Skip to ContentGo to accessibility pageKeyboard shortcuts menu
OpenStax Logo
Organic Chemistry

22.6 Reactivity of Enolate Ions

Organic Chemistry22.6 Reactivity of Enolate Ions
Search for key terms or text.

22.6 • Reactivity of Enolate Ions

Enolate ions are more useful than enols for two reasons. First, pure enols can’t normally be isolated but are instead generated only as short-lived intermediates in low concentration. By contrast, stable solutions of pure enolate ions are easily prepared from most carbonyl compounds by reaction with a strong base. Second, enolate ions are more reactive than enols and undergo many reactions that enols don’t. Whereas enols are neutral, enolate ions are negatively charged, making them much better nucleophiles.

Because they are resonance hybrids of two nonequivalent forms, enolate ions can be looked at either as vinylic alkoxides (C═C−OC═C−O) or as α-keto carbanions (C−C═OC−C═O). Thus, enolate ions can react with electrophiles either on oxygen or on carbon. Reaction on oxygen yields an enol derivative, while reaction on carbon yields an α-substituted carbonyl compound (Figure 22.6). Both kinds of reactivity are known, but reaction on carbon is more common.

The electrostatic potential map with ball-and-stick model of acetone. Also shown is a vinylic alkoxide and its alpha-keto carbanion resonance form. The former reacts with an electrophile to form an enol and the latter an alpha substituted carbonyl compound.
Figure 22.6 The electrostatic potential map of acetone enolate ion shows how the negative charge is delocalized over both the oxygen and the α carbon. As a result, two modes of reaction of an enolate ion with an electrophile E+ are possible. Reaction on carbon to yield an α-substituted carbonyl product is more common.

As an example of enolate ion reactivity, aldehydes and ketones undergo base-promoted α halogenation. Even relatively weak bases such as hydroxide ion are effective for halogenation because it’s not necessary to convert the ketone completely into its enolate ion. As soon as a small amount of enolate is generated, halogen reacts with it immediately, removing it from the reaction and driving the equilibrium toward further enolate ion formation.

A carbonyl compound undergoes a reversible reaction with sodium hydroxide in water to form an enolate intermediate that reacts with elemental bromine to form an alpha brominated carbonyl compound and a bromine ion.

Base-promoted halogenation of aldehydes and ketones is seldom used in practice because it’s difficult to stop the reaction at the monosubstituted product. An α-halogenated ketone is generally more acidic than the starting, unsubstituted ketone because of the electron-withdrawing inductive effect of the halogen atom. Thus, the monohalogenated products are themselves rapidly turned into enolate ions and further halogenated.

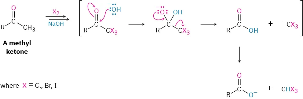
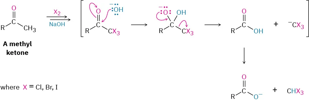
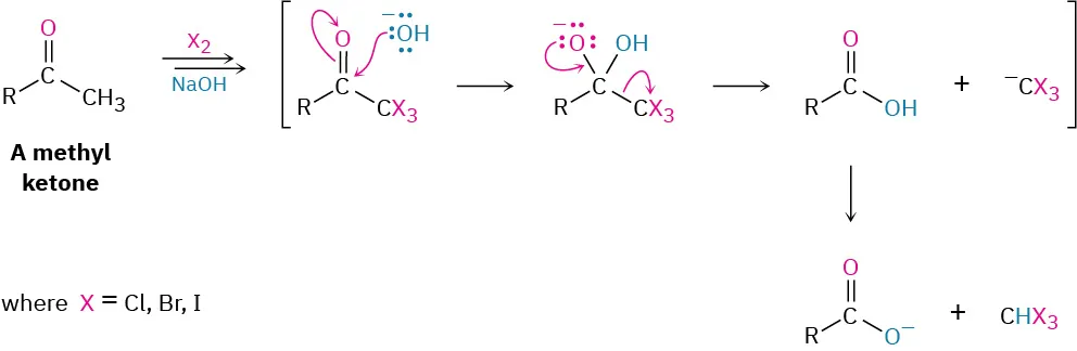
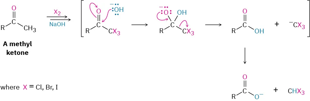
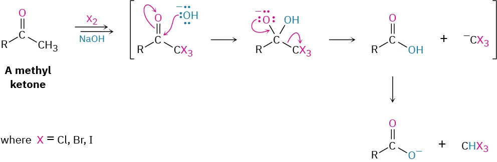
If excess base and halogen are used, a methyl ketone is triply halogenated and then cleaved by base in the haloform reaction. The products are a carboxylic acid plus a so-called haloform (chloroform, CHCl3; bromoform, CHBr3; or iodoform, CHI3). Note that the second step of the reaction is a nucleophilic acyl substitution of CX3 by OH. That is, a halogen-stabilized carbanion acts as a leaving group.

A methyl ketone reacts with X 2 and N a O H to form three intermediate structures, ultimately yielding a carboxylate ion and C H X 3 as the products.
Problem 22-9
Why do you suppose ketone halogenations in acidic media are referred to as being acid-catalyzed, whereas halogenations in basic media are base-promoted? In other words, why is a full equivalent of base required for halogenation?
Citation/Attribution

This book may not be used in the training of large language models or otherwise be ingested into large language models or generative AI offerings without OpenStax's permission.

Want to cite, share, or modify this book? This book uses the Creative Commons Attribution-NonCommercial-ShareAlike License and you must attribute OpenStax.

Attribution information
  • If you are redistributing all or part of this book in a print format, then you must include on every physical page the following attribution:

    Access for free at https://openstax.org/books/organic-chemistry/pages/1-why-this-chapter

  • If you are redistributing all or part of this book in a digital format, then you must include on every digital page view the following attribution:

    Access for free at https://openstax.org/books/organic-chemistry/pages/1-why-this-chapter

Citation information

© Jul 9, 2025 OpenStax. Textbook content produced by OpenStax is licensed under a Creative Commons Attribution-NonCommercial-ShareAlike License . The OpenStax name, OpenStax logo, OpenStax book covers, OpenStax CNX name, and OpenStax CNX logo are not subject to the Creative Commons license and may not be reproduced without the prior and express written consent of Rice University.