Skip to ContentGo to accessibility pageKeyboard shortcuts menu
OpenStax Logo
Organic Chemistry

Why This Chapter?

Organic ChemistryWhy This Chapter?
Search for key terms or text.

A close-up photograph of the face and upper arm of a marble statue depicting a man with a beard.
Figure 26.1 The building blocks of life that we call proteins are aptly named after Proteus, the early Greek sea-god whose name means “first” or “primordial.” (credit: modification of work by Coyau/Wikimedia Commons, CC BY-SA 3.0)

26 • Why This Chapter?

Continuing our look at the main classes of biomolecules, we’ll focus in this chapter on amino acids, the fundamental building blocks from which up to 150,000 or so different proteins in our bodies are made. We’ll then see how amino acids are incorporated into proteins and examine the structures of those proteins. Any understanding of biological chemistry would be impossible without this knowledge.

Proteins occur in every living organism, are of many different types, and have many different biological functions. The keratin of skin and fingernails, the fibroin of silk and spider webs, and the estimated 50,000 or so enzymes that catalyze the biological reactions in our bodies are all proteins. Regardless of their function, all proteins have a fundamentally similar structure and are made up of many amino acids linked together in a long chain.

Amino acids, as their name implies, are difunctional. They contain both a basic amino group and an acidic carboxyl group.

The structure and ball-and-stick model of L-alanine. It is a carbon linked to an amine, carboxylic acid, dashed hydrogen and wedged methyl group.

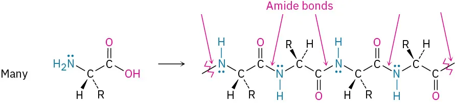
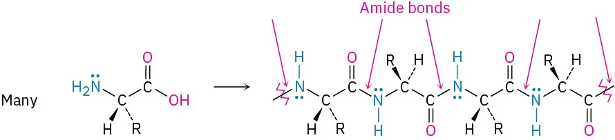
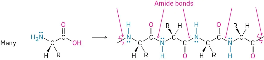
Their value as building blocks to make proteins stems from the fact that amino acids can join together into long chains by forming amide bonds between the –NH2 of one amino acid and the –CO2H of another. For classification purposes, chains with fewer than 50 amino acids are often called peptides, while the term protein is generally used for larger chains.

Many amino acids link to generate the structure of protein. Arrows are used to represent the amide bonds in the structure. Wavy bonds denote bond extension.
Citation/Attribution

This book may not be used in the training of large language models or otherwise be ingested into large language models or generative AI offerings without OpenStax's permission.

Want to cite, share, or modify this book? This book uses the Creative Commons Attribution-NonCommercial-ShareAlike License and you must attribute OpenStax.

Attribution information
  • If you are redistributing all or part of this book in a print format, then you must include on every physical page the following attribution:

    Access for free at https://openstax.org/books/organic-chemistry/pages/1-why-this-chapter

  • If you are redistributing all or part of this book in a digital format, then you must include on every digital page view the following attribution:

    Access for free at https://openstax.org/books/organic-chemistry/pages/1-why-this-chapter

Citation information

© Jul 9, 2025 OpenStax. Textbook content produced by OpenStax is licensed under a Creative Commons Attribution-NonCommercial-ShareAlike License . The OpenStax name, OpenStax logo, OpenStax book covers, OpenStax CNX name, and OpenStax CNX logo are not subject to the Creative Commons license and may not be reproduced without the prior and express written consent of Rice University.