Skip to ContentGo to accessibility pageKeyboard shortcuts menu
OpenStax Logo
Search for key terms or text.

Problem 23-2
The reverse reaction is the exact opposite of the forward reaction shown in Figure 23.2.
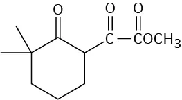
Problem 23-5
(a)
Not an aldol product
(b)
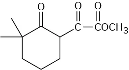
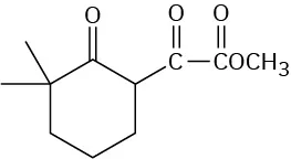
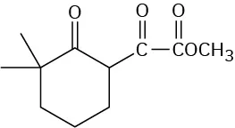
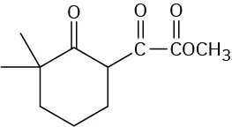
3-Pentanone
Problem 23-6
1. NaOH; 2. LiAlH4; 3. H2/Pd
Problem 23-8
(a)
C6H5CHO + CH3COCH3
(b)
Not easily prepared
(c)
Not easily prepared
Problem 23-9
The CH2 position between the two carbonyl groups is so acidic that it is completely deprotonated to give a stable enolate ion.
Problem 23-12
The cleavage reaction is the exact reverse of the forward reaction.
Problem 23-18
CH3CH2COCH CH2 + CH3CH2NO2
Problem 23-20
(a)
Cyclopentanone enamine + propenenitrile
(b)
Cyclohexanone enamine + methyl propenoate
Problem 23-22
2,5,5-Trimethyl-1,3-cyclohexanedione + 1-penten-3-one
Citation/Attribution

This book may not be used in the training of large language models or otherwise be ingested into large language models or generative AI offerings without OpenStax's permission.

Want to cite, share, or modify this book? This book uses the Creative Commons Attribution-NonCommercial-ShareAlike License and you must attribute OpenStax.

Attribution information
  • If you are redistributing all or part of this book in a print format, then you must include on every physical page the following attribution:

    Access for free at https://openstax.org/books/organic-chemistry/pages/1-why-this-chapter

  • If you are redistributing all or part of this book in a digital format, then you must include on every digital page view the following attribution:

    Access for free at https://openstax.org/books/organic-chemistry/pages/1-why-this-chapter

Citation information

© Jul 9, 2025 OpenStax. Textbook content produced by OpenStax is licensed under a Creative Commons Attribution-NonCommercial-ShareAlike License . The OpenStax name, OpenStax logo, OpenStax book covers, OpenStax CNX name, and OpenStax CNX logo are not subject to the Creative Commons license and may not be reproduced without the prior and express written consent of Rice University.