Skip to ContentGo to accessibility pageKeyboard shortcuts menu
OpenStax Logo
Organic Chemistry

26.8 Automated Peptide Synthesis: The Merrifield Solid-Phase Method

Organic Chemistry26.8 Automated Peptide Synthesis: The Merrifield Solid-Phase Method
Search for key terms or text.

26.8 • Automated Peptide Synthesis: The Merrifield Solid-Phase Method

As you might imagine, the synthesis of a large peptide chain by sequential addition of one amino acid at a time is a long and arduous process. An immense simplification is possible, however, using methods introduced by R. Bruce Merrifield, who received the 1984 Nobel Prize in Chemistry. In the Merrifield solid-phase method, peptide synthesis is carried out with the growing amino acid chain covalently bonded to small beads of a polymer resin, rather than in solution.

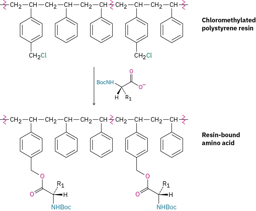
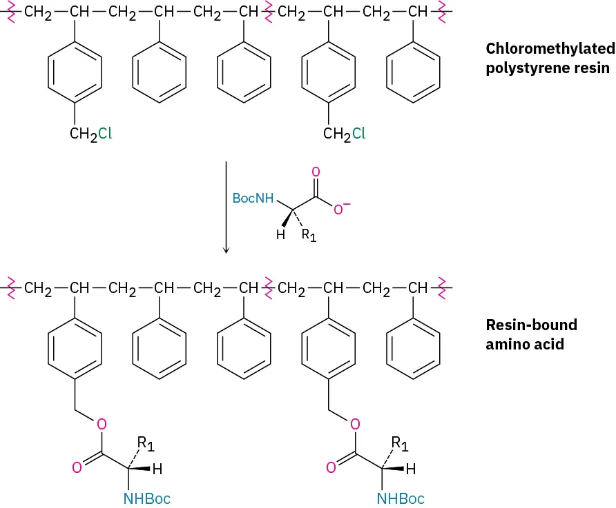
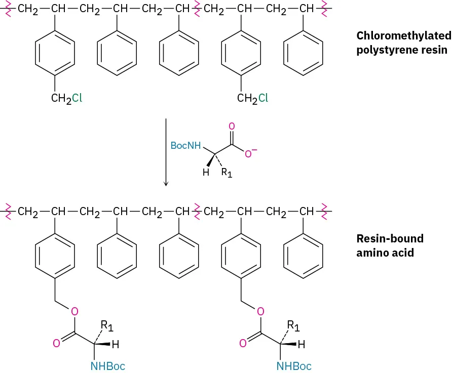
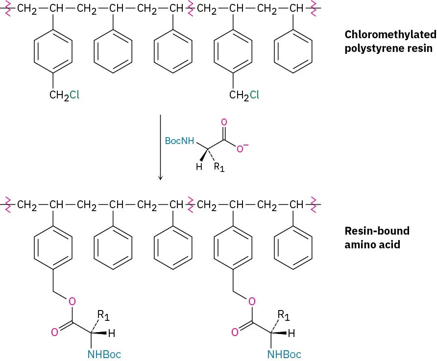
In the original procedure, polystyrene resin was used, prepared so that one of every hundred or so benzene rings contained a chloromethyl (−CH2Cl) group. A Boc-protected C-terminal amino acid was then attached to the resin through an ester bond formed by SN2 reaction.

Chloromethylated polystyrene resin reacts with a B o c-protected L- amino acid to produce a resin-bound protected amino acid.

With the first amino acid bonded to the resin, a repeating series of four steps is then carried out to build a peptide.

Peptide synthesis  via an amino acid-bound resin. B o c protected amino acids are sequentially coupled to the resin polymer, which is later cleaved from the resin by HF.

The steps in the solid-phase procedure have been improved substantially over the years, but the fundamental idea remains the same. A common procedure is use of the Wang resin, developed by Su-Sun Wang, with the Fmoc protecting group. Less common is using the PAM (phenylacetamidomethyl) resin with Boc as the N-protecting group.

The structure of a Wang and P A M resin linked F m o c protected amino acid.

Robotic peptide synthesizers are now used to automatically repeat the coupling, washing, and deprotection steps with different amino acids. Each step occurs in high yield, and mechanical losses are minimized because the peptide intermediates are never removed from the insoluble polymer until the final step. Peptides with 20 amino acids can be routinely prepared in a few hours.

Citation/Attribution

This book may not be used in the training of large language models or otherwise be ingested into large language models or generative AI offerings without OpenStax's permission.

Want to cite, share, or modify this book? This book uses the Creative Commons Attribution-NonCommercial-ShareAlike License and you must attribute OpenStax.

Attribution information
  • If you are redistributing all or part of this book in a print format, then you must include on every physical page the following attribution:

    Access for free at https://openstax.org/books/organic-chemistry/pages/1-why-this-chapter

  • If you are redistributing all or part of this book in a digital format, then you must include on every digital page view the following attribution:

    Access for free at https://openstax.org/books/organic-chemistry/pages/1-why-this-chapter

Citation information

© Jul 9, 2025 OpenStax. Textbook content produced by OpenStax is licensed under a Creative Commons Attribution-NonCommercial-ShareAlike License . The OpenStax name, OpenStax logo, OpenStax book covers, OpenStax CNX name, and OpenStax CNX logo are not subject to the Creative Commons license and may not be reproduced without the prior and express written consent of Rice University.