ammonium salts, R4N+ X.

Four reactions show formation of primary, secondary, tertiary amines and quaternary ammonium salt. Amine reacts with an alkyl halide to form a salt; reaction with sodium hydroxide forms an amine.

Unfortunately, these reactions don’t stop cleanly after a single alkylation has occurred. Because ammonia and primary amines have similar reactivity, the initially formed monoalkylated substance often undergoes further reaction to yield a mixture of products. Even secondary and tertiary amines undergo further alkylation, although to a lesser extent. For example, treatment of 1-bromooctane with a twofold excess of ammonia leads to a mixture containing only 45% octylamine. A nearly equal amount of dioctylamine is produced by double alkylation, along with smaller amounts of trioctylamine and tetraoctylammonium bromide.

1-Bromooctane reacts with ammonia to form octylamine with a 45 percent yield, and dioctylamine with a 43 percent yield. Trace amounts of trioctylamine and tetraoctylammonium bromide are formed.

A better method for preparing primary amines is to use azide ion, N3, rather than ammonia, as the nucleophile for SN2 reaction with a primary or secondary alkyl halide. The product is an alkyl azide, which is not nucleophilic, so overalkylation can’t occur. Subsequent reduction of the alkyl azide with LiAlH4 then leads to the desired primary amine. Although this method works well, low-molecular-weight alkyl azides are explosive and must be handled carefully.

1-Bromo-2-phenylethane reacts with sodium azide and ethanol to form 2-phenylethyl azide. This reacts with lithium aluminum hydride in ether, then water to form 2-phenylethylamine with 89 percent yield.

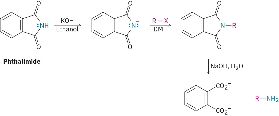
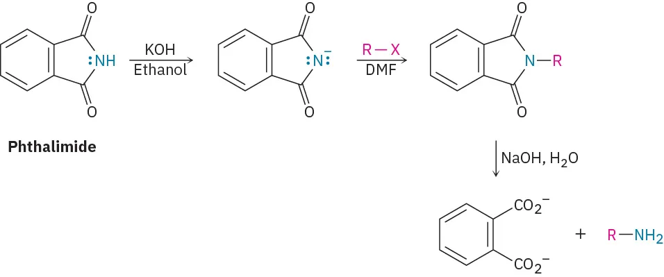
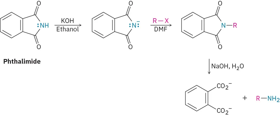
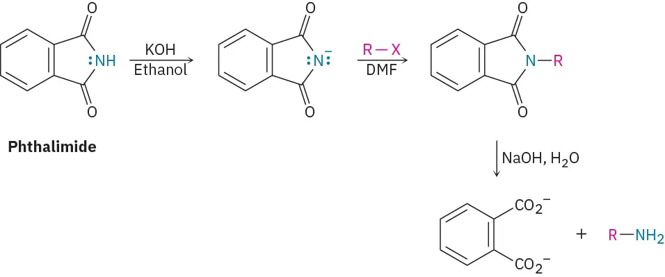
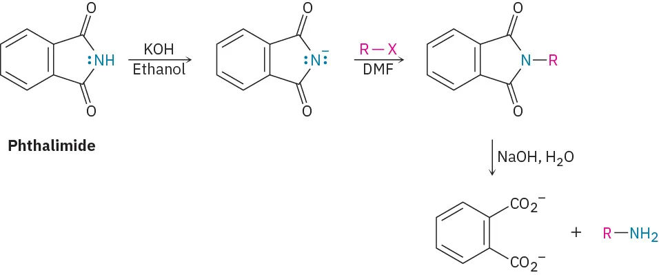
Another alternative for preparing a primary amine from an alkyl halide is the Gabriel amine synthesis, which uses a phthalimide alkylation. An imide (O=C–N–C=OO=C–N–C=O) is similar to a β-keto ester in that the acidic N–H hydrogen is flanked by two carbonyl groups. Thus, imides are deprotonated by such bases as KOH, and the resultant anions are readily alkylated in a reaction similar to acetoacetic ester synthesis (Section 22.7). Basic hydrolysis of the N-alkylated imide then yields a primary amine product. The imide hydrolysis step is analogous to the hydrolysis of an amide (Section 21.7).

Phthalimide reacts with potassium hydroxide and ethanol, then alkyl halide and N,N-dimethylformamide, then sodium hydroxide and water to form a primary amine.
Problem 24-9
Write the mechanism of the last step in Gabriel amine synthesis, the base-promoted hydrolysis of a phthalimide to yield an amine plus phthalate ion.
Problem 24-10

Show two methods for the synthesis of dopamine, a neurotransmitter involved in regulation of the central nervous system. Use any alkyl halide needed.

The ball-and-stick model of dopamine. It comprises benzene ring with hydroxyl groups on C 1 and C 2, and C 4 has two methylene groups linked to an amine group.

Reductive Amination of Aldehydes and Ketones

Amines can be synthesized in a single step by treatment of an aldehyde or ketone with ammonia or an amine in the presence of a reducing agent, a process called reductive amination. For example, amphetamine, a central nervous system stimulant, is prepared commercially by reductive amination of phenyl-2-propanone with ammonia using hydrogen gas over a nickel catalyst as the reducing agent. In the laboratory, either NaBH4 or the related NaBH(OAc)3 is commonly used (OAc = acetate).

Phenyl-2-propanone reacts with ammonia, hydrogen, nickel or sodium borohydride to form amphetamine and water.

Reductive amination takes place by the pathway shown in Figure 24.6. An imine intermediate is first formed by a nucleophilic addition reaction (Section 19.8), and the C═NC═N bond of the imine is then reduced to the amine, much as the C═OC═O bond of a ketone can be reduced to an alcohol.

Figure 24.6 MECHANISM
Mechanism for reductive amination of a ketone to yield an amine. Details of the imine-forming step are shown in Figure 19.7.
A three-step mechanism shows the reductive amination of a ketone using sodium borohydride or hydrogen, nickel to form an amine.

Ammonia, primary amines, and secondary amines can all be used in the reductive amination reaction, yielding primary, secondary, and tertiary amines, respectively.

A carbonyl compound reacts with ammonia and sodium borohydride to form a primary amine. It undergoes two reaction with primary and secondary amine to form secondary and tertiary amine, respectively.

Reductive aminations also occur in various biological pathways. In the biosynthesis of the amino acid proline, for instance, glutamate 5-semialdehyde undergoes internal imine formation to give 1-pyrrolinium 5-carboxylate, which is then reduced by nucleophilic addition of hydride ion to the C═NC═N bond. Reduced nicotinamide adenine dinucleotide, NADH, acts as the biological reducing agent.

Glutamate-5-semialdehyde releases water to form 1-pyrrolinium-5-carboxylate. This reacts to form proline as nicotinamide adenine dinucleotide hydrogen converts to nicotinamide adenine dinucleotide cation.

Worked Example 24.1

Using a Reductive Amination Reaction

How might you prepare N-methyl-2-phenylethylamine using a reductive amination reaction?

The structure of N-methyl-2-phenylethylamine. It is a benzene ring with the substituent C H 2 C H 2 N H C H 3.

Strategy

Look at the target molecule, and identify the groups attached to nitrogen. One of the groups must be derived from the aldehyde or ketone component, and the other must be derived from the amine component. In the case of N-methyl-2-phenylethylamine, two combinations can lead to the product: phenylacetaldehyde plus methylamine or formaldehyde plus 2-phenylethylamine. It’s usually better to choose the combination with the simpler amine component—methylamine in this case—and to use an excess of that amine as reactant.

Solution

2-Phenylacetaldehyde reacts with methylamine in the presence of sodium borohydride to form N-methyl-2-phenylethanamine. The product is also formed by the reaction of 2-phenylethanamine and formaldehyde with sodium borohydride.
Problem 24-11
How might the following amines be prepared using reductive amination reactions? Show all precursors if more than one is possible.
(a)
The structure of N-ethylpropan-2-amine.
(b)
The structure of N-ethylaniline.
(c)
The structure of N-methylcyclopentanamine.
Problem 24-12

How could you prepare the following amine using a reductive amination reaction?

The ball-and-stick model of a benzene ring with methyl on C 1, and C 3 linked to a methylene. This is connected to nitrogen with two methyl groups.

Hofmann and Curtius Rearrangements

Carboxylic acid derivatives can be converted into primary amines with loss of one carbon atom by both the Hofmann rearrangement and the Curtius rearrangement. Although the Hofmann rearrangement involves a primary amide and the Curtius rearrangement involves an acyl azide, both proceed through similar mechanisms.

Hofmann rearrangement: An amide reacts with sodium hydroxide, bromine, and water to form an amine. Curtius rearrangement: An acyl azide reacts with water and heat to form an amine.

Hofmann rearrangement occurs when a primary amide, RCONH2, is treated with Br2 and base (Figure 24.7). The overall mechanism is lengthy, but most of the individual steps have been encountered before. Thus, the bromination of an amide in steps 1 and 2 is analogous to the base-promoted bromination of a ketone enolate ion (Section 22.6), and the rearrangement of the bromoamide anion in step 4 is analogous to a carbocation rearrangement (Section 7.11). Nucleophilic addition of water to the isocyanate carbonyl group in step 5 is a typical carbonyl-group process (Section 19.4), as is the final decarboxylation step 6 (Section 22.7).

Figure 24.7 MECHANISM
Mechanism of the Hofmann rearrangement of an amide to an amine. Each step is analogous to a reaction studied previously.
A six-step mechanism shows a Hoffman rearrangement, where an amide reacts with hydroxide ion, bromine, and water to form an amine.

Despite its mechanistic complexity, the Hofmann rearrangement often gives high yields of both arylamines and alkylamines. For example, the appetite-suppressant drug phentermine is prepared commercially by Hofmann rearrangement of a primary amide. Commonly known by the name Fen-Phen, the combination of phentermine with another appetite-suppressant, fenfluramine, is suspected of causing heart damage.

2,2-Dimethyl-3-phenylpropanamide reacts with sodium hydroxide, chlorine, and water to form phentermine (2-methyl-1-phenylpropan-2-amine) and carbon dioxide.

The Curtius rearrangement, like the Hofmann rearrangement, involves migration of an –R group from the C═OC═O carbon atom to the neighboring nitrogen with simultaneous loss of a leaving group. The reaction takes place on heating an acyl azide that is itself prepared by nucleophilic acyl substitution of an acid chloride.

Acid chloride reacts with sodium azide to form acyl azide which leads to isocyanate and nitrogen. This further reacts with water to form an amine and carbon dioxide.

Also like the Hofmann rearrangement, the Curtius rearrangement is often used commercially. The antidepressant drug tranylcypromine, for instance, is made by Curtius rearrangement of 2-phenylcyclopropanecarbonyl chloride.

trans-2-Phenylcyclopropanecarbonyl chloride reacts with sodium azide, then heat, and finally with water to form tranylcypromine.

Worked Example 24.2

Using the Hofmann and Curtius Rearrangements

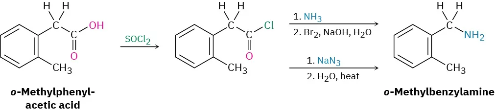
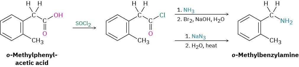
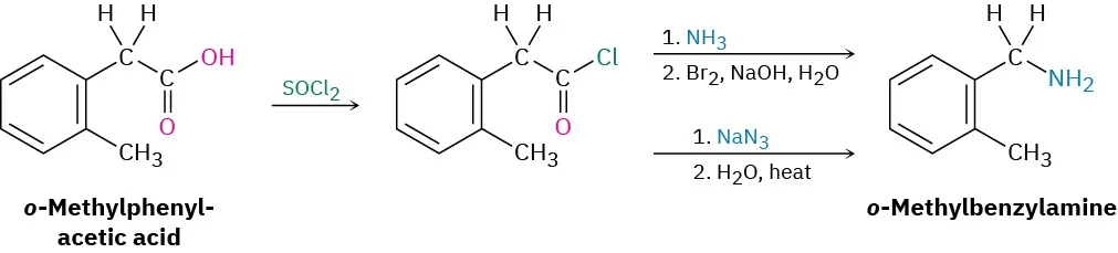
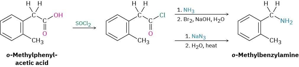
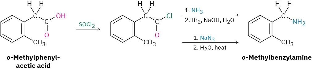
How would you prepare o-methylbenzylamine from a carboxylic acid, using both Hofmann and Curtius rearrangements?

Strategy

Both Hofmann and Curtius rearrangements convert a carboxylic acid derivative—either an amide (Hofmann) or an acid chloride (Curtius)—into a primary amine with loss of one carbon, RCOY → RNH2. Both reactions begin with the same carboxylic acid, which can be identified by replacing the –NH2 group of the amine product by a –CO2H group. In the present instance, o-methylphenylacetic acid is needed.

Solution

o-Methylphenylacetic acid reacts with thionyl chloride to form an intermediate. This reacts with ammonia, then bromine, sodium hydroxide and water or sodium azide, then water and heat to form o-methylbenzylamine.
Problem 24-13
How would you prepare the following amines, using both Hofmann and Curtius rearrangements on a carboxylic acid derivative?
(a)
The structure of a four-carbon chain with an amino group on C 1 and two methyl groups on C 3.
(b)
The structure of the benzene ring with an amino group on C 1 and a methyl group on C 4.
Citation/Attribution

This book may not be used in the training of large language models or otherwise be ingested into large language models or generative AI offerings without OpenStax's permission.

Want to cite, share, or modify this book? This book uses the Creative Commons Attribution-NonCommercial-ShareAlike License and you must attribute OpenStax.

Attribution information
  • If you are redistributing all or part of this book in a print format, then you must include on every physical page the following attribution:

    Access for free at https://openstax.org/books/organic-chemistry/pages/1-why-this-chapter

  • If you are redistributing all or part of this book in a digital format, then you must include on every digital page view the following attribution:

    Access for free at https://openstax.org/books/organic-chemistry/pages/1-why-this-chapter

Citation information

© Jul 9, 2025 OpenStax. Textbook content produced by OpenStax is licensed under a Creative Commons Attribution-NonCommercial-ShareAlike License . The OpenStax name, OpenStax logo, OpenStax book covers, OpenStax CNX name, and OpenStax CNX logo are not subject to the Creative Commons license and may not be reproduced without the prior and express written consent of Rice University.