Skip to ContentGo to accessibility pageKeyboard shortcuts menu
OpenStax Logo
Search for key terms or text.

Problem 26-1
Aromatic: Phe, Tyr, Trp, His; sulfur-containing: Cys, Met; alcohols: Ser, Thr; hydrocarbon side chains: Ala, Ile, Leu, Val, Phe
Problem 26-2
The sulfur atom in the −CH2SH group of cysteine makes the side chain higher in ranking than the −CO2H group.
Problem 26-4
Net positive at pH = 5.3; net negative at pH = 7.3
Problem 26-5
(a)
Start with 3-phenylpropanoic acid: 1. Br2, PBr3; 2. NH3
(b)
Start with 3-methylbutanoic acid: 1. Br2, PBr3; 2. NH3
Problem 26-8
Val-Tyr-Gly (VYG), Tyr-Gly-Val (YGV), Gly-Val-Tyr (GVY), Val-Gly-Tyr (VGY), Tyr-Val-Gly (YVG), Gly-Tyr-Val (GYV)
Problem 26-12

Trypsin: Asp-Arg + Val-Tyr-Ile-His-Pro-Phe

Chymotrypsin: Asp-Arg-Val-Tyr + Ile-His-Pro-Phe

Problem 26-13
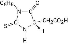
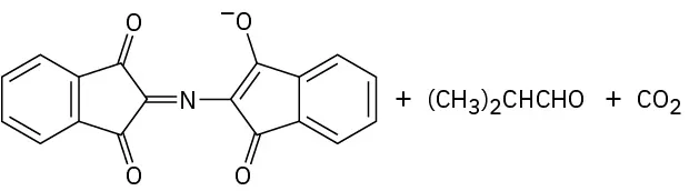
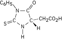
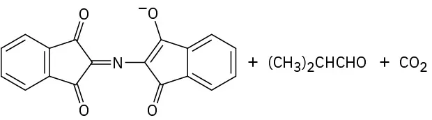
Methionine
Problem 26-15
(a)
Arg-Pro-Leu-Gly-Ile-Val
(b)
Val-Met-Trp-Asp-Val-Leu (VMWNVL)
Problem 26-16
This is a typical nucleophilic acyl substitution reaction, with the amine of the amino acid as the nucleophile and tert-butyl carbonate as the leaving group. The tert-butyl carbonate then loses CO2 and gives tert-butoxide, which is protonated.
Problem 26-17

(1) Protect the amino group of leucine.

(2) Protect the carboxylic acid group of alanine.

(3) Couple the protected amino acids with DCC.

(4) Remove the leucine protecting group.

(5) Remove the alanine protecting group.

Problem 26-18
(a)
Lyase
(b)
Hydrolase
(c)
Oxidoreductase
Citation/Attribution

This book may not be used in the training of large language models or otherwise be ingested into large language models or generative AI offerings without OpenStax's permission.

Want to cite, share, or modify this book? This book uses the Creative Commons Attribution-NonCommercial-ShareAlike License and you must attribute OpenStax.

Attribution information
  • If you are redistributing all or part of this book in a print format, then you must include on every physical page the following attribution:

    Access for free at https://openstax.org/books/organic-chemistry/pages/1-why-this-chapter

  • If you are redistributing all or part of this book in a digital format, then you must include on every digital page view the following attribution:

    Access for free at https://openstax.org/books/organic-chemistry/pages/1-why-this-chapter

Citation information

© Jul 9, 2025 OpenStax. Textbook content produced by OpenStax is licensed under a Creative Commons Attribution-NonCommercial-ShareAlike License . The OpenStax name, OpenStax logo, OpenStax book covers, OpenStax CNX name, and OpenStax CNX logo are not subject to the Creative Commons license and may not be reproduced without the prior and express written consent of Rice University.