Skip to ContentGo to accessibility pageKeyboard shortcuts menu
OpenStax Logo
Organic Chemistry

24.8 Reactions of Arylamines

Organic Chemistry24.8 Reactions of Arylamines
Search for key terms or text.

24.8 • Reactions of Arylamines

Electrophilic Aromatic Substitutions

An amino group is strongly activating and ortho- and para-directing in electrophilic aromatic substitution reactions (Section 16.4). This high reactivity of amino-substituted benzenes can be a drawback at times because it’s often difficult to prevent polysubstitution. Reaction of aniline with Br2, for instance, takes place rapidly and yields the 2,4,6-tribrominated product. The amino group is so strongly activating that it’s not possible to stop at the monobromo stage.

Aniline reacts with three equivalents of bromine and water to form 2,4,6-tribromoaniline with 100 percent yield.

Another drawback to the use of amino-substituted benzenes in electrophilic aromatic substitution reactions is that Friedel–Crafts reactions are not successful (Section 16.3). The amino group forms an acid–base complex with the AlCl3 catalyst, which prevents further reaction. Both drawbacks can be overcome, however, by carrying out electrophilic aromatic substitution reactions on the corresponding amide rather than on the free amine.

As we saw in Section 21.5, treatment of an amine with acetic anhydride yields the corresponding acetyl amide, or acetamide. Although still activating and ortho-, para-directing, amido substituents (R–N–C=OR–N–C=O) are less strongly activating and less basic than amino groups because their nitrogen lone-pair electrons are delocalized by the neighboring carbonyl group. As a result, bromination of an N-arylamide occurs cleanly to give a monobromo product, and hydrolysis of the amide with aqueous base then gives the free amine. For example, p-toluidine (4-methylaniline) can be acetylated, brominated, and hydrolyzed to yield 2-bromo-4-methylaniline. None of the 2,6-dibrominated product is obtained.

p-Toluidine reacts with acetic anhydride and pyridine to form N-(p-tolyl)acetamide. This reacts with bromine to form N-(2-bromo-4-methylphenyl)acetamide. This reacts with sodium hydroxide and water to form 2-bromo-4-methylaniline (79 percent yield).

Friedel–Crafts alkylations and acylations of N-arylamides also proceed normally. For example, benzoylation of acetanilide (N-acetylaniline) under Friedel–Crafts conditions gives 4-aminobenzophenone in 80% yield after hydrolysis.

Aniline reacts with acetic anhydride, pyridine to form N-phenylacetamide. This reacts with benzoyl chloride and aluminum chloride to form N-(4-benzoylphenyl)acetamide. This reacts with sodium hydroxide and water to form 4-aminobenzophenone.

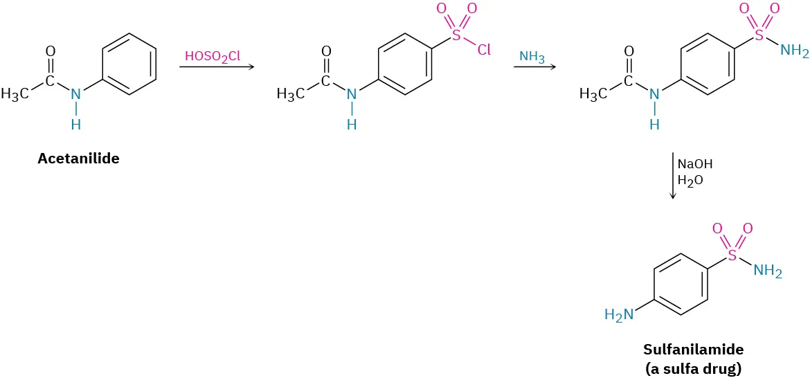
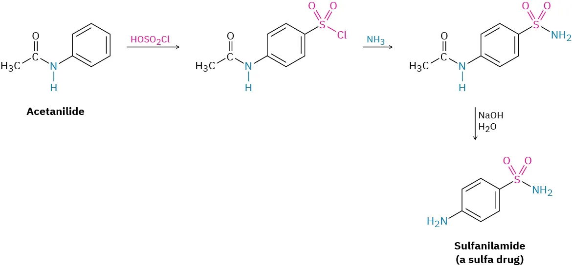
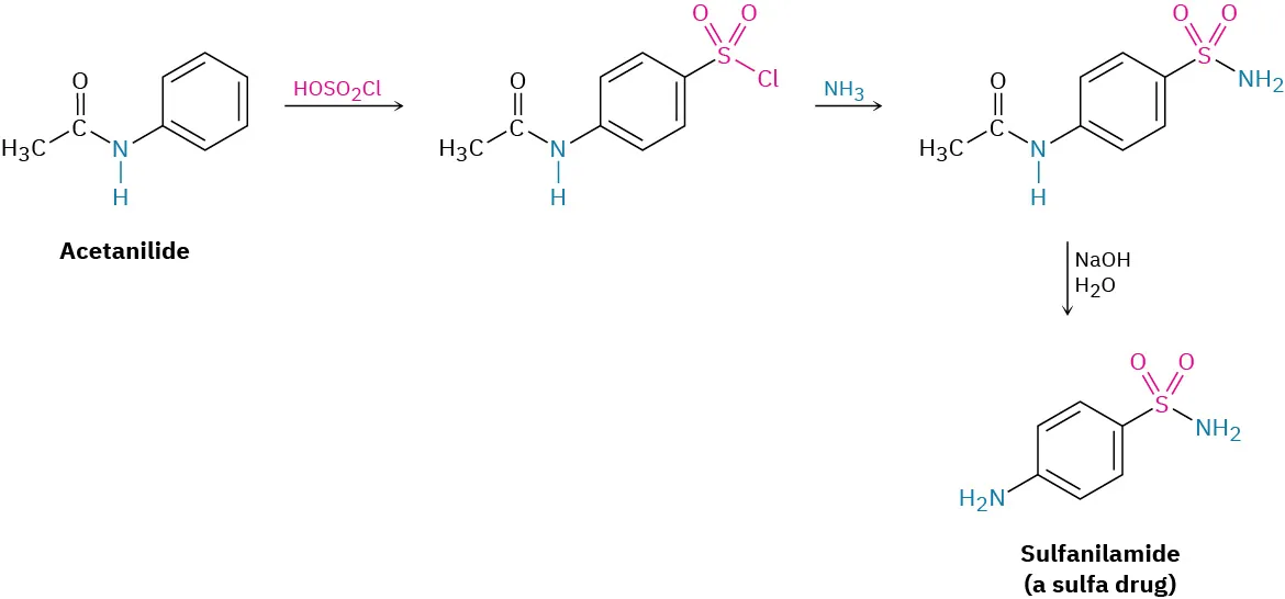
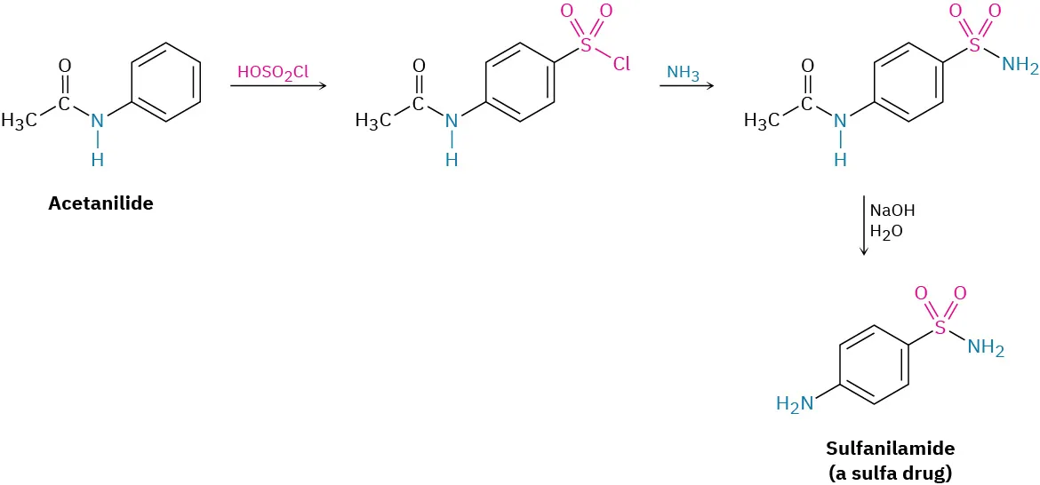
Moderating the reactivity of an amino-substituted benzene by forming an amide is a useful trick that allows many kinds of electrophilic aromatic substitutions to be carried out that would otherwise be impossible. One example is the preparation of the sulfa drugs, such as sulfanilamide.

Sulfa drugs were among the first pharmaceutical agents to be used clinically against bacterial infection. Although they have largely been replaced today by safer and more powerful antibiotics, sulfa drugs are credited with saving the lives of thousands of wounded during World War II and are still prescribed for urinary tract infections. They are prepared by chlorosulfonation of acetanilide, followed by reaction of p-(N-acetylamino)benzenesulfonyl chloride with ammonia or some other amine to give a sulfonamide. Hydrolysis of the amide then yields the sulfa drug. Note that hydrolysis of the amide can be carried out in the presence of the sulfonamide group because sulfonamides hydrolyze very slowly.

Acetanilide reacts with sulfurochloridic acid to form 4-acetamidobenzene-1-sulfonyl chloride. This reacts with ammonia to form N-(4-sulfamoylphenyl)acetamide. This reacts with sodium hydroxide and water to form sulfanilamide.
Problem 24-16

Propose a synthesis of the drug sulfathiazole from benzene and any necessary amine.

The structure of sulfathiazole, which is aniline connected to a sulfonyl to an N H to a cyclopentadiene with nitrogen and sulfur atoms.
Problem 24-17
Propose syntheses of the following compounds from benzene:
(a)
N,N-Dimethylaniline
(b)
p-Chloroaniline
(c)
m-Chloroaniline
(d)
2,4-Dimethylaniline

Diazonium Salts: The Sandmeyer Reaction

Primary arylamines react with nitrous acid, HNO2, to yield stable arenediazonium salts, Ar–N+≡NXAr–N+≡NX, a process called a diazotization reaction. Alkylamines also react with nitrous acid, but the corresponding alkanediazonium products are so reactive they can’t be isolated. Instead, they lose nitrogen instantly to yield carbocations. The analogous loss of N2 from an arenediazonium ion to yield an aryl cation is disfavored by the instability of the cation.

Aniline reacts with nitrous acid and sulfuric acid to form arenediazonium salt, hydrogen sulfate, and two equivalents of water.

Arenediazonium salts are useful because the diazonio group (–N≡N–N≡N) can be replaced by a nucleophile in a substitution reaction.

The arenediazonium salt reacts with H S O 4 minus and nucleophile to form a benzene substituted with a nucleophile and nitrogen as the product.

Many different nucleophiles—halide, hydride, cyanide, and hydroxide among others—react with arenediazonium salts, yielding many different kinds of substituted benzenes. The overall sequence of (1) nitration, (2) reduction, (3) diazotization, and (4) nucleophilic substitution is perhaps the single most versatile method of aromatic substitution.

Aryl chlorides and bromides are prepared by reaction of an arenediazonium salt with the corresponding copper(I) halide, CuX, a process called the Sandmeyer reaction. Aryl iodides can be prepared by direct reaction with NaI without using a copper(I) salt. Yields generally fall between 60% and 80%.

p-Methylaniline and aniline both undergo reactions with nitrous acid and sulfuric acid to form two different intermediates. The first intermediate forms p-bromotoluene and the second one forms iodobenzene.

Similar treatment of an arenediazonium salt with CuCN yields the nitrile ArCN, which can then be further converted into other functional groups such as carboxyl. For example, Sandmeyer reaction of o-methylbenzenediazonium bisulfate with CuCN yields o-methylbenzonitrile, which can be hydrolyzed to give o-methylbenzoic acid. This product can’t be prepared from o-xylene by the usual side-chain oxidation route because both methyl groups would be oxidized.

o-Methylaniline reacts with nitrous acid and sulfuric acid to form o-methylbenzene-diazonium bisulfate. This reacts with potassium cyanide and copper cyanide to form o-methylbenzonitrile. This reacts with hydronium forming o-methylbenzoic acid.

The diazonio group can also be replaced by –OH to yield a phenol and by –H to yield an arene. A phenol is prepared by reaction of the arenediazonium salt with copper(I) oxide in an aqueous solution of copper(II) nitrate, a reaction that is especially useful because few other general methods exist for introducing an –OH group onto an aromatic ring.

p-Methylaniline reacts with nitrous acid and sulfuric acid to form an intermediate. This reacts with copper oxide, copper nitrate, and water to form p-cresol with a 93 percent yield.

Reduction of a diazonium salt to give an arene occurs on treatment with hypophosphorous acid, H3PO2. This reaction is used primarily when there is a need for temporarily introducing an amino substituent onto a ring to take advantage of its directing effect. Suppose, for instance, that you needed to make 3,5-dibromotoluene. This product can’t be made by direct bromination of toluene because reaction would occur at positions 2 and 4. Starting with p-methylaniline (p-toluidine), however, dibromination occurs ortho to the strongly directing amino substituent, and diazotization followed by treatment with H3PO2 to remove the amino group yields the desired product.

p-Methylaniline reacts with two equivalents of bromine, then nitrous and sulfuric acids, then phosphinic acid to form 3,5-dibromotoluene. Toluene reacts with two equivalents of bromine and ferric bromide forming 2,4-dibromotoluene.

Mechanistically, these diazonio replacement reactions occur through radical rather than polar pathways. In the presence of a copper(I) compound, for instance, it’s thought that the arenediazonium ion is first converted to an aryl radical plus copper(II), followed by subsequent reaction to give product plus regenerated copper(I) catalyst.

Diazonium compound reacts with copper halide to form an aryl radical. This reacts to form a product in which benzene is substituted with an X group.

Worked Example 24.4

Using Diazonium Replacement Reactions

How would you prepare m-hydroxyacetophenone from benzene, using a diazonium replacement reaction in your scheme?

The structure of m-hydroxyacetophenone. It comprises a benzene ring with an acetyl group on C 1 and a hydroxyl group on C 3 position.

Strategy

As always, organic syntheses are planned by working retrosynthetically from the final product, one step at a time. First, identify the functional groups in the product and recall how those groups can be synthesized. m-Hydroxyacetophenone has an –OH group and a –COCH3 group in a meta relationship on a benzene ring. A hydroxyl group is generally introduced onto an aromatic ring by a four-step sequence of nitration, reduction, diazotization, and diazonio replacement. An acetyl group is introduced by a Friedel–Crafts acylation reaction.

Next, ask yourself what an immediate precursor of the target might be. Since an acetyl group is a meta director while a hydroxyl group is an ortho and para director, acetophenone might be a precursor of m-hydroxyacetophenone. Benzene, in turn, is a precursor of acetophenone.

Solution

Benzene reacts with acetyl chloride and aluminum chloride to form acetophenone. This reacts with four different sets of reagents in four different steps to form m-hydroxyacetophenone.
Problem 24-18
How would you prepare the following compounds from benzene, using a diazonium replacement reaction in your scheme?
(a)
p-Bromobenzoic acid
(b)
m-Bromobenzoic acid
(c)
m-Bromochlorobenzene
(d)
p-Methylbenzoic acid
(e)
1,2,4-Tribromobenzene

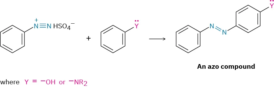
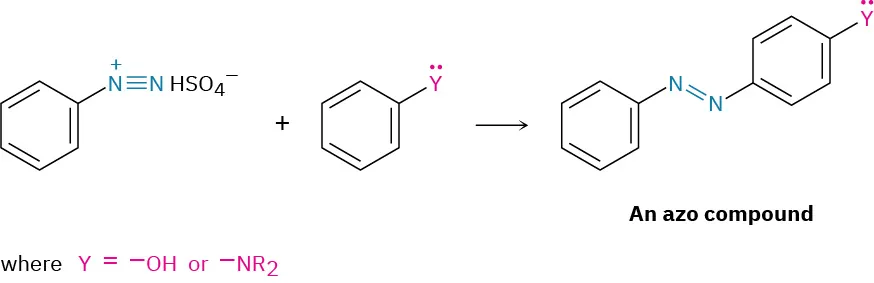
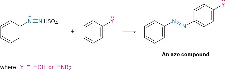
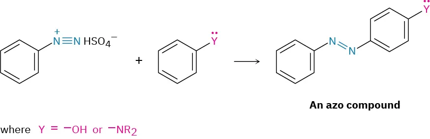
Diazonium Coupling Reactions

Arenediazonium salts undergo a coupling reaction with activated aromatic rings such as phenols and arylamines to yield brightly colored azo compounds, Ar–N=N–ArAr–N=N–Ar.

An arenediazonium salt reacts with benzene substituted with Y to form an azo compound. Y can be O H or N R 2 group.

Diazonium coupling reactions are typical electrophilic aromatic substitutions in which the positively charged diazonium ion is the electrophile that reacts with the electron-rich ring of a phenol or arylamine. Reaction usually occurs at the para position.

Benzenediazonium sulfate reacts with phenol to form an intermediate that reacts to form p-hydroxyazobenzene, orange crystals at 152 degree Celsius. The figure shows the electrostatic potential map of benzenediazonium sulfate.

Azo-coupled products are widely used as dyes for textiles because their extended conjugated π electron system causes them to absorb in the visible region of the electromagnetic spectrum (Section 14.9). p-(Dimethylamino)-azobenzene, for instance, is a bright yellow compound that was at one time used as a coloring agent in margarine.

Benzenediazonium sulfate reacts with N,N-dimethylaniline to form p-(dimethylamino)azobenzene, yellow crystals with a melting point of 127 degree Celsius.
Problem 24-19
Propose a synthesis of p-(dimethylamino)azobenzene with benzene as your only organic starting material.
Citation/Attribution

This book may not be used in the training of large language models or otherwise be ingested into large language models or generative AI offerings without OpenStax's permission.

Want to cite, share, or modify this book? This book uses the Creative Commons Attribution-NonCommercial-ShareAlike License and you must attribute OpenStax.

Attribution information
  • If you are redistributing all or part of this book in a print format, then you must include on every physical page the following attribution:

    Access for free at https://openstax.org/books/organic-chemistry/pages/1-why-this-chapter

  • If you are redistributing all or part of this book in a digital format, then you must include on every digital page view the following attribution:

    Access for free at https://openstax.org/books/organic-chemistry/pages/1-why-this-chapter

Citation information

© Jul 9, 2025 OpenStax. Textbook content produced by OpenStax is licensed under a Creative Commons Attribution-NonCommercial-ShareAlike License . The OpenStax name, OpenStax logo, OpenStax book covers, OpenStax CNX name, and OpenStax CNX logo are not subject to the Creative Commons license and may not be reproduced without the prior and express written consent of Rice University.