Skip to ContentGo to accessibility pageKeyboard shortcuts menu
OpenStax Logo
Organic Chemistry

22.5 Acidity of Alpha Hydrogen Atoms: Enolate Ion Formation

Organic Chemistry22.5 Acidity of Alpha Hydrogen Atoms: Enolate Ion Formation
Search for key terms or text.

22.5 • Acidity of Alpha Hydrogen Atoms: Enolate Ion Formation

As noted in Section 22.1, a hydrogen on the α position of a carbonyl compound is weakly acidic and can be removed by a strong base to yield an enolate ion. In comparing acetone (pKa = 19.3) with ethane (pKa ≈ 60), for instance, the presence of a neighboring carbonyl group increases the acidity of the ketone over the alkane by a factor of 1040.

A wedge-dash structure of acetone with labeled p K a value equal to 19.3 and ethane with labeled p K a value of approximately 60.

Proton abstraction from a carbonyl compound occurs when the α C–H bond is oriented roughly parallel to the p orbitals of the carbonyl group. The α carbon atom of the enolate ion is sp2-hybridized and has a p orbital that overlaps the neighboring carbonyl p orbitals. Thus, the negative charge is shared by the electronegative oxygen atom, and the enolate ion is stabilized by resonance (Figure 22.5).

Orbital representation of the mechanism for enolate formation by removal of an alpha proton, along with the ball-and-stick model of the enolate.
Figure 22.5 Mechanism of enolate-ion formation by abstraction of an α proton from a carbonyl compound. The enolate ion is stabilized by resonance, and the negative charge (red) is shared by the oxygen and the α carbon atom, as indicated in the electrostatic potential map.

Because carbonyl compounds are only weakly acidic, a strong base is needed for the formation of an enolate-ion. If an alkoxide ion, such as sodium ethoxide, is used as base, deprotonation of acetone only takes place to the extent of about 0.1% because acetone is a weaker acid than ethanol (pKa = 16). If, however, a more powerful base is used, then a carbonyl compound is completely converted into its enolate ion.

In practice, the strong base lithium diisopropylamide [LiN(i-C3H7)2; abbreviated LDA] is commonly used for making enolate ions. As the lithium salt of the weak acid diisopropylamine, pKa = 36, LDA can readily deprotonate most carbonyl compounds. It is easily prepared by reaction of butyllithium with diisopropylamine and is soluble in organic solvents because of its two alkyl groups.

Diisopropylamine reacts with butyllithium in tetrahydrofuran to form lithium diisopropylamide (known as L D A) and butane. Cyclohexanone reacts with L D A in tetrahydrofuran to form cyclohexanone enolate ion and diisopropylamine.

Many types of carbonyl compounds, including aldehydes, ketones, esters, thioesters, acids, and amides, can be converted into enolate ions by reaction with LDA. Table 22.1 lists the approximate pKa values of different types of carbonyl compounds and shows how these values compare to other acidic substances we’ve seen. Note that nitriles, too, are acidic and can be converted into enolate-like anions.

Table 22.1 Acidity Constants for Some Organic Compounds
Functional group Example pKa
Carboxylic acid The structure of acetic acid having carboxylic acid functional group with condensed formula, C H 3 is bonded to a C O O H group.  5
1,3-Diketone Structure of acetylacetone having 1,3-diketone functional group. Condensed formula, C H 3 bonded to C O bonded to C H 2 bonded to C O bonded to C H 3.  9
3-Keto ester A structure of methyl acetoacetate having a 3-keto ester functional group. Condensed formula, C H 3 bonded to C O bonded to C H 2 bonded to C O O bonded to C H 3. 11
1,3-Diester Structure of a 1,3-diester functional group. Condensed formula is C H 3 O bonded to C O bonded to C H 2 bonded to Co O bonded to O C H 3. 13
Alcohol CH3OH 16
Acid chloride A structure of acetyl chloride with condensed formula, C H 3 bonded to C O bonded to C l. 16
Aldehyde A structure of acetaldehyde with condensed formula, C H 3 bonded to C H O. 17
Ketone A structure of acetone with condensed formula, C H 3 bonded to C O bonded to C H 3. 19
Thioester A thioester functional group where R and R dash are methyl groups. Condensed formula reads C H 3 bonded to C O bonded to S bonded to C H 3. 21
Ester A structure of methyl ester where R is the methyl group with condensed formula, C H 3 bonded to C O O bonded to C H 3. 25
Nitrile CH3CNCH3CN 25
N,N-Dialkylamide A structure of N, N dimethyl acetamide with condensed formula, C H 3 bonded to C O bonded to N bonded to 2 C H 3 groups. 30
Dialkylamine HN(i-C3H7)2 36

When a hydrogen atom is flanked by two carbonyl groups, its acidity is enhanced further. Table 22.1 thus shows that 1,3-diketones (β-diketones), 3-oxo esters (β-keto esters), and 1,3-diesters (malonic esters) are more acidic than water. The enolate ions derived from these β-dicarbonyl compounds are stabilized by sharing the negative charge of the two neighboring carbonyl oxygens. The enolate ion of 2,4-pentanedione, for instance, has three resonance forms. Similar resonance forms can be drawn for other doubly stabilized enolate ions.

A reversible chemical reaction in which 2, 4- pentanedione with labeled p K a equals 9 is deprotonated to form three resonance structures of an enolate..

Worked Example 22.1

Identifying the Acidic Hydrogens in a Compound

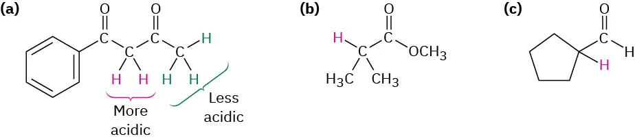
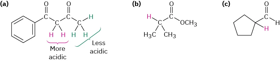
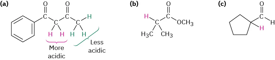
Identify the most acidic hydrogens in each of the following compounds, and rank the compounds in order of increasing acidity:

Chemical structures of 1,3-dioxo-1-phenylbutane, methyl isobutyrate, and cyclopentanal, labeled a, b, and c respectively.

Strategy

Hydrogens on carbon next to a carbonyl group are acidic. In general, a β-dicarbonyl compound is most acidic, a ketone or aldehyde is next most acidic, and a carboxylic acid derivative is least acidic. Remember that alcohols, phenols, and carboxylic acids are also acidic because of their –OH hydrogens.

Solution

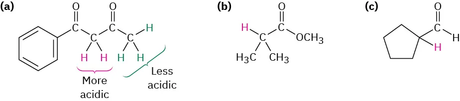
The acidity order is (a) > (c) > (b). Acidic hydrogens are shown in red.
Chemical structures of 1,3-dioxo-1-phenylbutane with C 2 and  4 hydrogens labeled more and less acidic respectively, methyl isobutyrate with alpha hydrogen highlighted, and cyclopentanal with alpha hydrogen highlighted.
Problem 22-7
Identify the most acidic hydrogens in each of the following molecules:
(a)
CH3CH2CHO
(b)
(CH3)3C–COCH3
(c)
CH3CO2H
(d)
Benzamide
(e)
CH3CH2CH2CN
(f)
CH3CON(CH3)2
Problem 22-8
Draw a resonance structure of the acetonitrile anion, :CH2C N, and account for the acidity of nitriles.
Citation/Attribution

This book may not be used in the training of large language models or otherwise be ingested into large language models or generative AI offerings without OpenStax's permission.

Want to cite, share, or modify this book? This book uses the Creative Commons Attribution-NonCommercial-ShareAlike License and you must attribute OpenStax.

Attribution information
  • If you are redistributing all or part of this book in a print format, then you must include on every physical page the following attribution:

    Access for free at https://openstax.org/books/organic-chemistry/pages/1-why-this-chapter

  • If you are redistributing all or part of this book in a digital format, then you must include on every digital page view the following attribution:

    Access for free at https://openstax.org/books/organic-chemistry/pages/1-why-this-chapter

Citation information

© Jul 9, 2025 OpenStax. Textbook content produced by OpenStax is licensed under a Creative Commons Attribution-NonCommercial-ShareAlike License . The OpenStax name, OpenStax logo, OpenStax book covers, OpenStax CNX name, and OpenStax CNX logo are not subject to the Creative Commons license and may not be reproduced without the prior and express written consent of Rice University.