Skip to ContentGo to accessibility pageKeyboard shortcuts menu
OpenStax Logo
Organic Chemistry

16.4 Substituent Effects in Electrophilic Substitutions

Organic Chemistry16.4 Substituent Effects in Electrophilic Substitutions
Search for key terms or text.

16.4 • Substituent Effects in Electrophilic Substitutions

Only one product can form when an electrophilic substitution occurs on benzene, but what would happen if we were to carry out a reaction on an aromatic ring that already has a substituent? The initial presence of a substituent on the ring has two effects.

  • Substituents affect the reactivity of the aromatic ring. Some substituents activate the ring, making it more reactive than benzene, and some deactivate the ring, making it less reactive than benzene. In aromatic nitration, for instance, an –OH substituent makes the ring 1000 times more reactive than benzene, while an –NO2 substituent makes the ring more than 10 million times less reactive.
    Nitrobenzene, chlorobenzene, benzene, and phenol are arranged in order of increasing reactivity. Their respective relative rate of nitration values are mentioned.
  • Substituents affect the orientation of the reaction. The three possible disubstituted products—ortho, meta, and para—are usually not formed in equal amounts. Instead, the nature of the substituent initially present on the benzene ring determines the position of the second substitution. An –OH group directs substitution toward the ortho and para positions, for instance, while a carbonyl group such as –CHO directs substitution primarily toward the meta position. Table 16.1 lists experimental results for the nitration of some substituted benzenes.
Table 16.1 Orientation of Nitration in Substituted Benzenes
Benzene bonded to Y reacts with nitric acid in the presence of sulfuric acid at 25 degrees Celsius to form substituted benzene.
  Product (%)
  Ortho Meta Para
Meta-directing deactivators
N+(CH3)3N+(CH3)3  2 87 11
–NO2  7 91  2
–CO2H 22 76  2
–CN 17 81  2
–CO2CH3 28 66  6
–COCH3 26 72  2
–CHO 19 72  9
Ortho- and para-directing deactivators
–F 13 1 86
–Cl 35 1 64
–Br 43 1 56
–I 45 1 54
Ortho- and para-directing activators
–CH3 63 3 34
–OH 50 0 50
–NHCOCH3 19 2 79

Substituents can be classified into three groups, as shown in Figure 16.12: ortho- and para-directing activators, ortho- and para-directing deactivators, and meta-directing deactivators. There are no meta-directing activators. Notice how the directing effect of a group correlates with its reactivity. All meta-directing groups are strongly deactivating, and most ortho- and para-directing groups are activating. The halogens are unique in being ortho- and para-directing but weakly deactivating.

Meta-directing deactivators, ortho and para-directing deactivators, and ortho-and-para directing activators are arranged in order of increasing reactivity.
Figure 16.12 Classification of substituent effects in electrophilic aromatic substitution. All activating groups are ortho- and para-directing, and all deactivating groups other than halogen are meta-directing. Halogens are unique in being deactivating but ortho- and para-directing.

Worked Example 16.2

Predicting the Product of an Electrophilic Aromatic Substitution Reaction

Predict the major product of the sulfonation of toluene.

Strategy

Identify the substituent present on the ring, and decide whether it is ortho- and para-directing or meta-directing. According to Figure 16.12, an alkyl substituent is ortho- and para-directing, so sulfonation of toluene will primarily give a mixture of o-toluenesulfonic acid and p-toluenesulfonic acid.

Solution

Toluene reacts with sulfur trioxide in the presence of sulfuric acid to form ortho-toluenesulfonic acid and para-toluenesulfonic acid.
Problem 16-8
Rank the compounds in each of the following groups in order of their reactivity to electrophilic substitution:
(a)
Nitrobenzene, phenol, toluene, benzene
(b)
Phenol, benzene, chlorobenzene, benzoic acid
(c)
Benzene, bromobenzene, benzaldehyde, aniline
Problem 16-9
Predict the major products of the following reactions:
(a)
Nitration of bromobenzene
(b)
 Bromination of nitrobenzene
(c)
Chlorination of phenol
(d)
Bromination of aniline

Activating and Deactivating Effects

What makes a group either activating or deactivating? The common characteristic of all activating groups is that they donate electrons to the ring, thereby making the ring more electron-rich, stabilizing the carbocation intermediate, and lowering the activation energy for its formation. Conversely, the common characteristic of all deactivating groups is that they withdraw electrons from the ring, thereby making the ring more electron-poor, destabilizing the carbocation intermediate, and raising the activation energy for its formation.

The difference in rate of reaction of benzene with a Y group withdrawing electrons, no Y group, and a Y group donating electrons is shown.

Compare the electrostatic potential maps of benzaldehyde (deactivated), chlorobenzene (weakly deactivated), and phenol (activated) with that of benzene. As shown in Figure 16.13, the ring is more positive (yellow-green) when an electron-withdrawing group such as –CHO or –Cl is present and more negative (red) when an electron-donating group such as –OH is present.

The ball-and-stick model in electrostatic potential maps and structures of benzaldehyde, chlorobenzene, benzene, and phenol.
Figure 16.13 Electrostatic potential maps of benzene and several substituted benzenes show that an electron-withdrawing group (–CHO or –Cl) makes the ring more electron-poor, while an electron-donating group (–OH) makes the ring more electron-rich.

The withdrawal or donation of electrons by a substituent group is controlled by an interplay of inductive effects and resonance effects. As we saw in Section 2.1, an inductive effect is the withdrawal or donation of electrons through a σ bond due to electronegativity. Halogens, hydroxyl groups, carbonyl groups, cyano groups, and nitro groups inductively withdraw electrons through the σ bond linking the substituent to a benzene ring. This effect is most pronounced in halobenzenes and phenols, in which the electronegative atom is directly attached to the ring, but is also significant in carbonyl compounds, nitriles, and nitro compounds, in which the electronegative atom is farther removed. Alkyl groups, on the other hand, inductively donate electrons. This is the same hyperconjugative donating effect that causes alkyl substituents to stabilize alkenes (Section 7.6) and carbocations (Section 7.9).

Five benzene rings with chlorine, hydroxyl group, carbonyl group, cyano group, and nitro group are labeled inductive electron withdrawal. Toluene is labeled inductive electron donation.

A resonance effect is the withdrawal or donation of electrons through a π bond due to the overlap of a p orbital on the substituent with a p orbital on the aromatic ring. Carbonyl, cyano, and nitro substituents, for example, withdraw electrons from the aromatic ring by resonance. The π electrons flow from the ring to the substituent, leaving a positive charge in the ring. Note that substituents with an electron-withdrawing resonance effect have the general structure –Y=Z, where the Z atom is more electronegative than Y.

Conversely, halogen, hydroxyl, alkoxyl (–OR), and amino substituents donate electrons to the aromatic ring by resonance. Lone-pair electrons flow from the substituents to the ring, placing a negative charge on the ring. Substituents with an electron-donating resonance effect have the general structure –Ÿ–Ÿ, where the Y atom has a lone pair of electrons available for donation to the ring.

Resonance structures of a benzene ring bonded to Y double bond Z are shown for the case of Y Z being an  electron withdrawing group and an electron donating group.

One further point: inductive effects and resonance effects don’t necessarily act in the same direction. Halogen, hydroxyl, alkoxyl, and amino substituents, for instance, have electron-withdrawing inductive effects because of the electronegativity of the –X, –O, or –N atom bonded to the aromatic ring but have electron-donating resonance effects because of the lone-pair electrons on those –X, –O, or –N atoms. When the two effects act in opposite directions, the stronger effect dominates. Thus, hydroxyl, alkoxyl, and amino substituents are activators because their stronger electron-donating resonance effect outweighs their weaker electron-withdrawing inductive effect. Halogens, however, are deactivators because their stronger electron-withdrawing inductive effect outweighs their weaker electron-donating resonance effect.

Problem 16-10

Use Figure 16.12 to explain why Friedel–Crafts alkylations often give polysubstitution but Friedel–Crafts acylations do not.

Benzene reacts with methyl chloride in the presence of aluminum trichloride to form mono and para disubstituted products. Benzene reacts with acetyl chloride in the presence of aluminum trichloride to form only one product.
Problem 16-11

An electrostatic potential map of (trifluoromethyl)benzene, C6H5CF3, is shown. Would you expect (trifluoromethyl)benzene to be more reactive or less reactive than toluene toward electrophilic substitution? Explain.

Electrostatic potential maps constituting the ball-and-stick models of (trifluoromethyl)benzene and toluene show redness around fluorine atoms and in the ring region, respectively.

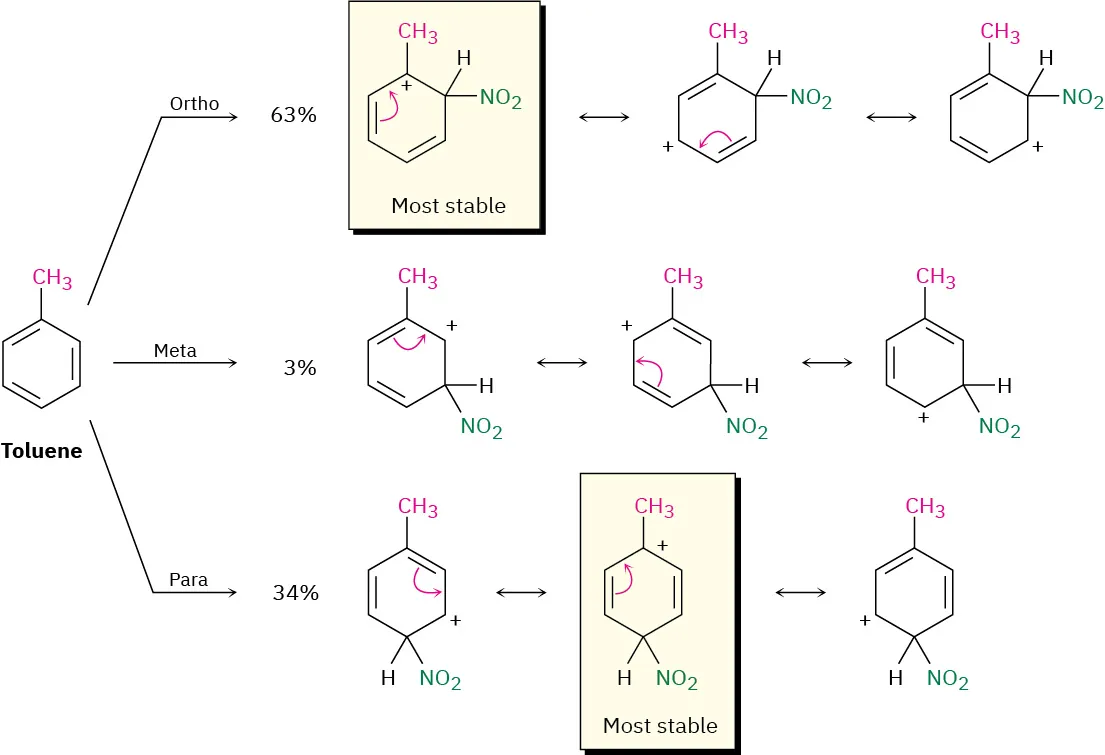
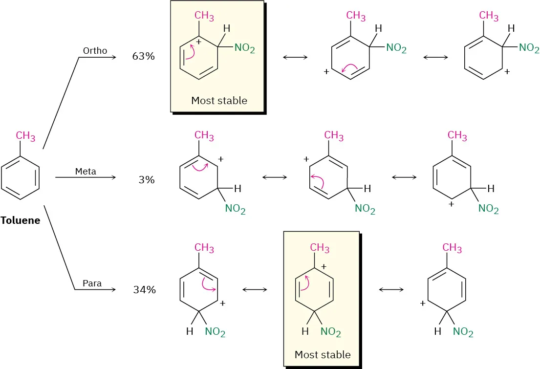
Ortho- and Para-Directing Activators: Alkyl Groups

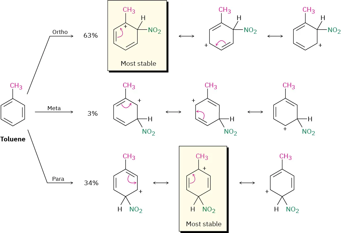
Inductive and resonance effects account not only for reactivity but also for the orientation of electrophilic aromatic substitutions. Take alkyl groups, for instance, which have an electron-donating inductive effect and are ortho and para directors. The results of toluene nitration are shown in Figure 16.14.

Toluene undergoes nitration reaction to form 63 percent ortho, 3 percent meta, and 34 percent para substituted intermediates. The resonance structures of intermediates are depicted.
Figure 16.14 Carbocation intermediates in the nitration of toluene. Ortho and para intermediates are more stable than the meta intermediate because the positive charge is on a tertiary carbon rather than a secondary carbon.

Nitration of toluene might occur either ortho, meta, or para to the methyl group, giving the three carbocation intermediates shown in in Figure 16.14. Although all three intermediates are resonance-stabilized, the ortho and para intermediates are more stabilized than the meta intermediate. For both the ortho and para reactions, but not for the meta reaction, a resonance form places the positive charge directly on the methyl-substituted carbon, where it is in a tertiary position and can be stabilized by the electron-donating inductive effect of the methyl group. The ortho and para intermediates are thus lower in energy than the meta intermediate and form faster.

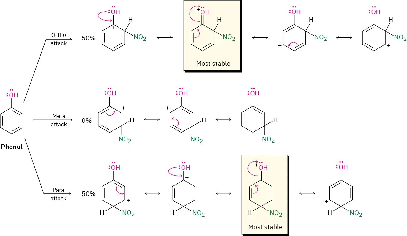
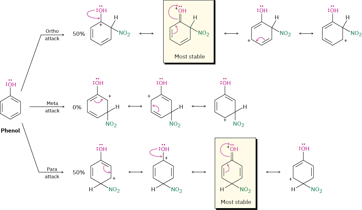
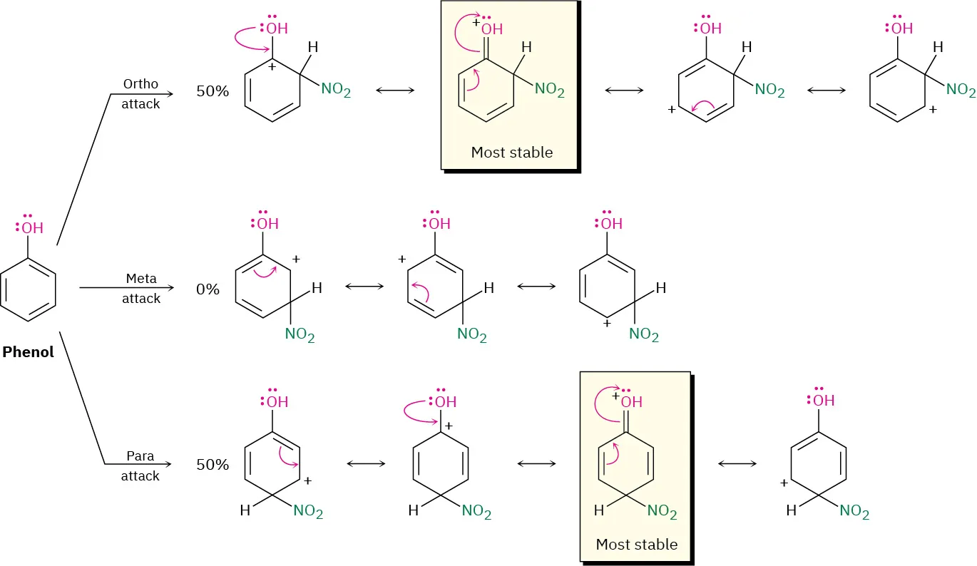
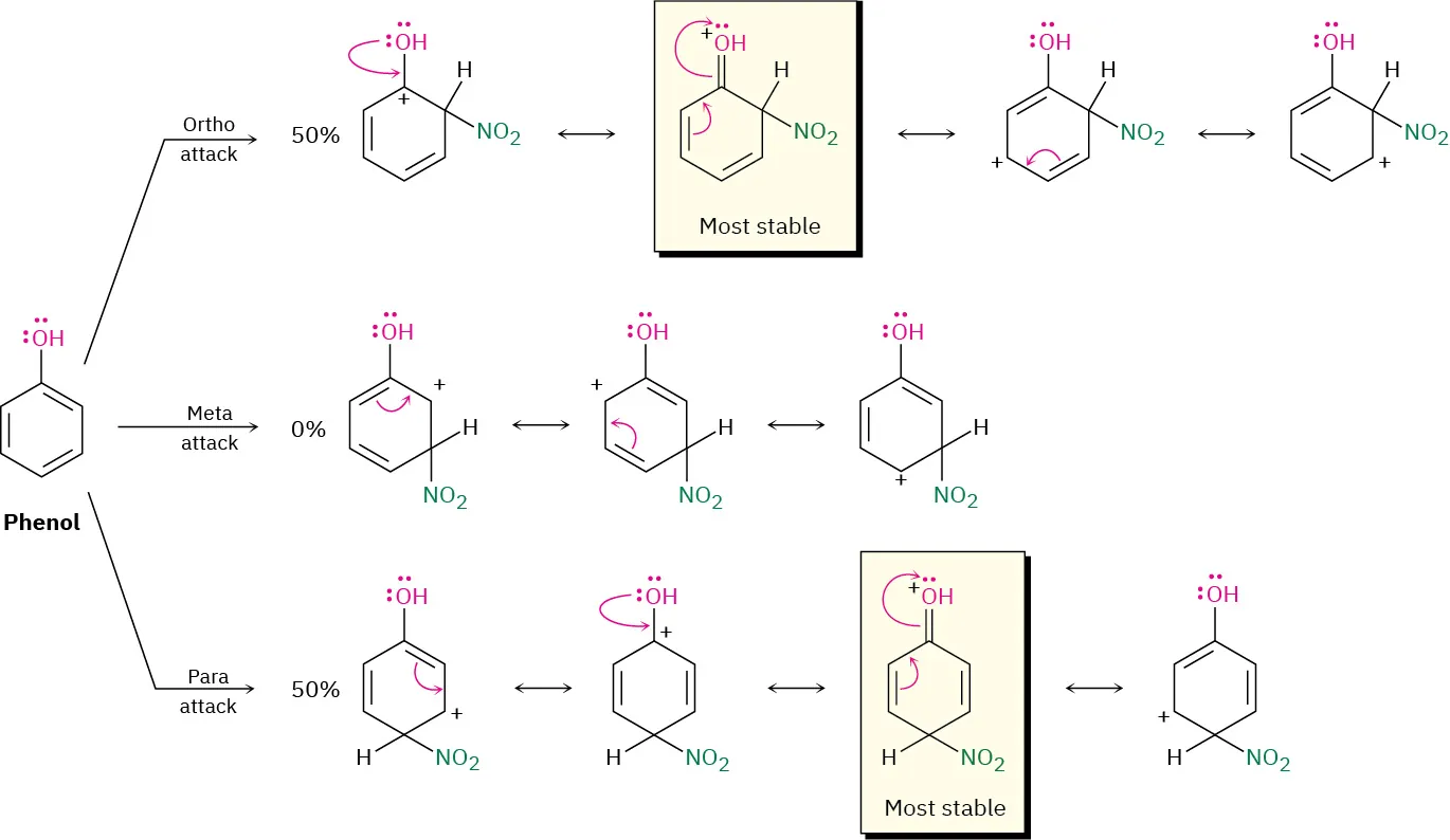
Ortho- and Para-Directing Activators: OH and NH2

Hydroxyl, alkoxyl, and amino groups are also ortho–para activators, but for a different reason than for alkyl groups. As described earlier in this section, hydroxyl, alkoxyl, and amino groups have a strong, electron-donating resonance effect that outweighs a weaker electron-withdrawing inductive effect. When phenol is nitrated, for instance, reaction can occur either ortho, meta, or para to the –OH group, giving the carbocation intermediates shown in Figure 16.15. The ortho and para intermediates are more stable than the meta intermediate because they have more resonance forms, including one particularly favorable form that allows the positive charge to be stabilized by electron donation from the substituent oxygen atom. The intermediate from the meta reaction has no such stabilization.

Phenol undergoes nitration to form 50 percent ortho, no meta, and 50 percent para substituted intermediates. The resonance structures of intermediates are depicted.
Figure 16.15 Carbocation intermediates in the nitration of phenol. The ortho and para intermediates are more stable than the meta intermediate because they have more resonance forms, including one particularly favorable form that involves electron donation from the oxygen atom.
Problem 16-12

Acetanilide is less reactive than aniline toward electrophilic substitution. Explain.

Acetanilide has benzene ring bonded to an N H group. The nitrogen atom is bonded to the carbonyl group which, in turn, is bonded to a methyl group.

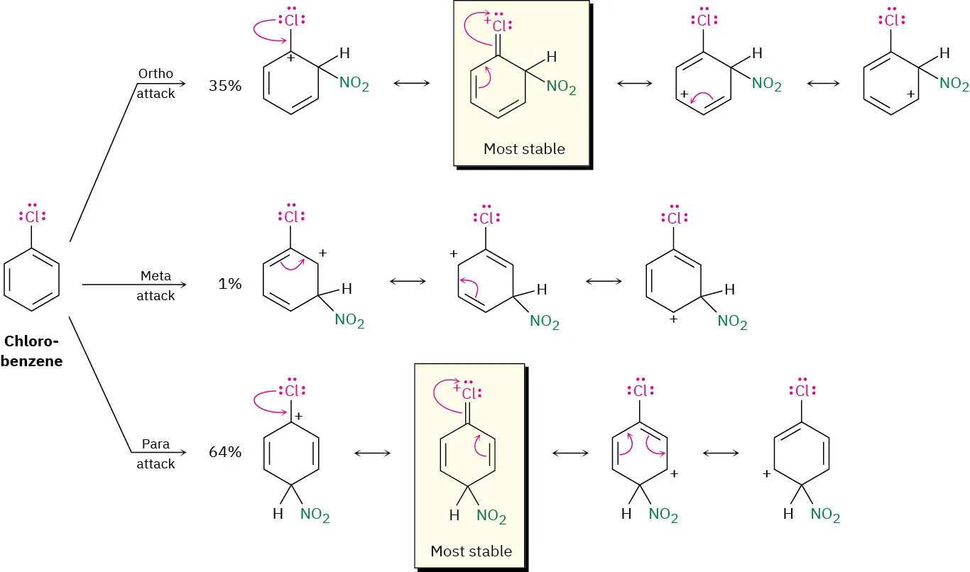
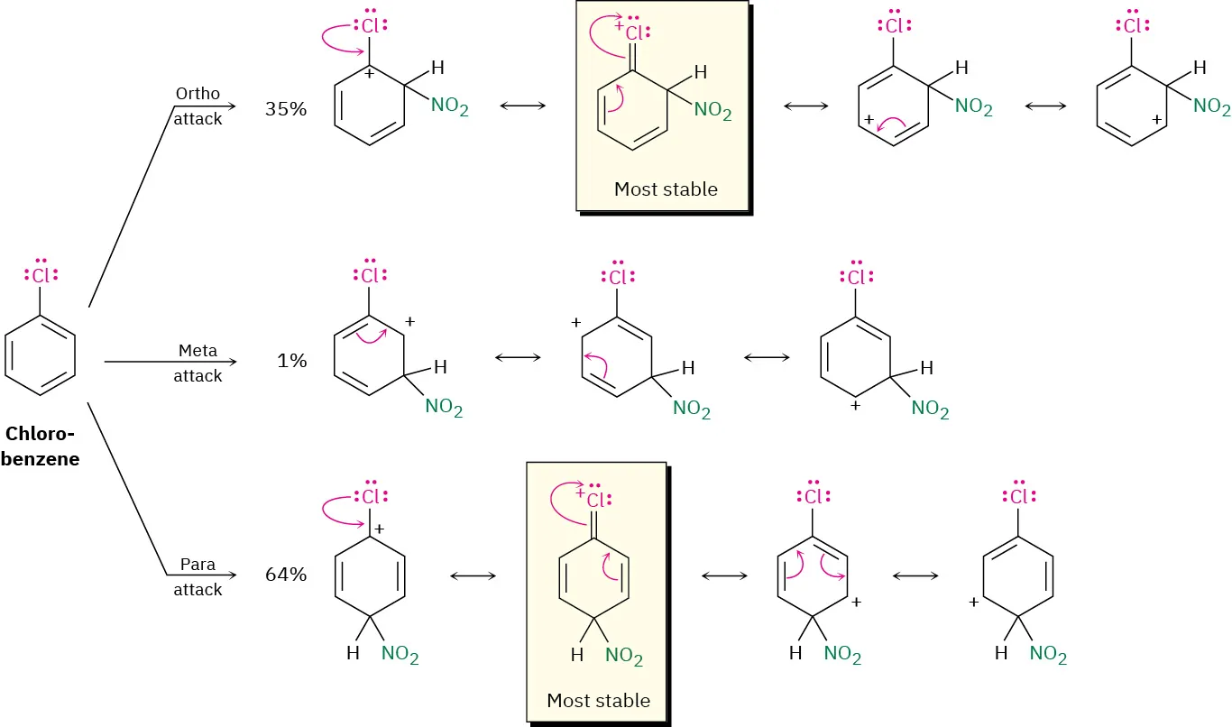
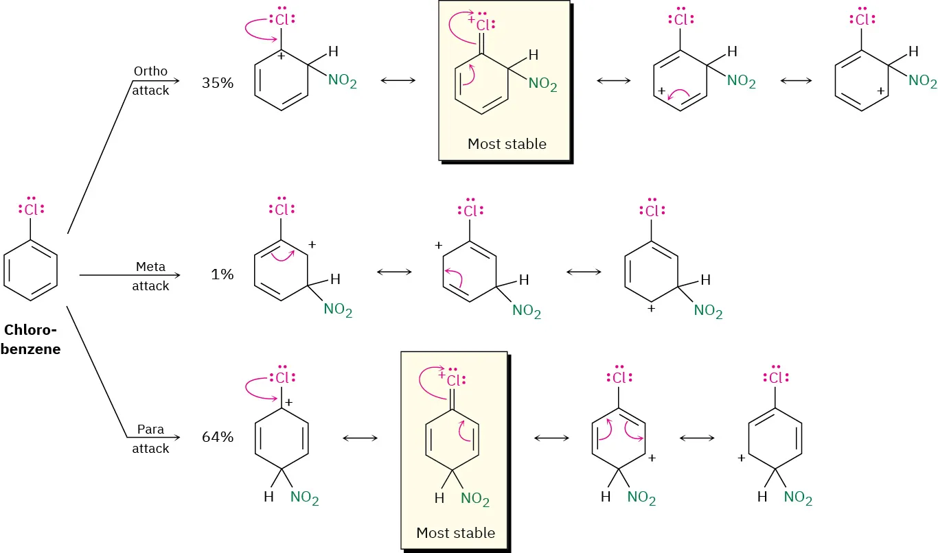
Ortho- and Para-Directing Deactivators: Halogens

Halogens are deactivating because their stronger electron-withdrawing inductive effect outweighs their weaker electron-donating resonance effect. Although weak, that electron-donating resonance effect is nevertheless felt only at the ortho and para positions and not at the meta position (Figure 16.16). Thus, a halogen substituent can stabilize the positive charge of the carbocation intermediates from ortho and para reaction in the same way that hydroxyl and amino substituents can. The meta intermediate, however, has no such stabilization and is therefore formed more slowly.

Chlorobenzene undergoes nitration to form 35 percent ortho, 1 percent meta, and 64 percent para substituted intermediates. The resonance structures of intermediates are depicted.
Figure 16.16 Carbocation intermediates in the nitration of chlorobenzene. The ortho and para intermediates are more stable than the meta intermediate because of electron donation of the halogen lone-pair electrons.

Note again that halogens, hydroxyl, alkoxyl, and amino groups all withdraw electrons inductively but donate electrons by resonance. Halogens have a stronger electron-withdrawing inductive effect but a weaker electron-donating resonance effect and are thus deactivators. Hydroxyl, alkoxyl, and amino groups have a weaker electron-withdrawing inductive effect but a stronger electron-donating resonance effect and are thus activators. All are ortho and para directors, however, because of the lone pair of electrons on the atom bonded to the aromatic ring.

Meta-Directing Deactivators

The influence of meta-directing substituents can be explained using the same kinds of arguments used for ortho and para directors. Look at the nitration of benzaldehyde, for instance (Figure 16.17). Of the three possible carbocation intermediates, the meta intermediate has three favorable resonance forms, whereas the ortho and para intermediates have only two. In both ortho and para intermediates, the third resonance form is unfavorable because it places the positive charge directly on the carbon that bears the aldehyde group, where it is disfavored by a repulsive interaction with the positively polarized carbon atom of the C=O group. Hence, the meta intermediate is more favored and is formed faster than the ortho and para intermediates.

Benzaldehyde undergoes nitration to form 1 percent ortho, 72 percent meta, and 9 percent para substituted intermediates. The resonance structures of intermediates are depicted.
Figure 16.17 Carbocation intermediates in the nitration of benzaldehyde. The ortho and para intermediates are less stable than the meta intermediate. The meta intermediate is more favorable than ortho and para intermediates because it has three favorable resonance forms rather than two.

In general, any substituent that has a positively polarized atom (δ+) directly attached to the ring will make one of the resonance forms of the ortho and para intermediates unfavorable and will thus act as a meta director.

Problem 16-13
Draw resonance structures for the intermediates from the reaction of an electrophile at the ortho, meta, and para positions of nitrobenzene. Which intermediates are most stable?

A Summary of Substituent Effects in Electrophilic Aromatic Substitution

A summary of the activating and directing effects of substituents in electrophilic aromatic substitution is shown in Table 16.2.

Table 16.2 Substituent Effects in Electrophilic Aromatic Substitution
Substituent Reactivity Orienting effect Inductive effect Resonance effect
–CH3 Activating Ortho, para Weak donating
–OH, –NH2 Activating Ortho, para Weak withdrawing Strong donating
–F, –Cl Deactivating Ortho, para Strong withdrawing Weak donating
–Br, –I
–NO2, –CN, Deactivating Meta Strong withdrawing Strong withdrawing
–CHO, –CO2R
–COR, –CO2H
Citation/Attribution

This book may not be used in the training of large language models or otherwise be ingested into large language models or generative AI offerings without OpenStax's permission.

Want to cite, share, or modify this book? This book uses the Creative Commons Attribution-NonCommercial-ShareAlike License and you must attribute OpenStax.

Attribution information
  • If you are redistributing all or part of this book in a print format, then you must include on every physical page the following attribution:

    Access for free at https://openstax.org/books/organic-chemistry/pages/1-why-this-chapter

  • If you are redistributing all or part of this book in a digital format, then you must include on every digital page view the following attribution:

    Access for free at https://openstax.org/books/organic-chemistry/pages/1-why-this-chapter

Citation information

© Jul 9, 2025 OpenStax. Textbook content produced by OpenStax is licensed under a Creative Commons Attribution-NonCommercial-ShareAlike License . The OpenStax name, OpenStax logo, OpenStax book covers, OpenStax CNX name, and OpenStax CNX logo are not subject to the Creative Commons license and may not be reproduced without the prior and express written consent of Rice University.