Skip to ContentGo to accessibility pageKeyboard shortcuts menu
OpenStax Logo
Organic Chemistry

22.7 Alkylation of Enolate Ions

Organic Chemistry22.7 Alkylation of Enolate Ions
Search for key terms or text.

22.7 • Alkylation of Enolate Ions

Perhaps the most useful reaction of enolate ions is their alkylation by treatment with an alkyl halide, thereby forming a new C−C bond and joining two smaller pieces into one larger molecule. Alkylation occurs when the nucleophilic enolate ion reacts with the electrophilic alkyl halide in an SN2 reaction and displaces the leaving group by backside attack.

A carbonyl compound reacts with a base to form an enolate ion which undergoes an S N 2 reaction with R 3 C X to form a carbonyl compound with an R 3 C group attached.

Alkylation reactions are subject to the same constraints that affect all SN2 reactions (Section 11.3). Thus, the leaving group X in the alkylating agent R−X can be chloride, bromide, or iodide. The alkyl group R should be primary or methyl, and preferably should be allylic or benzylic. Secondary halides react poorly, and tertiary halides don’t react at all because a competing E2 elimination of HX occurs instead. Vinylic and aryl halides are also unreactive because a backside approach is sterically prevented.

Comparative rate of reaction of R-X molecules with an enolate. For X, fastest to slowest is tosylate, iodide, bromide, and chloride. For R, fastest to slowest is allylic and benzylic, then primary alkyl and then secondary alkyl.

The Malonic Ester Synthesis

One of the oldest and best known carbonyl alkylation reactions is the malonic ester synthesis, a method for preparing a carboxylic acid from an alkyl halide while lengthening the carbon chain by two atoms.

An alkyl halide (R-X) undergoes malonic ester synthesis to form carboxylic acid. In the product, an R group is attached to a C H 2 group which in turn is attached to a C O O H group.

Diethyl propanedioate, commonly called diethyl malonate, or malonic ester, is relatively acidic (pKa = 13) because its α hydrogens are flanked by two carbonyl groups. Thus, malonic ester is easily converted into its enolate ion by reaction with sodium ethoxide in ethanol. The enolate ion, in turn, is a good nucleophile that reacts rapidly with an alkyl halide to give an α-substituted malonic ester. Note in the following examples that the abbreviation “Et” is used for an ethyl group, –CH2CH3.

Diethyl propanedioate reacts with sodium ethoxide in ethanol to form an intermediate sodio malonic ester, which reacts with R X to form an alkylated malonic ester as the product.

The product of a malonic ester alkylation has one acidic α hydrogen remaining, so the alkylation process can be repeated to yield a dialkylated malonic ester.

An alkylated malonic ester reacts with sodium ethoxide in ethanol to form an intermediate, which reacts with R dash X to form a dialkylated malonic ester as the product.

On heating with aqueous hydrochloric acid, the alkylated (or dialkylated) malonic ester undergoes hydrolysis of its two ester groups followed by decarboxylation (loss of CO2) to yield a substituted monocarboxylic acid.

When heated, an alkylated malonic ester is protonated to form a carboxylic acid, carbon dioxide, and 2 equivalents of ethanol.

Decarboxylation is not a general reaction of carboxylic acids. Rather, it is unique to compounds that have a second carbonyl group two atoms away from the –CO2H. That is, only substituted malonic acids and β-keto acids undergo loss of CO2 on heating. The decarboxylation reaction occurs by a cyclic mechanism and involves initial formation of an enol, thereby accounting for the need to have a second carbonyl group appropriately positioned.

A diacid undergoes decarboxylation to form an acid enol, which, in turn, forms a carboxylic acid as the product. A beta-keto acid undergoes decarboxylation to form an enol which tautomerizes to a ketone.

As noted previously, the overall effect of malonic ester synthesis is to convert an alkyl halide into a carboxylic acid while lengthening the carbon chain by two atoms (RX → RCH2CO2H).

1-Bromobutane and diethyl malonate react with sodium ethoxide to give hexanoic acid via an intermediate. The intermediate can also react with sodium ethoxide and then methyl iodide to yield 2-methyl hexanoic acid.

A malonic ester synthesis can also be used to prepare cycloalkanecarboxylic acids. For example, when 1,4-dibromobutane is treated with diethyl malonate in the presence of two equivalents of sodium ethoxide base, the second alkylation step occurs intramolecularly to yield a cyclic product. Hydrolysis and decarboxylation then give cyclopentanecarboxylic acid. Three-, four-, five-, and six-membered rings can be prepared in this way, but yields decrease for larger ring sizes.

1,4-Dibromobutane and diethyl malonate react with sodium ethoxide to form cyclopentane-carboxylic acid via three intermediates.

Worked Example 22.2

Using Malonic Ester Synthesis to Prepare a Carboxylic Acid

How would you prepare heptanoic acid using a malonic ester synthesis?

Strategy

A malonic ester synthesis converts an alkyl halide into a carboxylic acid having two more carbons. Thus, a seven-carbon acid chain must be derived from the five-carbon alkyl halide 1-bromopentane.

Solution

1-Bromopentane and diethyl malonate react with sodium ethoxide in the first step and on heating with acid in the second step to yield 1-heptanoic acid.
Problem 22-10
How could you use a malonic ester synthesis to prepare the following compounds? Show all steps.
(a)
The structure of phenyl propanoic acid where a benzene ring is attached to a propanoic acid group.
(b)
The structure of 2-methylpentanoic acid comprising of a five carbon chain with a C O O H group at C 1 and a methyl group at C 2.
(c)
The structure of 4-methylpentanoic acid comprising of a five carbon chain with a C O O H group at C 1 and a methyl group at C 4.
Problem 22-11
Monoalkylated and dialkylated acetic acids can be prepared by malonic ester synthesis, but trialkylated acetic acids (R3C–CO2H) can’t be prepared. Explain.
Problem 22-12

How could you use a malonic ester synthesis to prepare the following compound?

A ball-and-stick model of a compound comprising a five-carbon chain with a carboxylic acid group at C 2 and a methyl group at C 4.

The Acetoacetic Ester Synthesis

Just as the malonic ester synthesis converts an alkyl halide into a carboxylic acid, the acetoacetic ester synthesis converts an alkyl halide into a methyl ketone having three more carbons.

A reaction in which R-X undergoes acetoacetic ester synthesis to yield methyl ketone. In the product, an R group is attached to C H 2 which in turn is bonded to a carbonyl group attached to a methyl group.

Ethyl 3-oxobutanoate, commonly called ethyl acetoacetate, or acetoacetic ester, is much like malonic ester in that its α hydrogens are flanked by two carbonyl groups. It is therefore readily converted into its enolate ion, which can be alkylated by reaction with an alkyl halide. A second alkylation can also be carried out if desired, since acetoacetic ester has two acidic α hydrogens.

Ethyl acetoacetate reacts with sodium ethoxide to yield a sodio acetoacetic ester which reacts with R X to generate a monoalkylated acetoacetic ester. The monoalkylated species can be further alkylated using the same approach, the product being a dialkylated acetoacetic ester.

On heating with aqueous HCl, the alkylated (or dialkylated) acetoacetic ester is hydrolyzed to a β-keto acid, which then undergoes decarboxylation to yield a ketone product. The decarboxylation occurs in the same way as in the malonic ester synthesis and involves a ketone enol as the initial product.

On heating, an alkylated acetoacetic ester reacts with acid to yield a methyl ketone, C O 2 and ethanol.

The three-step sequence of (1) enolate ion formation, (2) alkylation, and (3) hydrolysis/decarboxylation is applicable to all β-keto esters with acidic α hydrogens, not just to acetoacetic ester itself. For example, cyclic β-keto esters, such as ethyl 2-oxocyclohexanecarboxylate, can be alkylated and decarboxylated to give 2-substituted cyclohexanones.

Ethyl 2-oxocyclohexanecarboxylate reacts with sodium ethoxide in first step and benzyl bromide in second step to yield an intermediate which, when heated in acid yields 2-benzylcyclohexanone.

Worked Example 22.3

Using Acetoacetic Ester Synthesis to Prepare a Ketone

How would you prepare 2-pentanone by an acetoacetic ester synthesis?

Strategy

An acetoacetic ester synthesis yields a methyl ketone by adding three carbons to an alkyl halide.
A structure in which R group is bonded to C H 2 that is bonded to carbonyl bonded to C H 3. The three carbon atoms are from acetoacetic ester.

Thus, the acetoacetic ester synthesis of 2-pentanone must involve reaction of bromoethane.

Solution

Bromoethane and ethyl acetoacetate react with sodium ethoxide and, following heaing in acid, 2-pentanone is formed.
Problem 22-13
What alkyl halides would you use to prepare the following ketones by an acetoacetic ester synthesis?
(a)
The structure of 5-methyl-2-hexanone in which a methyl group is bonded to C 5 and the carbonyl group is at C 2.
(b)
The structure of 5-phenylpentan-2-one in which a phenyl group is bonded to C 5 and the carbonyl group is at C 2
Problem 22-14

Which of the following compounds can’t be prepared by an acetoacetic ester synthesis? Explain.

(a) Phenylacetone (b) Acetophenone (c) 3,3-Dimethyl-2-butanone

Problem 22-15

How would you prepare the following compound using an acetoacetic ester synthesis?

A ball-stick model of a compound comprising a seven-carbon chain with C 2 being a carbonyl group. Black, gray, and red spheres represent carbon, hydrogen, and oxygen, respectively.

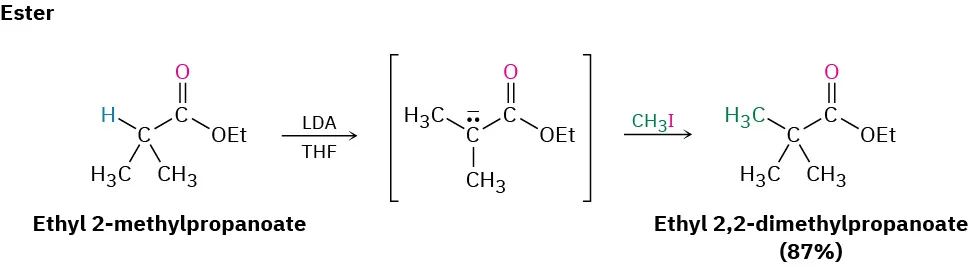
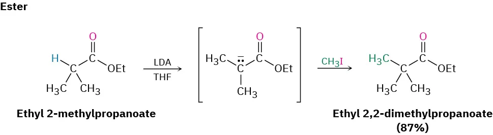
Direct Alkylation of Ketones, Esters, and Nitriles

Both the malonic ester synthesis and the acetoacetic ester synthesis are easy to carry out because they involve relatively acidic dicarbonyl compounds. As a result, sodium ethoxide in ethanol can be used to prepare the necessary enolate ions. Alternatively, however, it’s also possible in many cases to directly alkylate the α position of monocarbonyl compounds. A strong, sterically hindered base such as LDA is needed so that complete conversion to the enolate ion takes place rather than a nucleophilic addition, and a nonprotic solvent must be used.

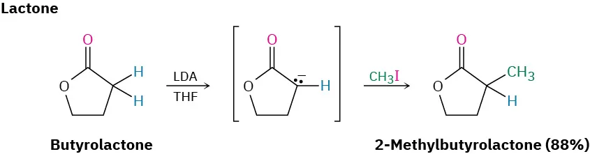
Ketones, esters, and nitriles can all be alkylated using LDA or related dialkylamide bases in tetrahydrofuran (THF). Aldehydes, however, rarely give high yields of pure products because their enolate ions undergo carbonyl condensation reactions instead of alkylation. (We’ll study this condensation reaction in the next chapter.) Some specific examples of alkylation reactions are shown.

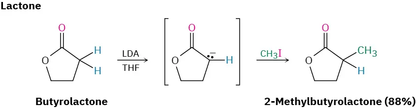
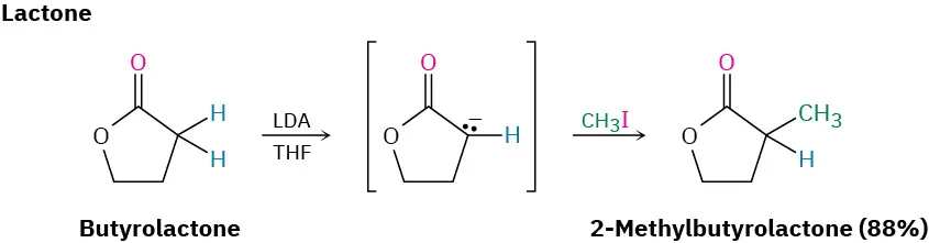
Butyrolactone reacts with L D A in T H F to form an intermediate, which reacts with methyl iodide to form 2-methylbutyrolactone in 88 percent yield.
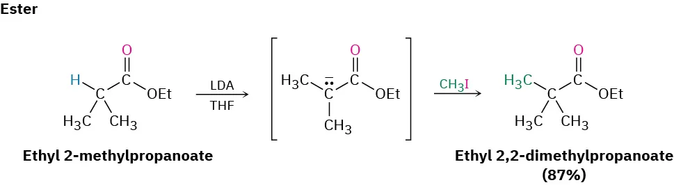
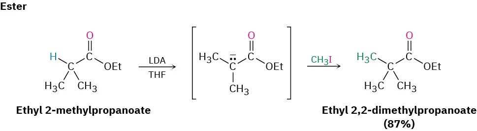
Ethyl 2-methylpropanoate reacts with L D A in T H F  to form an intermediate, which reacts with methyl iodide to form ethyl 2,2-dimethylpropanoatein 87 percent yield.
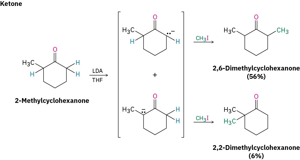
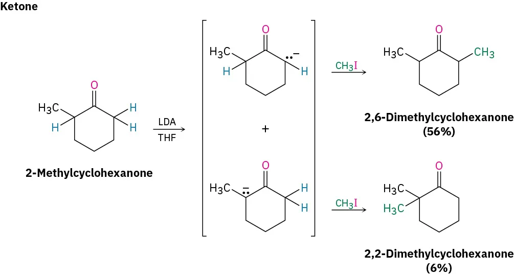
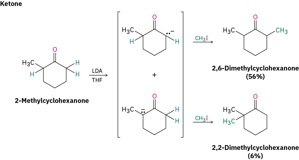
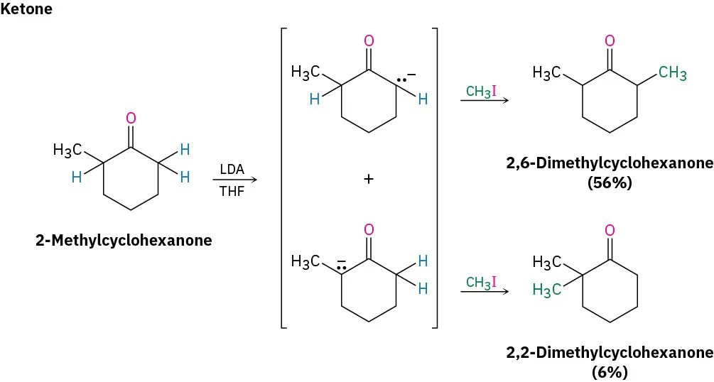
2-Methylcyclohexanone reacts with L D A in T H F to form two intermediates, which react with methyl iodide to form 2,6-dimethylcyclohexanone (56 percent) and 2,2-dimethylcyclohexanone (6 percent), respectively.

Note in the ketone example that alkylation of 2-methylcyclohexanone leads to a mixture of products because both possible enolate ions are formed. In general, the major product in such cases occurs by alkylation at the less hindered, more accessible position. Thus, alkylation of 2-methylcyclohexanone occurs primarily at C6 (secondary) rather than C2 (tertiary).

Worked Example 22.4

Using an Alkylation Reaction to Prepare a Substituted Ester

How might you use an alkylation reaction to prepare ethyl 1-methylcyclohexanecarboxylate?

The structure of ethyl 1-methylcyclohexanecarboxylate in which both C O 2 E t and C H 3 groups are bonded to C 1 of cyclohexane.

Strategy

An alkylation reaction is used to introduce a methyl or primary alkyl group onto the α position of a ketone, ester, or nitrile by SN2 reaction of an enolate ion with an alkyl halide. Thus, we need to look at the target molecule and identify any methyl or primary alkyl groups attached to an α carbon. In the present instance, the target has an α methyl group, which might be introduced by alkylation of an ester enolate ion with iodomethane.

Solution

Ethyl cyclohexanecarboxylate reacts with L D A in T H F in one step and methyl iodide in a second step to yield ethyl 1-methylcyclohexanecarboxylate.
Problem 22-16
Show how you might prepare the following compounds using an alkylation reaction as the key step:
(a)
The structure of 3-phenyl-2-butanone where a phenyl group is bonded to C 3 and C2 is a carbonyl group.
(b)
A structure of 2-ethyl-1-pentanenitrile where an ethyl group is bonded to C 2 and carbon triple bonded to nitrogen is present.
(c)
The structure of a cyclohexanone attached at C 2 of the ring to a three-carbon chain, C 1 and C 2 of which are double bonded to each other
(d)
The structure of 2,2,6,6 tetramethyl hexanone where two methyl groups are bonded at C 2 and two methyl groups are bonded to C 6 of the cyclohexanone ring.
(e)
The structure of 2-methyl-1-phenyl-1-propanone where a central carbonyl group is bonded to a phenyl group on one side and an isopropyl group on the other.
(f)
A structure of methyl-2-ethyl-3-methyl butanoate where ethyl and a methyl group are bonded to C 2 and C 3 and the C O O group is attached to C 1.

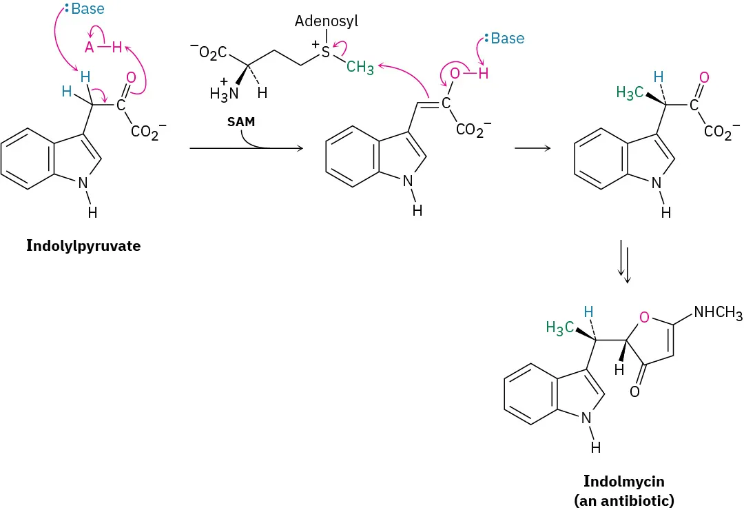
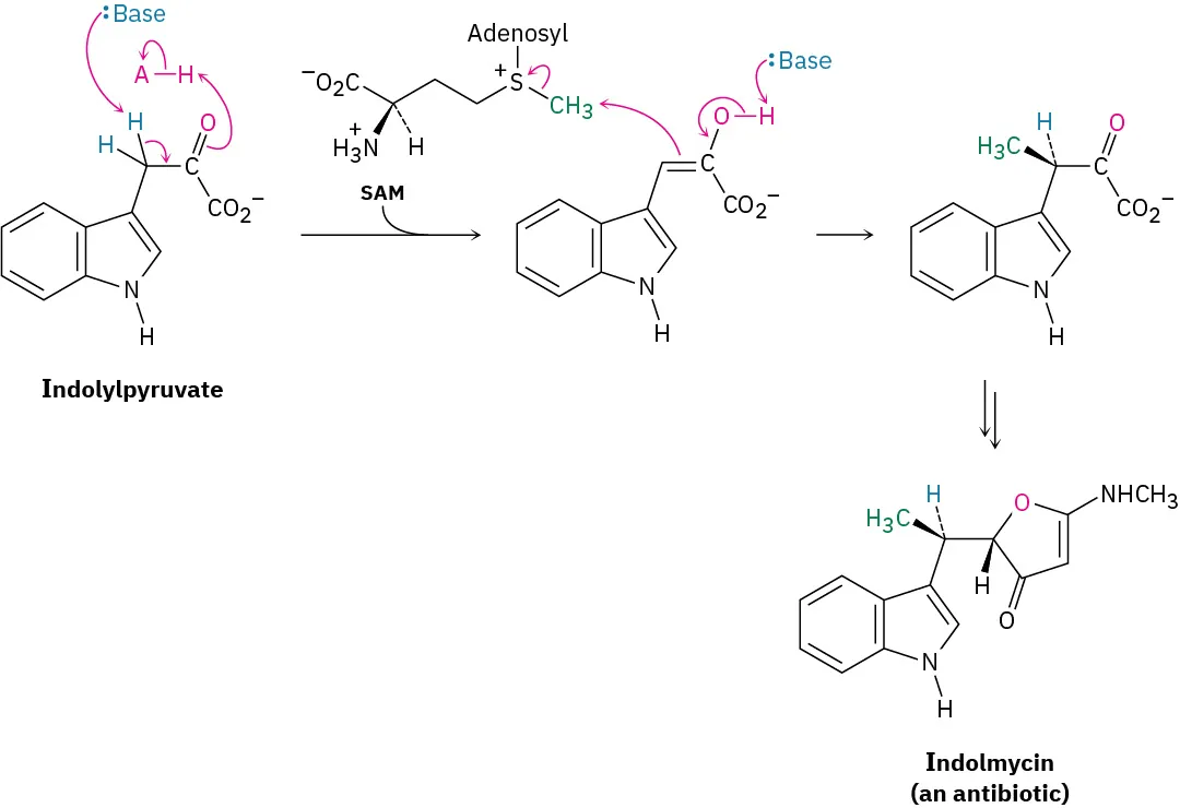
Biological Alkylations

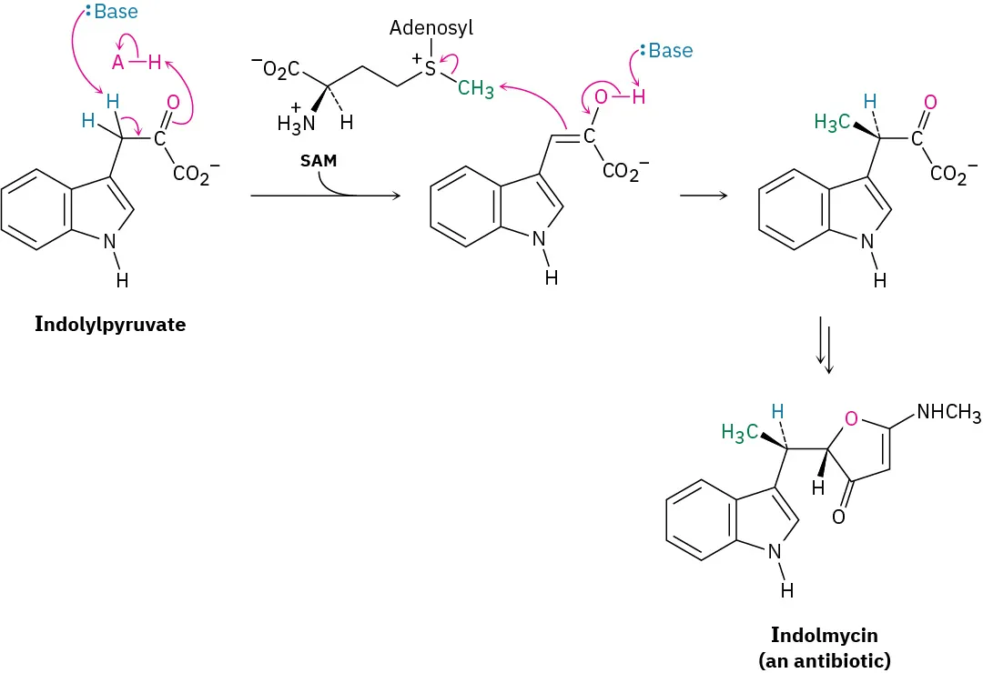
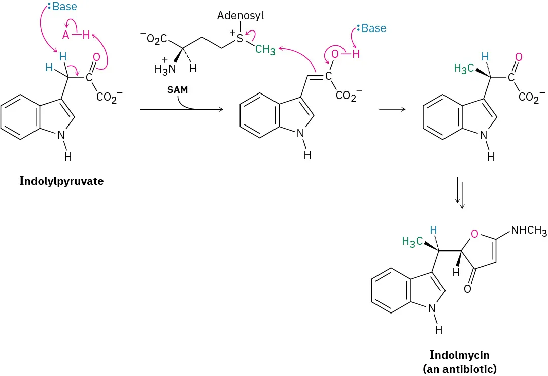
Alkylations are rare but not unknown in biological chemistry. One example occurs during biosynthesis of the antibiotic indolmycin from indolylpyruvate when a base abstracts an acidic hydrogen from an α position and the resultant enolate ion carries out an SN2 alkylation reaction on the methyl group of S-adenosylmethionine (SAM; Section 11.6). Although it’s convenient to speak of “enolate ion” intermediates in biological pathways, it’s unlikely that they exist for long in an aqueous cellular environment. Rather, proton removal and alkylation probably occur at essentially the same time (Figure 22.7).

Indolylpyruvate reacts with base in the presence of S-adenosylmethionine to form two intermediates, eventually yielding indolmycin, an antibiotic.
Figure 22.7 The biosynthesis of indolmycin from indolylpyruvate occurs through a pathway that includes an alkylation reaction of a short-lived enolate ion intermediate.
Citation/Attribution

This book may not be used in the training of large language models or otherwise be ingested into large language models or generative AI offerings without OpenStax's permission.

Want to cite, share, or modify this book? This book uses the Creative Commons Attribution-NonCommercial-ShareAlike License and you must attribute OpenStax.

Attribution information
  • If you are redistributing all or part of this book in a print format, then you must include on every physical page the following attribution:

    Access for free at https://openstax.org/books/organic-chemistry/pages/1-why-this-chapter

  • If you are redistributing all or part of this book in a digital format, then you must include on every digital page view the following attribution:

    Access for free at https://openstax.org/books/organic-chemistry/pages/1-why-this-chapter

Citation information

© Jul 9, 2025 OpenStax. Textbook content produced by OpenStax is licensed under a Creative Commons Attribution-NonCommercial-ShareAlike License . The OpenStax name, OpenStax logo, OpenStax book covers, OpenStax CNX name, and OpenStax CNX logo are not subject to the Creative Commons license and may not be reproduced without the prior and express written consent of Rice University.