Skip to ContentGo to accessibility pageKeyboard shortcuts menu
OpenStax Logo
Organic Chemistry

19.8 Nucleophilic Addition of Amines: Imine and Enamine Formation

Organic Chemistry19.8 Nucleophilic Addition of Amines: Imine and Enamine Formation
Search for key terms or text.

19.8 • Nucleophilic Addition of Amines: Imine and Enamine Formation

Primary amines, RNH2, add to aldehydes and ketones to yield imines, R2C═NRR2C═NR. Secondary amines, R2NH, add similarly to yield enamines, R2N–CRCR2R2N–CRCR2 (ene + amine = unsaturated amine).

Two reversible pathways from ketone or aldehyde. Conversion of aldehyde or ketone to imine and water using R N H 2 and enamine and water using R 2 N H.

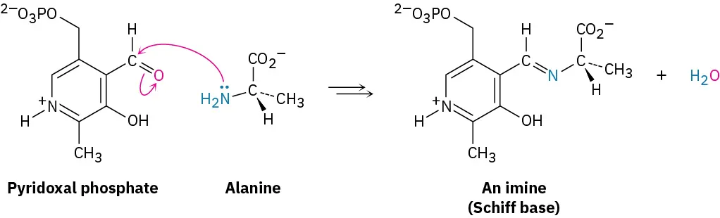
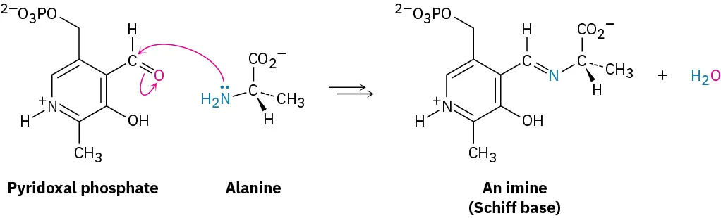
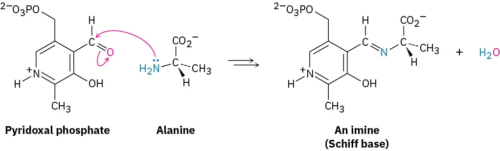
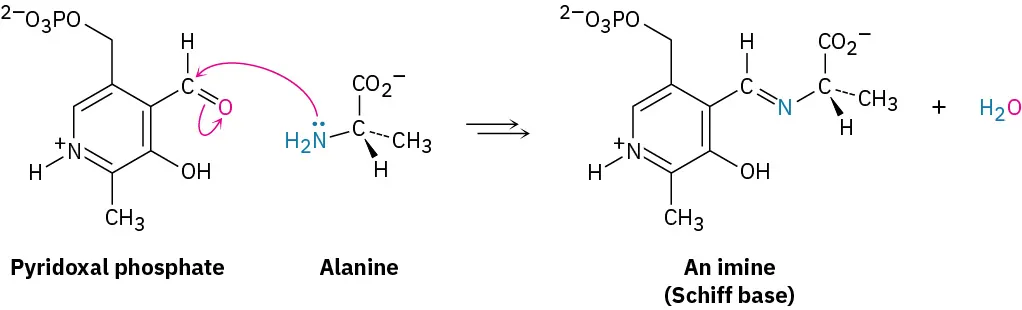
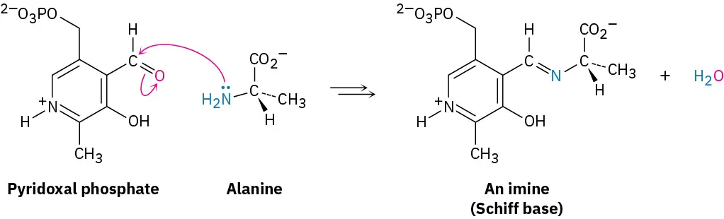
Imines are particularly common as intermediates in biological pathways, where they are often called Schiff bases. The amino acid alanine, for instance, is metabolized in the body by reaction with the aldehyde pyridoxal phosphate (PLP), a derivative of vitamin B6, to yield a Schiff base that is further degraded.

Reaction of pyridoxal phosphate and alanine in multiple steps to form the Schiff base, an imine, and water. Schiff base has a imine functional group.

Imine formation and enamine formation seem different because one leads to a product with a C═NC═N bond and the other leads to a product with a C═CC═C bond. Actually, though, the reactions are quite similar. Both are typical examples of nucleophilic addition reactions in which water is eliminated from the initially formed tetrahedral intermediate and a new C═NuC═Nu double bond is formed.

Imines are formed in a reversible, acid-catalyzed process (Figure 19.7) that begins with nucleophilic addition of the primary amine to the carbonyl group, followed by transfer of a proton from nitrogen to oxygen to yield a neutral amino alcohol, or carbinolamine. Protonation of the carbinolamine oxygen by an acid catalyst then converts the –OH into a better leaving group (–OH2+), and E1-like loss of water produces an iminium ion. Loss of a proton from nitrogen gives the final product and regenerates the acid catalyst.

Figure 19.7 MECHANISM
Mechanism of imine formation by reaction of an aldehyde or ketone with a primary amine. The key step is the initial nucleophilic addition to yield a carbinolamine intermediate, which then loses water to give the imine.
Reaction mechanism for ketone or aldehyde to imine through five steps: nucleophilic attack of amine, proton transfer generating neutral carbinolamine, protonation of hydroxy, iminium ion formation, and deprotonation to imine.

Imine formation with such reagents as hydroxylamine and 2,4-dinitrophenylhydrazine is sometimes useful because the products of these reactions—oximes and 2,4-dinitrophenylhydrazones (2,4-DNPs), respectively—are often crystalline and easy to handle. Such crystalline derivatives are occasionally prepared as a means of purifying and characterizing liquid ketones or aldehydes.

First reaction shows the formation of cyclohexanone oxime between cyclohexanone and hydroxylamine. Second reaction shows the formation of acetone-2,4-dinitrophenylhydrazone from acetone and 2,4-dinitrophenylhydrazine. Water is the by-product in both reactions.

Reaction of an aldehyde or ketone with a secondary amine, R2NH, rather than a primary amine yields an enamine. As shown in Figure 19.8, the process is identical to imine formation up to the iminium ion stage, but at this point there is no proton on nitrogen that can be lost to form a neutral imine product. Instead, a proton is lost from the neighboring carbon (the α carbon), yielding an enamine.

Figure 19.8 MECHANISM
Mechanism for enamine formation by reaction of an aldehyde or ketone with a secondary amine, R2NH. The iminium ion intermediate formed in step 3 has no hydrogen attached to N and so must lose H+ from the carbon two atoms away.
Reaction mechanism shows enamine formation from ketone or aldehyde by reacting with secondary amine through four steps: nucleophilic addition causing carbinolamine formation, protonation, formation of iminium ion, deprotonation to enamine.

Imine and enamine formation are slow at both high pH and low pH but reach a maximum rate at a weakly acidic pH around 4 to 5. For example, the profile of pH versus rate shown in Figure 19.9 for the reaction between acetone and hydroxylamine, NH2OH, indicates that the maximum reaction rate occurs at pH 4.5.

We can explain the observed pH dependence of imine formation by looking at the individual steps in the mechanism. As indicated in Figure 19.8, an acid catalyst is required in step 3 to protonate the intermediate carbinolamine, thereby converting the –OH into a better leaving group. Thus, reaction will be slow if not enough acid is present (that is, at high pH). On the other hand, if too much acid is present (low pH), the basic amine nucleophile is completely protonated, so the initial nucleophilic addition step can’t occur.

A pH versus reaction rate graph. pH values range from 1 to 8. A sharp bell curve peaks at pH 4.5.
Figure 19.9 Dependence on pH of the rate of reaction between acetone and hydroxylamine: (CH3)2C═O+NH2OH(CH3)2C═NOH+H2O(CH3)2C═O+NH2OH(CH3)2C═NOH+H2O.

Evidently, a pH of 4.5 represents a compromise between the need for some acid to catalyze the rate-limiting dehydration step but not too much acid so as to avoid complete protonation of the amine. Each nucleophilic addition reaction has its own requirements, and conditions must be optimized to obtain maximum reaction rates.

Worked Example 19.1

Predicting the Product of Reaction between a Ketone and an Amine

Show the products you would obtain by acid-catalyzed reaction of 3-pentanone with methylamine, CH3NH2, and with dimethylamine, (CH3)2NH.

Strategy

An aldehyde or ketone reacts with a primary amine, RNH2, to yield an imine, in which the carbonyl oxygen atom has been replaced by the =N–R group of the amine. Reaction of the same aldehyde or ketone with a secondary amine, R2NH, yields an enamine, in which the oxygen atom has been replaced by the –NR2 group of the amine and the double bond has moved to a position between the former carbonyl carbon and the neighboring carbon.

Solution

3-pentanone undergoes two reactions. It reacts with methylamine to form an imine and water. It reacts with ethyl amine to form an enamine and water.
Problem 19-10
Show the products you would obtain by acid-catalyzed reaction of cyclohexanone with ethylamine, CH3CH2NH2, and with diethylamine, (CH3CH2)2NH.
Problem 19-11
Imine formation is reversible. Show all the steps involved in the acid-catalyzed reaction of an imine with water (hydrolysis) to yield an aldehyde or ketone plus primary amine.
Problem 19-12

Draw the following molecule as a skeletal structure, and show how it can be prepared from a ketone and an amine.

The ball-and-stick model shows C 1 of cyclopentene is linked to nitrogen that is further bonded with two ethyl groups.
Citation/Attribution

This book may not be used in the training of large language models or otherwise be ingested into large language models or generative AI offerings without OpenStax's permission.

Want to cite, share, or modify this book? This book uses the Creative Commons Attribution-NonCommercial-ShareAlike License and you must attribute OpenStax.

Attribution information
  • If you are redistributing all or part of this book in a print format, then you must include on every physical page the following attribution:

    Access for free at https://openstax.org/books/organic-chemistry/pages/1-why-this-chapter

  • If you are redistributing all or part of this book in a digital format, then you must include on every digital page view the following attribution:

    Access for free at https://openstax.org/books/organic-chemistry/pages/1-why-this-chapter

Citation information

© Jul 9, 2025 OpenStax. Textbook content produced by OpenStax is licensed under a Creative Commons Attribution-NonCommercial-ShareAlike License . The OpenStax name, OpenStax logo, OpenStax book covers, OpenStax CNX name, and OpenStax CNX logo are not subject to the Creative Commons license and may not be reproduced without the prior and express written consent of Rice University.