Skip to ContentGo to accessibility pageKeyboard shortcuts menu
OpenStax Logo
Organic Chemistry

26.1 Structures of Amino Acids

Organic Chemistry26.1 Structures of Amino Acids
Search for key terms or text.

26.1 • Structures of Amino Acids

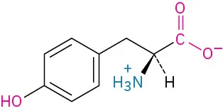
We saw in Section 20.3 and Section 24.5 that a carboxyl group is deprotonated and exists as the carboxylate anion at a physiological pH of 7.3, while an amino group is protonated and exists as the ammonium cation. Thus, amino acids exist in aqueous solution primarily in the form of a dipolar ion, or zwitterion (from the German zwitter, meaning “hybrid”).

A protonated alanine reacts with water reversibly to form a zwitterion and hydronium ion. The zwitterion further reacts with water reversibly to form an anion and hydronium ion.

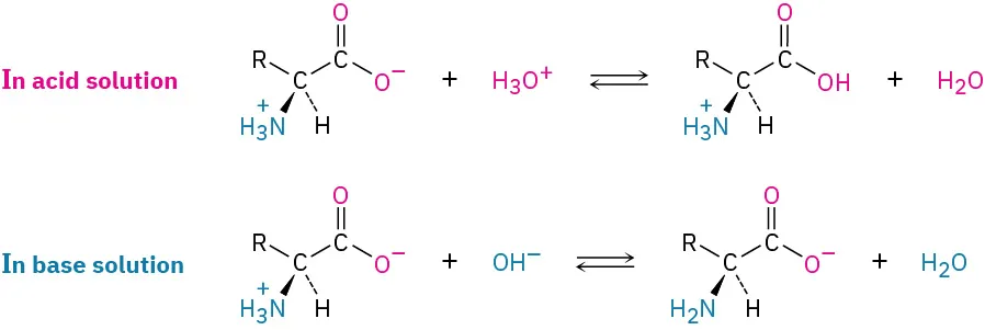
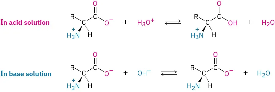
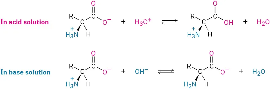
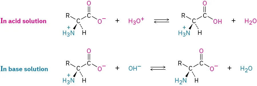
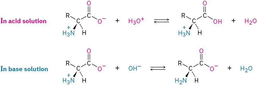
Amino acid zwitterions are internal salts and therefore have many of the physical properties associated with salts. They have large dipole moments, are relatively soluble in water but insoluble in hydrocarbons, and are crystalline with relatively high melting points. In addition, amino acids are amphiprotic; they can react either as acids or as bases, depending on the circumstances. In aqueous acid solution, an amino acid zwitterion is a base that accepts a proton onto its –CO2 group to yield a cation. In aqueous base solution, the zwitterion is an acid that loses a proton from its –NH3+ group to form an anion.

In acid solution, zwitter ions react with hydronium ion to form cation. In basic solution, zwitter ion reacts with a hydroxide ion to form an anion.

The structures, abbreviations (both three- and one-letter), and pKa values of the 20 amino acids commonly found in proteins are shown in Table 26.1. All are α-amino acids, meaning that the amino group in each is a substituent on the α carbon—the one next to the carbonyl group. Nineteen of the twenty amino acids are primary amines, RNH2, and differ only in the nature of their side chain—the substituent attached to the α carbon. Proline is a secondary amine whose nitrogen and α carbon atoms are part of a five-membered pyrrolidine ring.

Table 26.1 The 20 Common Amino Acids in Proteins
Name Abbreviations MW Structure pKa α-CO2H pKa α-NH3+ pKa side chain pI
Neutral Amino Acids
Alanine Ala A  89 The ball-and-stick model in electrostatic potential map and structures of uncharged and zwitterionic forms of L-alanine. The uncharged form undergoes a reversible reaction to form a zwitterion. 2.34  9.69  6.01
Asparagine Asn N 132 The structure of L-asparagine. It has a carbon linked to methylene connected to amide, carboxylate ion, dashed hydrogen, and wedged ammonia ion. 2.02  8.80  5.41
Cysteine Cys C 121 The structure of L-cysteine. It has a carbon linked to methylene connected to thiol, carboxylate ion, dashed hydrogen, and wedged ammonia ion. 1.96 10.28 8.18  5.07
Glutamine Gln Q 146 The structure of L-glutamine. It has a carbon linked to two methylene connected to amide, carboxylate ion, dashed hydrogen, and wedged ammonia ion. 2.17  9.13  5.65
Glycine Gly G  75 The structure of glycine. It has a carbon linked to hydrogen, carboxylate ion, dashed hydrogen, and wedged ammonia ion. 2.34  9.60  5.97
Isoleucine Ile I 131 The structure of L-isoleucine. Carbon is linked to C-H bonded to dashed methyl, wedged hydrogen and methylene is linked to methyl group, carboxylate ion, dashed hydrogen, and wedged ammonia ion. 2.36  9.60  6.02
Leucine Leu L 131 The structure of L-leucine. It has a carbon linked to methylene linked to C-H bonded to two methyl groups, carboxylate ion, dashed hydrogen, and wedged ammonia ion. 2.36  9.60  5.98
Methionine Met M 149 The structure of L-methionine. It has a carbon linked to two methylene groups linked to sulfur and methyl group, carboxylate ion, dashed hydrogen, and wedged ammonia ion. 2.28  9.21  5.74
Phenylalanine Phe F 165 The structure of L-phenylalanine. It has a carbon linked to methylene linked to a benzene ring, carboxylate ion, dashed hydrogen, and wedged ammonia ion. 1.83  9.13  5.48
Proline Pro P 115 The structure of L-proline. It has a carbon linked to cyclopentane with wedged bond linked to N H 2 positive, carboxylate ion, dashed hydrogen, and wedged ammonia ion. 1.99 10.60  6.30
Serine Ser S 105 The structure of L-serine. It has a carbon linked to methylene connected to an alcohol, carboxylate ion, dashed hydrogen, and wedged ammonia ion. 2.21  9.15  5.68
Threonine Thr T 119 The structure of L-threonine. It has a carbon linked to C-H bonded to dashed hydrogen, wedged alcohol and methyl group, carboxylate ion, dashed hydrogen, and wedged ammonia ion. 2.09  9.10  5.60
Tryptophan Trp W 204 The structure of L-tryptophan. It has a carbon linked to methylene linked to cyclopentene with N-H fused to a benzene ring, carboxylate ion, dashed hydrogen, and wedged ammonia ion. 2.83  9.39  5.89
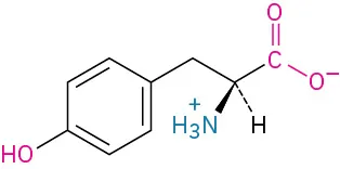
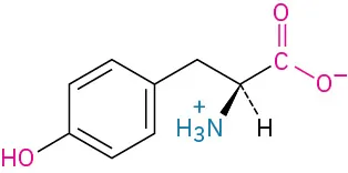
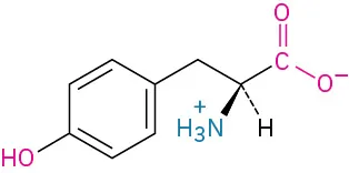
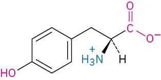
Tyrosine Tyr Y 181 The structure of L-tyrosine. It has a carbon linked to methylene linked to phenol, carboxylate ion, dashed hydrogen, and wedged ammonia ion. 2.20  9.11 10.07  5.66
Valine Val V 117 The structure of L-valine. It has a carbon linked to C-H linked to two methyl groups, carboxylate ion, dashed hydrogen, and wedged ammonia ion. 2.32  9.62  5.96
Acidic Amino Acids
Aspartic acid Asp D 133 The structure of L-aspartic acid. It has a carbon linked to methylene linked to carboxylate ion, carboxylate ion, dashed hydrogen, and wedged ammonia ion. 1.88  9.60  3.65  2.77
Glutamic acid Glu E 147 The structure of L-glutamic acid. It has a carbon linked to two methylene groups linked to carboxylate ion, carboxylate ion, dashed hydrogen, and wedged ammonia ion. 2.19  9.67  4.25  3.22
Basic Amino Acids
Arginine Arg R 174 The structure of L-arginine comprises carbon linked to three methylene to N-H, carbon linked to an amine, and an alkene bonded to amine cation, carboxylate, dashed hydrogen, and wedged ammonia. 2.17  9.04 12.48 10.76
Histidine His H 155 The structure of L-histidine. It has a carbon linked to methylene group linked to cyclopentadiene with nitrogen and N-H, carboxylate ion, dashed hydrogen, and wedged ammonia ion. 1.82  9.17  6.00  7.59
Lysine Lys K 146 The structure of lysine. It has a carbon linked to four methylene groups linked to ammonia cation, carboxylate ion, dashed hydrogen, and wedged ammonia ion. 2.18  8.95 10.53  9.74
The structure of a generic primary alpha-amino acid, with an arrow pointing towards R, denoting the side chain  and L-proline, a secondary alpha-amino acid.

In addition to the 20 amino acids commonly found in proteins, 2 others—selenocysteine and pyrrolysine—are found in some organisms, and more than 700 nonprotein amino acids are also found in nature. γ-Aminobutyric acid (GABA), for instance, is found in the brain and acts as a neurotransmitter; homocysteine is found in blood and is linked to coronary heart disease; and thyroxine is found in the thyroid gland, where it acts as a hormone.

The structure of five amino acids. Selenocysteine and pyrrolysine are at the top whereas gamma-aminobutyric acid, homocysteine, and thyroxine are at the bottom.

Except for glycine, H2NCH2CO2H, the α carbons of amino acids are chirality centers. Two enantiomers of each are therefore possible, but nature uses only one to build proteins. In Fischer projections, naturally occurring amino acids are represented by placing the –CO2 group at the top and pointing the side chain downwards, as if drawing a carbohydrate (Section 25.2) and then placing the –NH3+ group on the left. Because of their stereochemical similarity to L sugars (Section 25.3), the naturally occurring α-amino acids are often referred to as L amino acids. The nonnaturally occurring enantiomers are called D amino acids.

The structure of four amino acids from left to right, L-Serine or (S)-Serine, L-Cysteine or (R)-Cysteine, L-Alanine or (S)-Alanine, and D-Alanine or (R)-Alanine. The last structure is enclosed inside parentheses.

The 20 common amino acids can be further classified as neutral, acidic, or basic, depending on the structure of their side chains. Fifteen of the twenty have neutral side chains, two (aspartic acid and glutamic acid) have an extra carboxylic acid function in their side chains, and three (lysine, arginine, and histidine) have basic amino groups in their side chains. Note that both cysteine (a thiol) and tyrosine (a phenol), although usually classified as neutral amino acids, nevertheless have weakly acidic side chains that can be deprotonated in a sufficiently basic solution.

At the physiological pH of 7.3, the side-chain carboxyl groups of aspartic acid and glutamic acid are deprotonated and the basic side-chain nitrogens of lysine and arginine are protonated. Histidine, however, which contains a heterocyclic imidazole ring in its side chain, is not quite basic enough to be protonated at pH 7.3. Note that only the pyridine-like, doubly bonded nitrogen in histidine is basic. The pyrrole-like singly bonded nitrogen is nonbasic because its lone pair of electrons is part of the six-π-electron aromatic imidazole ring (Section 24.9).

Ball-and-stick model with the electrostatic potential map and structure of histidine. Basic pyridine-like nitrogen, basic pyrrole-like nitrogen, and imidazole ring are labeled. Basic and nonbasic nitrogen are labeled in model.

Humans are able to biosynthesize only 11 of the 20 protein amino acids, called nonessential amino acids. The other 9, called essential amino acids, are biosynthesized only in plants and microorganisms and must be obtained in our diet. The division between essential and nonessential amino acids is not clear-cut, however. Tyrosine, for instance, is sometimes considered nonessential because humans can produce it from phenylalanine, but phenylalanine itself is essential and must be obtained in the diet. Arginine can be synthesized by humans, but much of the arginine we need also comes from our diet.

Problem 26-1
How many of the α-amino acids shown in Table 26.1 contain aromatic rings? How many contain sulfur? How many contain alcohol groups? How many contain hydrocarbon side chains?
Problem 26-2
Of the 19 L amino acids, 18 have the S configuration at the α carbon. Cysteine is the only L amino acid that has an R configuration. Explain.
Problem 26-3

The amino acid threonine, (2S,3R)-2-amino-3-hydroxybutanoic acid, has two chirality centers.

(a) Draw threonine, using normal, wedged, and dashed lines to show dimensionality.

(b) Draw a diastereomer of threonine, and label its chirality centers as R or S.

Citation/Attribution

This book may not be used in the training of large language models or otherwise be ingested into large language models or generative AI offerings without OpenStax's permission.

Want to cite, share, or modify this book? This book uses the Creative Commons Attribution-NonCommercial-ShareAlike License and you must attribute OpenStax.

Attribution information
  • If you are redistributing all or part of this book in a print format, then you must include on every physical page the following attribution:

    Access for free at https://openstax.org/books/organic-chemistry/pages/1-why-this-chapter

  • If you are redistributing all or part of this book in a digital format, then you must include on every digital page view the following attribution:

    Access for free at https://openstax.org/books/organic-chemistry/pages/1-why-this-chapter

Citation information

© Jul 9, 2025 OpenStax. Textbook content produced by OpenStax is licensed under a Creative Commons Attribution-NonCommercial-ShareAlike License . The OpenStax name, OpenStax logo, OpenStax book covers, OpenStax CNX name, and OpenStax CNX logo are not subject to the Creative Commons license and may not be reproduced without the prior and express written consent of Rice University.