Skip to ContentGo to accessibility pageKeyboard shortcuts menu
OpenStax Logo
Organic Chemistry

23.11 Carbonyl Condensations with Enamines: The Stork Enamine Reaction

Organic Chemistry23.11 Carbonyl Condensations with Enamines: The Stork Enamine Reaction
Search for key terms or text.

23.11 • Carbonyl Condensations with Enamines: The Stork Enamine Reaction

In addition to enolate ions, other kinds of carbon nucleophiles also add to α,β-unsaturated acceptors in Michael-like reactions. Among the most important and useful of such nucleophiles, particularly in biological chemistry, are enamines, which are readily prepared by reaction between a ketone and a secondary amine (Section 19.8). For example:

The reaction shows cyclohexanone and pyrrolidine, yielding 1-pyrrolidinocyclohexene (eighty-seven percent) and water. The cyclohexene ring is connected to the pyrrolidine nitrogen atom through a single bond, in the structure.

As the following resonance structures indicate, enamines are electronically similar to enolate ions. Overlap of the nitrogen lone-pair orbital with the double-bond p orbitals leads to an increase in electron density on the α carbon atom, making that carbon nucleophilic. An electrostatic potential map of N,N-dimethylaminoethylene shows this shift of electron density (red) toward the α position.

Resonance structures with arrow-pushing for enolate ion and enamine. In both, electrons are pushed from O or N toward C, and from carbon-carbon double bond toward furthest carbon.

Enamines behave in much the same way as enolate ions and enter into many of the same kinds of reactions. In the Stork enamine reaction, named for its discoverer, Gilbert Stork of Columbia University, for example, an enamine adds to an α,β-unsaturated carbonyl acceptor in a Michael-like process. The initial product is then hydrolyzed by aqueous acid to yield a 1,5-dicarbonyl compound. The overall reaction is thus a three-step sequence of (1) enamine formation from a ketone, (2) Michael addition to an α,β-unsaturated carbonyl compound, and (3) enamine hydrolysis back to a ketone.

The net effect of the Stork enamine reaction is the Michael addition of a ketone to an α,β-unsaturated carbonyl compound. For example, cyclohexanone reacts with the cyclic amine pyrrolidine to yield an enamine; further reaction with an enone such as 3-buten-2-one yields a Michael adduct; and aqueous hydrolysis completes the sequence to give a 1,5-diketone (Figure 23.8).

The reaction shows cyclohexanone with pyrrolidine to form enamine in step one. The enamine reacts with 3-buten-2-one (step two), giving intermediates which, on hydrolysis, produce 1,5-diketone (seventy-one percent) and pyrrolidine.
Figure 23.8 The Stork enamine reaction between cyclohexanone and 3-buten-2-one. (1) Cyclohexanone is first converted into an enamine, (2) the enamine adds to the α,β-unsaturated ketone in a Michael reaction, and (3) the conjugate addition product is hydrolyzed to yield a 1,5-diketone.

The enamine–Michael reaction has two advantages over the enolate-ion–Michael reaction that makes it particularly useful in biological pathways. First, an enamine is neutral, easily prepared, and easily handled, while an enolate ion is charged, sometimes difficult to prepare, and must be handled carefully. Second, an enamine from a monoketone can be used in the Michael addition, whereas only enolate ions from β-dicarbonyl compounds can be used.

Worked Example 23.6

Using the Stork Enamine Reaction

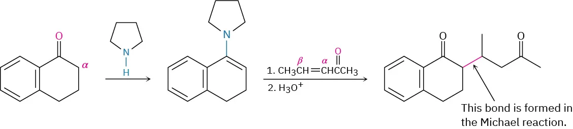
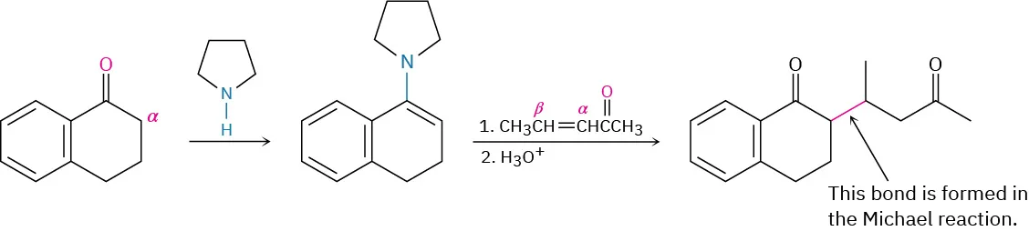
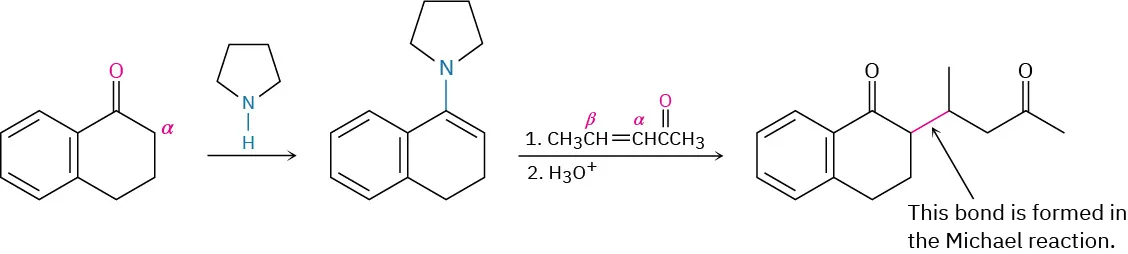
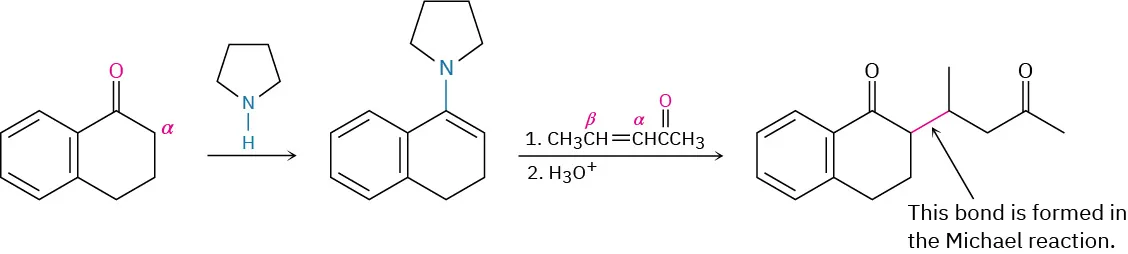
How might you use an enamine reaction to prepare the following compound?

Structure of benzene ring fused to cyclohexanone at cyclohexanone C 2 and C 3. Cyclohexanone C 6 is attached to the fourth carbon of pentan-2-one.

Strategy

The overall result of an enamine reaction is the Michael addition of a ketone as donor to an α,β-unsaturated carbonyl compound as acceptor, yielding a 1,5-dicarbonyl product. The C–C bond formed in the Michael addition step is the one between the α carbon of the ketone donor and the β carbon of the unsaturated acceptor.

Solution

The reaction of ketone with pyrrolidine forms an intermediate that undergoes Michael addition with pent-3-en-2one followed by hydronium to give a product with an extended side chain.
Problem 23-19
What products would result after hydrolysis from reaction of the enamine prepared from cyclopentanone and pyrrolidine with the following α,β-unsaturated acceptors?
(a)
H2C CHCO2Et
(b)
H2C CHCHO
(c)
CH3CH CHCOCH3
Problem 23-20
Show how you might use an enamine reaction to prepare each of the following compounds:
(a)
The structure of cyclopentanone with C H 2 C H 2 C N on the second carbon.
(b)
The structure of cyclohexanone with C H 2 C H 2 C O O C H 3 on the second carbon.
Citation/Attribution

This book may not be used in the training of large language models or otherwise be ingested into large language models or generative AI offerings without OpenStax's permission.

Want to cite, share, or modify this book? This book uses the Creative Commons Attribution-NonCommercial-ShareAlike License and you must attribute OpenStax.

Attribution information
  • If you are redistributing all or part of this book in a print format, then you must include on every physical page the following attribution:

    Access for free at https://openstax.org/books/organic-chemistry/pages/1-why-this-chapter

  • If you are redistributing all or part of this book in a digital format, then you must include on every digital page view the following attribution:

    Access for free at https://openstax.org/books/organic-chemistry/pages/1-why-this-chapter

Citation information

© Jul 9, 2025 OpenStax. Textbook content produced by OpenStax is licensed under a Creative Commons Attribution-NonCommercial-ShareAlike License . The OpenStax name, OpenStax logo, OpenStax book covers, OpenStax CNX name, and OpenStax CNX logo are not subject to the Creative Commons license and may not be reproduced without the prior and express written consent of Rice University.