Skip to ContentGo to accessibility pageKeyboard shortcuts menu
OpenStax Logo
Search for key terms or text.

Problem 25-1
(a)
Aldotetrose
(b)
Ketopentose
(c)
Ketohexose
(d)
Aldopentose
Problem 25-3
A, B, and C are the same.
Problem 25-6
(a)
L-Erythrose; 2S,3S
(b)
D-Xylose; 2R,3S,4R
(c)
D-Xylulose; 3S,4R
Problem 25-9
16 D and 16 L aldoheptoses
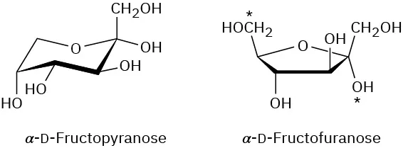
Problem 25-15
α-D-Allopyranose
Problem 25-17
D-Galactitol has a plane of symmetry and is a meso compound, whereas D-glucitol is chiral.
Problem 25-18
The −CHO end of L-gulose corresponds to the −CH2OH end of D-glucose after reduction.
Problem 25-19
D-Allaric acid has a symmetry plane and is a meso compound, but D-glucaric acid is chiral.
Problem 25-20
D-Allose and D-galactose yield meso aldaric acids; the other six D-hexoses yield optically active aldaric acids.
Problem 25-21
D-Allose + D-altrose
Problem 25-23
D-Xylose and D-lyxose
Problem 25-25
(a)
The hemiacetal ring is reduced.
(b)
The hemiacetal ring is oxidized.
(c)
All hydroxyl groups are acetylated.
Citation/Attribution

This book may not be used in the training of large language models or otherwise be ingested into large language models or generative AI offerings without OpenStax's permission.

Want to cite, share, or modify this book? This book uses the Creative Commons Attribution-NonCommercial-ShareAlike License and you must attribute OpenStax.

Attribution information
  • If you are redistributing all or part of this book in a print format, then you must include on every physical page the following attribution:

    Access for free at https://openstax.org/books/organic-chemistry/pages/1-why-this-chapter

  • If you are redistributing all or part of this book in a digital format, then you must include on every digital page view the following attribution:

    Access for free at https://openstax.org/books/organic-chemistry/pages/1-why-this-chapter

Citation information

© Jul 9, 2025 OpenStax. Textbook content produced by OpenStax is licensed under a Creative Commons Attribution-NonCommercial-ShareAlike License . The OpenStax name, OpenStax logo, OpenStax book covers, OpenStax CNX name, and OpenStax CNX logo are not subject to the Creative Commons license and may not be reproduced without the prior and express written consent of Rice University.