Skip to ContentGo to accessibility pageKeyboard shortcuts menu
OpenStax Logo
Organic Chemistry

23.4 Using Aldol Reactions in Synthesis

Organic Chemistry23.4 Using Aldol Reactions in Synthesis
Search for key terms or text.

23.4 • Using Aldol Reactions in Synthesis

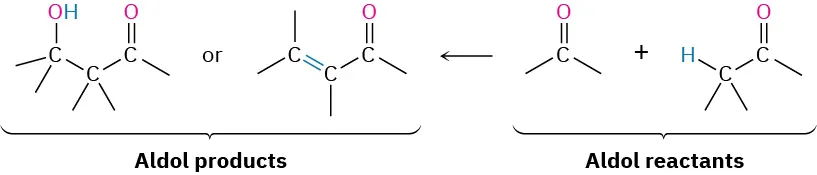
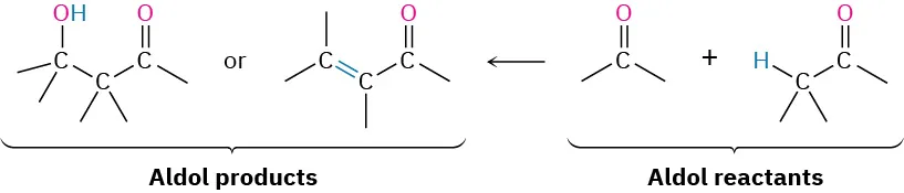
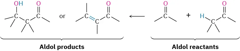
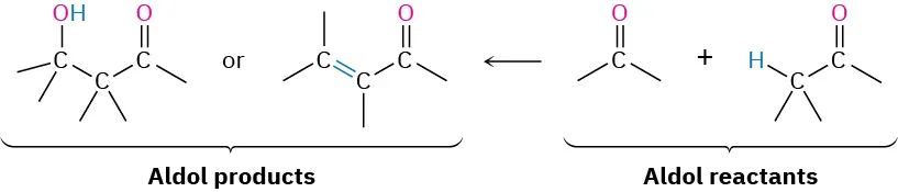
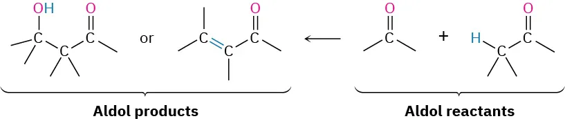
The aldol reaction yields either a β-hydroxy aldehyde/ketone or an α,β-unsaturated aldehyde/ketone, depending on the experimental conditions. By learning how to work backward, it’s possible to predict when the aldol reaction might be useful in synthesis. Whenever the target molecule contains either a β-hydroxy aldehyde/ketone or a conjugated enone functional group, it might come from an aldol reaction.

The figure shows two aldol reactants giving two aldol products. The products are a beta-hydroxy carbonyl compound and a conjugated enone.

We can extend this kind of reasoning even further by imagining that subsequent transformations might be carried out on the aldol products. For example, a saturated ketone might be prepared by catalytic hydrogenation of the enone product. A good example can be found in the industrial preparation of 2-ethyl-1-hexanol, an alcohol used in the synthesis of plasticizers for polymers. Although 2-ethyl-1-hexanol bears little resemblance to an aldol product at first glance, it is in fact prepared commercially from butanal by an aldol reaction. Working backward, we can reason that 2-ethyl-1-hexanol might come from 2-ethylhexanal by a reduction. 2-Ethylhexanal, in turn, might be prepared by catalytic reduction of 2-ethyl-2-hexenal, which is the aldol condensation product of butanal. The reactions that follow show the sequence in reverse order.

The conversion of butanal to 2-ethyl-1-hexanol uses potassium hydroxide in ethanol, forming 2-ethyl-2-hexenal. The second step forms 2-ethylhexanal using hydrogen in platinum. The final step uses nascent hydrogen.
Problem 23-5
Which of the following compounds are aldol condensation products? What is the aldehyde or ketone precursor of each?
(a)
2-Hydroxy-2-methylpentanal
(b)
5-Ethyl-4-methyl-4-hepten-3-one
Problem 23-6
1-Butanol is prepared commercially by a route that begins with an aldol reaction. Show the steps that are likely to be involved.
Problem 23-7

Show how you would synthesize the following compound using an aldol reaction:

Ball-and-stick model of Z-2,4-dicyclopropyl-2-butenal.
Citation/Attribution

This book may not be used in the training of large language models or otherwise be ingested into large language models or generative AI offerings without OpenStax's permission.

Want to cite, share, or modify this book? This book uses the Creative Commons Attribution-NonCommercial-ShareAlike License and you must attribute OpenStax.

Attribution information
  • If you are redistributing all or part of this book in a print format, then you must include on every physical page the following attribution:

    Access for free at https://openstax.org/books/organic-chemistry/pages/1-why-this-chapter

  • If you are redistributing all or part of this book in a digital format, then you must include on every digital page view the following attribution:

    Access for free at https://openstax.org/books/organic-chemistry/pages/1-why-this-chapter

Citation information

© Jul 9, 2025 OpenStax. Textbook content produced by OpenStax is licensed under a Creative Commons Attribution-NonCommercial-ShareAlike License . The OpenStax name, OpenStax logo, OpenStax book covers, OpenStax CNX name, and OpenStax CNX logo are not subject to the Creative Commons license and may not be reproduced without the prior and express written consent of Rice University.