Skip to ContentGo to accessibility pageKeyboard shortcuts menu
OpenStax Logo
Organic Chemistry

Additional Problems

Organic ChemistryAdditional Problems
Search for key terms or text.

25 • Additional Problems

25 • Additional Problems

Visualizing Chemistry

Problem 25-26
Identify the following aldoses, and tell whether each is a D or L sugar:
(a)
The ball-and-stick model of a four-carbon aldose. The gray, black, and red spheres represent hydrogen, carbon, and oxygen atoms, respectively.
(b)
The ball-and-stick model of a pyranose. The gray, black, and red spheres represent hydrogen, carbon, and oxygen atoms, respectively.
Problem 25-27
Draw Fischer projections of the following molecules, placing the carbonyl group at the top in the usual way. Identify each as a D or L sugar.
(a)
The ball-and-stick model of a three carbon aldose. The gray, black, and red spheres represent hydrogen, carbon, and oxygen atoms, respectively.
(b)
The ball-and-stick model of a four carbon aldose. The gray, black, and red spheres represent hydrogen, carbon, and oxygen atoms, respectively.
Problem 25-28

The following structure is that of an L aldohexose in its pyranose form. Identify it, and tell whether it is an α or β anomer.

The ball-and-stick model of a beta pyranose with three equatorial O H groups. The gray, black, and red spheres represent hydrogen, carbon, and oxygen atoms, respectively.
Problem 25-29

The following model is that of an aldohexose:

The ball-and-stick model of an aldohexose. The gray, black, and red spheres represent hydrogen, carbon, and oxygen atoms, respectively.
(a)
Draw Fischer projections of the sugar, its enantiomer, and a diastereomer.
(b)
Is this a D sugar or an L sugar? Explain.
(c)
Draw the β anomer of the sugar in its furanose form.

Mechanism Problems

Problem 25-30

Galactose, one of the eight essential monosaccharides (Section 25.7), is biosynthesized from UDP-glucose by galactose 4-epimerase, where UDP = uridylyl diphosphate (a ribonucleotide diphosphate; Section 28.1). The enzyme requires NAD+ for activity (Section 17.7), but it is not a stoichiometric reactant, and NADH is not a final reaction product. Propose a mechanism.

U D P galactose is converted by a N A D cation to U D P-galactose.
Problem 25-31

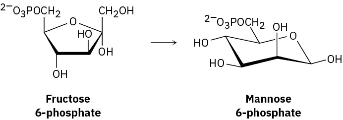
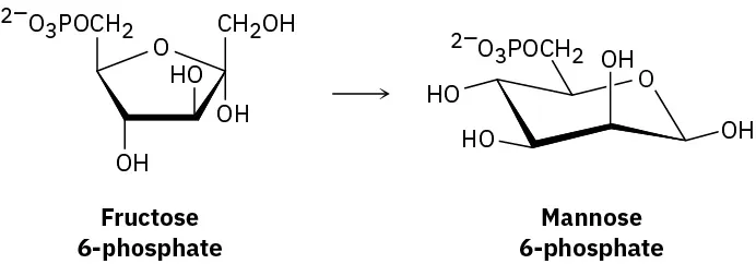
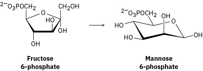
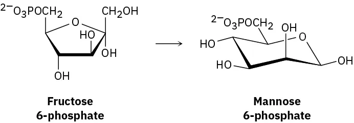
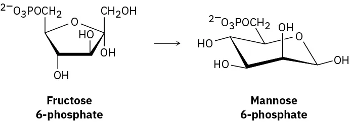
Mannose, one of the eight essential monosaccharides (Section 25.7), is biosynthesized as its 6-phosphate derivative from fructose 6-phosphate. No enzyme cofactor is required. Propose a mechanism.

Mannose, one of the essential monosaccharides, is biosynthesized as its 6-phosphate derivative from fructose 6-phosphate. No enzyme cofactor is required.
Problem 25-32

Glucosamine, one of the eight essential monosaccharides (Section 25.7), is biosynthesized as its 6-phosphate derivative from fructose 6-phosphate by reaction with ammonia. Propose a mechanism.

Glucosamine, one of the essential monosaccharides, is biosynthesized as its 6-phosphate derivative from fructose 6-phosphate by reaction with ammonia.
Problem 25-33

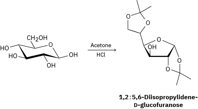
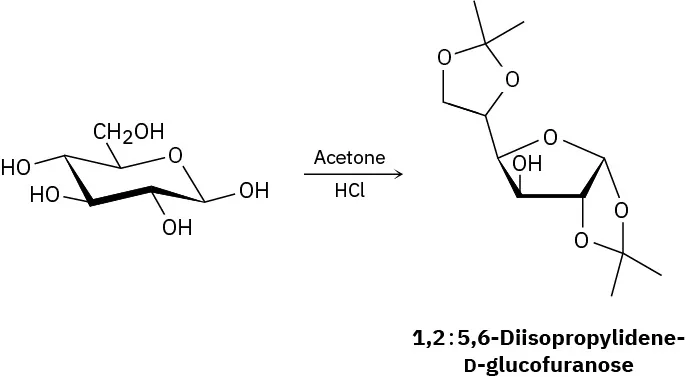
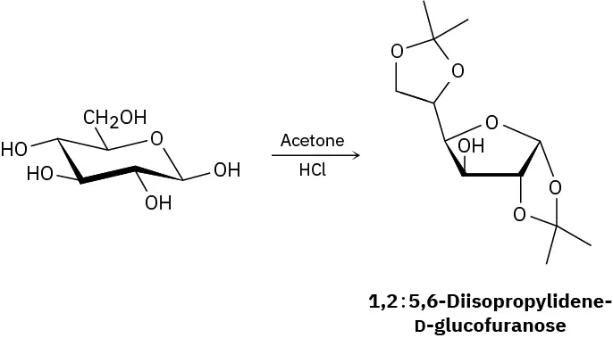
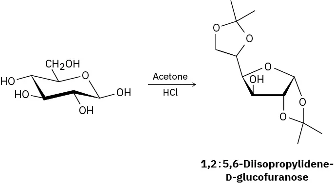
D-Glucose reacts with acetone in the presence of acid to yield the nonreducing 1,2 : 5,6-diisopropylidene-D-glucofuranose. Propose a mechanism.

The reaction of the Haworth projection of D-glucose with acetone in the presence of hydrochloric acid to yield the non-reducing 1, 2 : 5, 6 diisopropylidene D-glucofuranose.
Problem 25-34

One of the steps in the biological pathway for carbohydrate metabolism is the conversion of fructose 1,6-bisphosphate into dihydroxyacetone phosphate and glyceraldehyde 3-phosphate. Propose a mechanism for the transformation.

The conversion of fructose 1, 6- bisphosphate to glyceraldehyde 3-phosphate and dihydroxyacetone phosphate is a step in the glycolysis pathway for degrading carbohydrates.
Problem 25-35

L-Fucose, one of the eight essential monosaccharides (Section 25.7), is biosynthesized from GDP-D-mannose by the following three-step reaction sequence, where GDP = guanosine diphosphate (a ribonucleoside diphosphate; Section 28.1):

G D P- L-Fucose, one of the essential monosaccharides, is biosynthesized from G D P - D-mannose by a three-step reaction sequence.
(a)
Step 1 involves an oxidation to a ketone, a dehydration to an enone, and a conjugate reduction. The step requires NADP+, but no NADPH is formed as a final reaction product. Propose a mechanism.
(b)
Step 2 accomplishes two epimerizations and utilizes acidic and basic sites in the enzyme but does not require a coenzyme. Propose a mechanism.
(c)
Step 3 requires NADPH as coenzyme. Show the mechanism.

Carbohydrate Structures

Problem 25-36
Classify each of the following sugars. (For example, glucose is an aldohexose.)
(a)
Structure of dihydroxyacetone also known as glycerone. It is a simple triose carbohydrate.
(b)
Structure of a five-carbon atom ketopentose sugar with four -O H groups.
(c)
Structural representation of aldoheptose which is a heptose with an aldehyde group and five chiral centers.
Problem 25-37
Write open-chain structures for the following:
(a)
A ketotetrose
(b)
A ketopentose
(c)
A deoxyaldohexose
(d)
A five-carbon amino sugar
Problem 25-38
What is the stereochemical relationship of D-ribose to L-xylose? What generalizations can you make about the following properties of the two sugars?
(a)
Melting point
(b)
Solubility in water
(c)
Specific rotation
(d)
Density
Problem 25-39

Does ascorbic acid (vitamin C) have a D or L configuration?

The structure of L-ascorbic acid. In the Fisher projection, the farthest chiral carbon has a hydroxyl group on the left hand side.
Problem 25-40
Draw the three-dimensional furanose form of ascorbic acid (Problem 25-39), and assign R or S stereochemistry to each chirality center.
Problem 25-41
Assign R or S configuration to each chirality center in the following molecules:
(a)
Three-carbon Fisher projection,   hydrogen top and bromine on the right and  methyl on the left at C 1 , at C 2  bromine on the left, and methyl  bottom
(b)
Two-carbon Fisher projection,   phenyl top with  OH on the right  and methyl on the left at C 1, at C 2 methyl on the left, and OH at the  bottom
(c)
Three-carbon Fisher projection,   amine top and carboxylic acid  on the right  at C 1, at C 2 OH  on the right, and at C 3 phenyl at the  bottom
Problem 25-42
Draw Fischer projections of the following molecules:
(a)
The S enantiomer of 2-bromobutane
(b)
The R enantiomer of alanine, CH3CH(NH2)CO2H
(c)
The R enantiomer of 2-hydroxypropanoic acid
(d)
The S enantiomer of 3-methylhexane
Problem 25-43
Draw Fischer projections for the two D aldoheptoses whose stereochemistry at C3, C4, C5, and C6 is the same as that of D-glucose at C2, C3, C4, and C5.
Problem 25-44

The following cyclic structure is that of allose. Is this a furanose or pyranose form? Is it an α or a β anomer? Is it a D or an L sugar?

The Haworth projection of beta anomer of pyranose sugar named allose.
Problem 25-45

What is the complete name of the following sugar?

The Haworth projection of a beta pyranose in which two hydroxyl groups are axial at C 3 and C 4  and one equatorial hydroxyl at C 2.
Problem 25-46
Write the following sugars in their open-chain forms:
(a)
The structure of beta-D-altropyranose.
(b)
The structure of alpha-D-fructofuranose.
(c)
The structure of alpha-L-mannopyranose.
Problem 25-47

Draw D-ribulose in its five-membered cyclic β-hemiacetal form.

The Fisher projection of  D-ribulose, ketone  at C 2,  two hydroxyl groups on the right at C 3, and C 4, and a hydroxyl at the bottom of C 4
Problem 25-48
Look up the structure of D-talose in Figure 25.4, and draw the β anomer in its pyranose form. Identify the ring substituents as axial or equatorial.

Carbohydrate Reactions

Problem 25-49
Draw structures for the products you would expect to obtain from reaction of β-D-talopyranose with each of the following reagents:
(a)
NaBH4 in H2O
(b)
Warm dilute HNO3
(c)
Br2, H2O
(d)
CH3CH2OH, HCl
(e)
CH3I, Ag2O
(f)
(CH3CO)2O, pyridine
Problem 25-50
How many D-2-ketohexoses are possible? Draw them.
Problem 25-51
One of the D-2-ketohexoses is called sorbose. On treatment with NaBH4, sorbose yields a mixture of gulitol and iditol. What is the structure of sorbose?
Problem 25-52
Another D-2-ketohexose, psicose, yields a mixture of allitol and altritol when reduced with NaBH4. What is the structure of psicose?
Problem 25-53
L-Gulose can be prepared from D-glucose by a route that begins with oxidation to D-glucaric acid, which cyclizes to form two six-membered-ring lactones. Separating the lactones and reducing them with sodium amalgam gives D-glucose and L-gulose. What are the structures of the two lactones, and which one is reduced to L-gulose?
Problem 25-54
Gentiobiose, a rare disaccharide found in saffron and gentian, is a reducing sugar and forms only D-glucose on hydrolysis with aqueous acid. Reaction of gentiobiose with iodomethane and Ag2O yields an octamethyl derivative, which can be hydrolyzed with aqueous acid to give 1 equivalent of 2,3,4,6-tetra-O-methyl-D-glucopyranose and 1 equivalent of 2,3,4-tri-O-methyl-D-glucopyranose. If gentiobiose contains a β-glycoside link, what is its structure?

General Problems

Problem 25-55
All aldoses exhibit mutarotation. For example, α-D-galactopyranose has [α]D = +150.7, and β-D-galactopyranose has [α]D = +52.8. If either anomer is dissolved in water and allowed to reach equilibrium, the specific rotation of the solution is +80.2. What are the percentages of each anomer at equilibrium? Draw the pyranose forms of both anomers.
Problem 25-56
What other D aldohexose gives the same alditol as D-talose?
Problem 25-57
Which of the eight D aldohexoses give the same aldaric acids as their L enantiomers?
Problem 25-58
Which of the other three D aldopentoses gives the same aldaric acid as D-lyxose?
Problem 25-59
Draw the structure of L-galactose, and then answer the following questions:
(a)
Which other aldohexose gives the same aldaric acid as L-galactose on oxidation with warm HNO3?
(b)
Is this other aldohexose a D sugar or an L sugar?
(c)
Draw this other aldohexose in its most stable pyranose conformation.
Problem 25-60
Amygdalin, or laetrile, is a cyanogenic glycoside first isolated in 1830 from almond and apricot seeds. If acidic hydrolysis of amygdalin liberates HCN, along with benzaldehyde cyanohydrin with gentiobiose (Problem 25-54), what is its structure?
Problem 25-61
Trehalose is a nonreducing disaccharide that is hydrolyzed by aqueous acid to yield 2 equivalents of D-glucose. Methylation followed by hydrolysis yields 2 equivalents of 2,3,4,6-tetra-O-methylglucose. How many structures are possible for trehalose?
Problem 25-62
Trehalose (Problem 25-61) is cleaved by enzymes that hydrolyze α-glycosides but not by enzymes that hydrolyze β-glycosides. What is the structure and systematic name of trehalose?
Problem 25-63
Isotrehalose and neotrehalose are chemically similar to trehalose (Problems 25-61 and 25-62) except that neotrehalose is hydrolyzed only by β-glycosidase enzymes, whereas isotrehalose is hydrolyzed by both α- and β-glycosidase enzymes. What are the structures of isotrehalose and neotrehalose?
Problem 25-64
D-Mannose reacts with acetone to give a diisopropylidene derivative (Problem 25-33) that is still reducing toward Tollens’ reagent. Propose a likely structure for this derivative.
Problem 25-65
Glucose and mannose can be interconverted (in low yield) by treatment with dilute aqueous NaOH. Propose a mechanism.
Problem 25-66
Propose a mechanism to account for the fact that D-gluconic acid and D-mannonic acid are interconverted when either is heated in pyridine solvent.
Problem 25-67
The cyclitols are a group of carbocyclic sugar derivatives having the general formulation 1,2,3,4,5,6-cyclohexanehexol. How many stereoisomeric cyclitols are possible? Draw them in their chair forms.
Problem 25-68
Compound A is a D aldopentose that can be oxidized to an optically inactive aldaric acid B. On Kiliani–Fischer chain extension, A is converted into C and D; C can be oxidized to an optically active aldaric acid E, but D is oxidized to an optically inactive aldaric acid F. What are the structures of AF?
Problem 25-69

Simple sugars undergo reaction with phenylhydrazine, PhNH–NH2, to yield crystalline derivatives called osazones. The reaction is a bit complex, however, as shown by the fact that glucose and fructose yield the same osazone.

D-Glucose and D-fructose when treated with excess phenyl hydrazine form the same osazone  with  phenhydrazones at C 1 and C 2
(a)
Draw the structure of a third sugar that yields the same osazone as glucose and fructose.
(b)
Using glucose as the example, the first step in osazone formation is reaction of the sugar with phenylhydrazine to yield an imine called a phenylhydrazone. Draw the structure of the product.
(c)
The second and third steps in osazone formation are tautomerization of the phenylhydrazone to give an enol, followed by elimination of aniline to give a keto imine. Draw the structures of both the enol tautomer and the keto imine.
(d)
The final step is reaction of the keto imine with 2 equivalents of phenylhydrazine to yield the osazone plus ammonia. Propose a mechanism for this step.
Problem 25-70

When heated to 100 °C, D-idose undergoes a reversible loss of water and exists primarily as 1,6-anhydro-D-idopyranose.

Fischer projection of D-idose, two hydroxyl groups on the left at C2, C3, two hydroxyl groups on the right at C3, C5  in equilibrium with idopyranose and water.
(a)
Draw D-idose in its pyranose form, showing the more stable chair conformation of the ring.
(b)
Which is more stable, α-D-idopyranose or β-D-idopyranose? Explain.
(c)
Draw 1,6-anhydro-D-idopyranose in its most stable conformation.
(d)
When heated to 100 °C under the same conditions as those used for D-idose, D-glucose does not lose water and does not exist in a 1,6-anhydro form. Explain.
Problem 25-71

Acetyl coenzyme A (acetyl CoA) is the key intermediate in food metabolism. What sugar is present in acetyl CoA?

The structure of the acetyl CoA consists of two parts: the acetyl group and CoA. CoA  is a beta mercaptoethylamine, pantothenic acid, phosphate  linked adenosine diphosphate.
Citation/Attribution

This book may not be used in the training of large language models or otherwise be ingested into large language models or generative AI offerings without OpenStax's permission.

Want to cite, share, or modify this book? This book uses the Creative Commons Attribution-NonCommercial-ShareAlike License and you must attribute OpenStax.

Attribution information
  • If you are redistributing all or part of this book in a print format, then you must include on every physical page the following attribution:

    Access for free at https://openstax.org/books/organic-chemistry/pages/1-why-this-chapter

  • If you are redistributing all or part of this book in a digital format, then you must include on every digital page view the following attribution:

    Access for free at https://openstax.org/books/organic-chemistry/pages/1-why-this-chapter

Citation information

© Jul 9, 2025 OpenStax. Textbook content produced by OpenStax is licensed under a Creative Commons Attribution-NonCommercial-ShareAlike License . The OpenStax name, OpenStax logo, OpenStax book covers, OpenStax CNX name, and OpenStax CNX logo are not subject to the Creative Commons license and may not be reproduced without the prior and express written consent of Rice University.