Skip to ContentGo to accessibility pageKeyboard shortcuts menu
OpenStax Logo
Search for key terms or text.

Problem 24-1
(a)
N-Methylethylamine
(b)
Tricyclohexylamine
(c)
N-Ethyl-N-methylcyclohexylamine
(d)
N-Methylpyrrolidine
(e)
Diisopropylamine
(f)
1,3-Butanediamine
Problem 24-4
(a)
CH3CH2NH2
(b)
NaOH
(c)
CH3NHCH3
Problem 24-5
Propylamine is stronger; benzylamine pKb = 4.67; propylamine pKb = 3.29
Problem 24-6
(a)
p-Nitroaniline < p-Aminobenzaldehyde < p-Bromoaniline
(b)
p-Aminoacetophenone < p-Chloroaniline < p-Methylaniline
(c)
p-(Trifluoromethyl)aniline < p-(Fluoromethyl)aniline < p-Methylaniline
Problem 24-7
Pyrimidine is essentially 100% neutral (unprotonated).
Problem 24-8
(a)
Propanenitrile or propanamide
(b)
N-Propylpropanamide
(c)
Benzonitrile or benzamide
(d)
N-Phenylacetamide
Problem 24-9
The reaction takes place by two nucleophilic acyl substitution reactions.
Problem 24-11
(a)
Ethylamine + acetone, or isopropylamine + acetaldehyde
(b)
Aniline + acetaldehyde
(c)
Cyclopentylamine + formaldehyde, or methylamine + cyclopentanone
Problem 24-13
(a)
4,4-Dimethylpentanamide or 4,4-dimethylpentanoyl azide
(b)
p-Methylbenzamide or p-methylbenzoyl azide
Problem 24-14
(a)
3-Octene and 4-octene
(b)
Cyclohexene
(c)
3-Heptene
(d)
Ethylene and cyclohexene
Problem 24-15
H2C CHCH2CH2CH2N(CH3)2
Problem 24-16
1. HNO3, H2SO4; 2. H2/PtO2; 3. (CH3CO)2O; 4. HOSO2Cl; 5. aminothiazole; 6. H2O, NaOH
Problem 24-17
(a)
1. HNO3, H2SO4; 2. H2/PtO2; 3. 2 CH3Br
(b)
1. HNO3, H2SO4; 2. H2/PtO2; 3. (CH3CO)2O; 4. Cl2; 5. H2O, NaOH
(c)
1. HNO3, H2SO4; 2. Cl2, FeCl3; 3. SnCl2
(d)
1. HNO3, H2SO4; 2. H2/PtO2; 3. (CH3CO)2O; 4. 2 CH3Cl, AlCl3; 5. H2O, NaOH
Problem 24-18
(a)
1. CH3Cl, AlCl3; 2. HNO3, H2SO4; 3. SnCl2; 4. NaNO2, H2SO4; 5. CuBr; 6. KMnO4, H2O
(b)
1. HNO3, H2SO4; 2. Br2, FeBr3; 3. SnCl2, H3O+; 4. NaNO2, H2SO4; 5. CuCN; 6. H3O+
(c)
1. HNO3, H2SO4; 2. Cl2, FeCl3; 3. SnCl2; 4. NaNO2, H2SO4; 5. CuBr
(d)
1. CH3Cl, AlCl3; 2. HNO3, H2SO4; 3. SnCl2; 4. NaNO2, H2SO4; 5. CuCN; 6. H3O+
(e)
1. HNO3, H2SO4; 2. H2/PtO2; 3. (CH3CO)2O; 4. 2 Br2; 5. H2O, NaOH; 6. NaNO2, H2SO4; 7. CuBr
Problem 24-19
1. HNO3, H2SO4; 2. SnCl2; 3a. 2 equiv. CH3I; 3b. NaNO2, H2SO4; 4. product of 3a + product of 3b
Problem 24-21
4.1% protonated
Problem 24-23
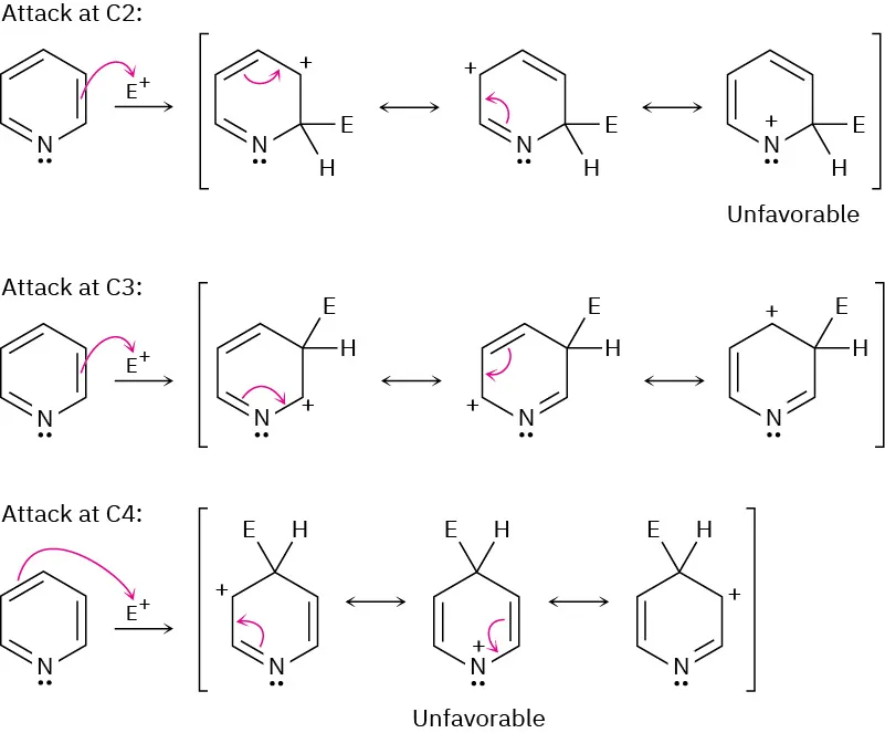
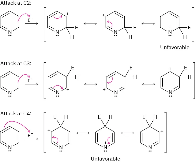
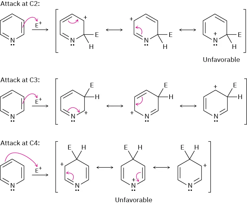
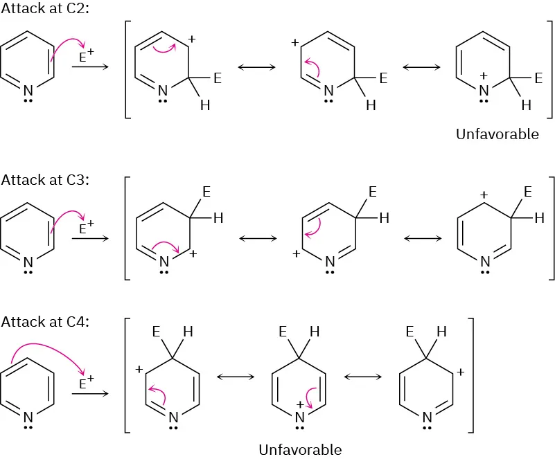
The side-chain nitrogen is more basic than the ring nitrogen.
Problem 24-24

Reaction at C2 is disfavored because the aromaticity of the benzene ring is lost.

Structure of indole with arrows showing C 3 attacking electrophile. Resulting resonance structures show loss of aromaticity due to 8 electrons in pi system.
Problem 24-25
(CH3)3CCOCH3 ​→ ​(CH3)3CCH(NH2)CH3
Citation/Attribution

This book may not be used in the training of large language models or otherwise be ingested into large language models or generative AI offerings without OpenStax's permission.

Want to cite, share, or modify this book? This book uses the Creative Commons Attribution-NonCommercial-ShareAlike License and you must attribute OpenStax.

Attribution information
  • If you are redistributing all or part of this book in a print format, then you must include on every physical page the following attribution:

    Access for free at https://openstax.org/books/organic-chemistry/pages/1-why-this-chapter

  • If you are redistributing all or part of this book in a digital format, then you must include on every digital page view the following attribution:

    Access for free at https://openstax.org/books/organic-chemistry/pages/1-why-this-chapter

Citation information

© Jul 9, 2025 OpenStax. Textbook content produced by OpenStax is licensed under a Creative Commons Attribution-NonCommercial-ShareAlike License . The OpenStax name, OpenStax logo, OpenStax book covers, OpenStax CNX name, and OpenStax CNX logo are not subject to the Creative Commons license and may not be reproduced without the prior and express written consent of Rice University.