Skip to ContentGo to accessibility pageKeyboard shortcuts menu
OpenStax Logo
Search for key terms or text.

Problem 22-2
(a) 4 (b) 3 (c) 3 (d) 2 (e) 4 (f) 5
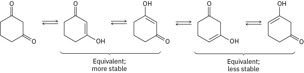
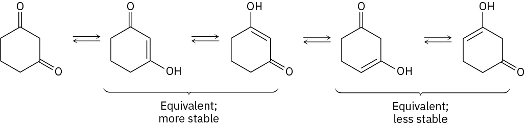
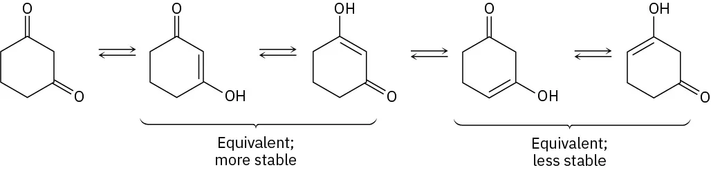
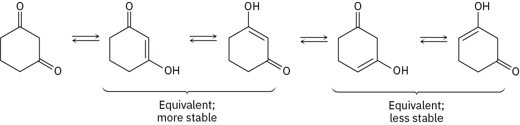
Problem 22-4
Acid-catalyzed formation of an enol is followed by deuteronation of the enol double bond and dedeuteronation of oxygen.
Problem 22-5
1. Br2; 2. Pyridine, heat
Problem 22-6
The intermediate α-bromo acid bromide undergoes a nucleophilic acyl substitution reaction with methanol to give an α-bromo ester.
Problem 22-7
(a)
CH3CH2CHO
(b)
(CH3)3CCOCH3
(c)
CH3CO2H
(d)
PhCONH2
(e)
CH3CH2CH2CN
(f)
CH3CON(CH3)2
Problem 22-9
Acid is regenerated, but base is used stoichiometrically.
Problem 22-10
(a)
1. Na+ −OEt; 2. PhCH2Br; 3. H3O+
(b)
1. Na+ −OEt; 2. CH3CH2CH2Br; 3. Na+ −OEt; 4. CH3Br; 5. H3O+
(c)
1. Na+ −OEt; 2. (CH3)2CHCH2Br; 3. H3O+
Problem 22-11
Malonic ester has only two acidic hydrogens to be replaced.
Problem 22-12
1. Na+ −OEt; 2. (CH3)2CHCH2Br; 3. Na+ −OEt; 4. CH3Br; 5. H3O+
Problem 22-13
(a)
(CH3)2CHCH2Br
(b)
PhCH2CH2Br
Problem 22-14
None can be prepared.
Problem 22-15
1. 2 Na+ −OEt; 2. BrCH2CH2CH2CH2Br; 3. H3O+
Problem 22-16
(a)
Alkylate phenylacetone with CH3I
(b)
Alkylate pentanenitrile with CH3CH2I
(c)
Alkylate cyclohexanone with H2C CHCH2Br
(d)
Alkylate cyclohexanone with excess CH3I
(e)
Alkylate C6H5COCH2CH3 with CH3I
(f)
Alkylate methyl 3-methylbutanoate with CH3CH2I
Citation/Attribution

This book may not be used in the training of large language models or otherwise be ingested into large language models or generative AI offerings without OpenStax's permission.

Want to cite, share, or modify this book? This book uses the Creative Commons Attribution-NonCommercial-ShareAlike License and you must attribute OpenStax.

Attribution information
  • If you are redistributing all or part of this book in a print format, then you must include on every physical page the following attribution:

    Access for free at https://openstax.org/books/organic-chemistry/pages/1-why-this-chapter

  • If you are redistributing all or part of this book in a digital format, then you must include on every digital page view the following attribution:

    Access for free at https://openstax.org/books/organic-chemistry/pages/1-why-this-chapter

Citation information

© Jul 9, 2025 OpenStax. Textbook content produced by OpenStax is licensed under a Creative Commons Attribution-NonCommercial-ShareAlike License . The OpenStax name, OpenStax logo, OpenStax book covers, OpenStax CNX name, and OpenStax CNX logo are not subject to the Creative Commons license and may not be reproduced without the prior and express written consent of Rice University.