Skip to ContentGo to accessibility pageKeyboard shortcuts menu
OpenStax Logo
Organic Chemistry

21.7 Chemistry of Amides

Organic Chemistry21.7 Chemistry of Amides
Search for key terms or text.

21.7 • Chemistry of Amides

Amides, like esters, are abundant in all living organisms. Proteins, nucleic acids, and many pharmaceutical agents have amide functional groups. The reason for this abundance of amides is that they are stable in the aqueous conditions found in living organisms. Amides are the least reactive of the common acid derivatives and undergo relatively few nucleophilic acyl substitution reactions.

The first structure shows a protein segment. The second structure shows benzylpenicillin (penicillin G). Structure three shows a uridine-5 dash-phosphate (a ribonucleotide).All structures contain amide linkage (N H C O).

Preparation of Amides

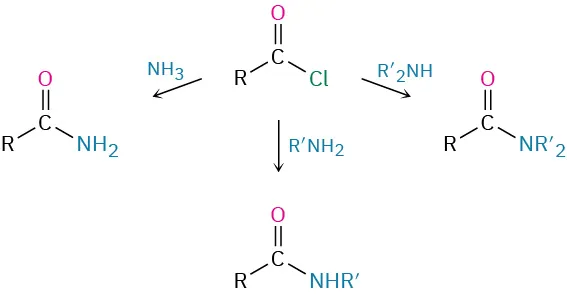
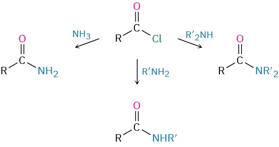
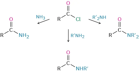
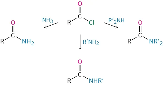
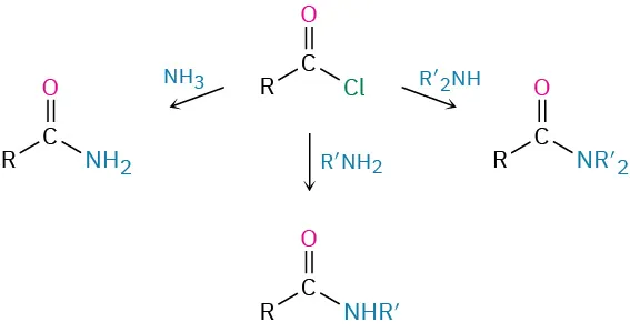
Amides are usually prepared by reaction of an amine with an acid chloride (Section 21.4). Ammonia, monosubstituted amines, and disubstituted amines all undergo the reaction.

A flowchart shows the preparation of amides from acid chloride using ammonia, monosubstituted, and disubstituted amines. R group is single-bonded to carbonyl carbon in all structures.

Reactions of Amides

Conversion of Amides into Carboxylic Acids: Hydrolysis

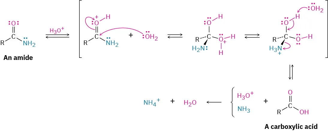
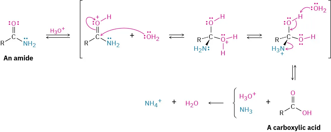
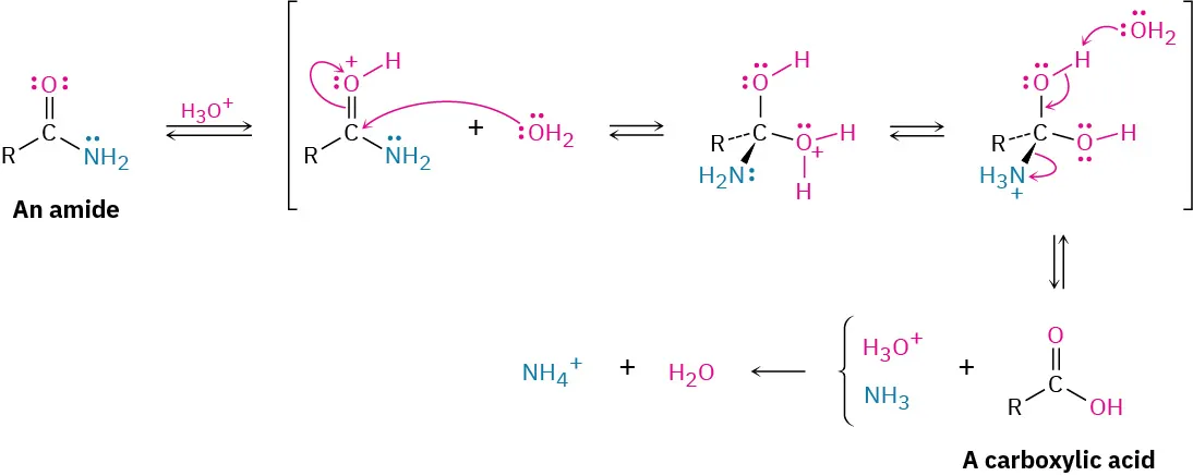
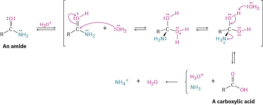
Amides undergo hydrolysis to yield carboxylic acids plus ammonia or an amine upon heating in either aqueous acid or aqueous base. The conditions required for amide hydrolysis are more extreme than those required for the hydrolysis of acid chlorides or esters, but the mechanisms are similar. Acidic hydrolysis reaction occurs by nucleophilic addition of water to the protonated amide, followed by transfer of a proton from oxygen to nitrogen to make the nitrogen a better leaving group, and subsequent elimination. The steps are reversible, with the equilibrium shifted toward product by protonation of NH3 in the final step.

The curly arrow mechanism for the acid-mediated hydrolysis of an amide to a carboxylic acid, Three tetrahedral intermediates are shown in parentheses.

Basic hydrolysis occurs by nucleophilic addition of OH to the amide carbonyl group, followed by elimination of amide ion (NH2) and subsequent deprotonation of the initially formed carboxylic acid by ammonia. The steps are reversible, with the equilibrium shifted toward product by the final deprotonation of the carboxylic acid. Basic hydrolysis is substantially more difficult than the analogous acid-catalyzed reaction because amide ion is a very poor leaving group, making the elimination step difficult.

The curly arrow mechanism for the base-mediated hydrolysis of an amide to a carboxylate ion and ammonia. The tetrahedral intermediate has carbon single-bonded to four groups: R, amine, hydroxyl, and O carrying negative charge.

Amide hydrolysis is common in biological chemistry. Just as the hydrolysis of esters is the initial step in the digestion of dietary fats, the hydrolysis of amides is the initial step in the digestion of dietary proteins. The reaction is catalyzed by protease enzymes and occurs by a mechanism almost identical to what we just saw for fat hydrolysis. That is, an initial nucleophilic acyl substitution of an alcohol group in the enzyme on an amide linkage in the protein gives an acyl enzyme intermediate, which then undergoes hydrolysis.

The reaction shows the reaction of a protein with an enzyme and base to yield a cleaved protein fragment. Two tetrahedral intermediates and an acyl-enzyme are enclosed in parentheses.

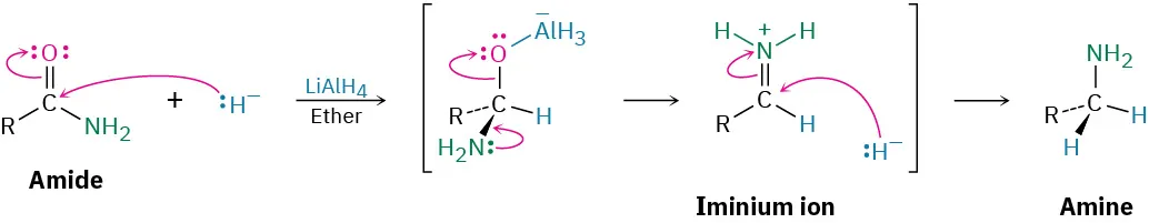
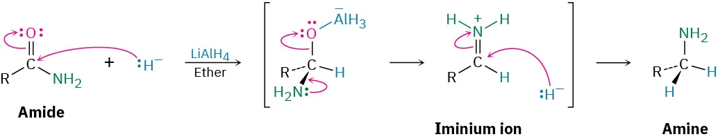
Conversion of Amides into Amines: Reduction

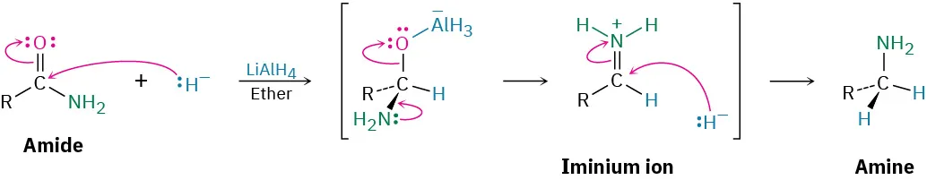
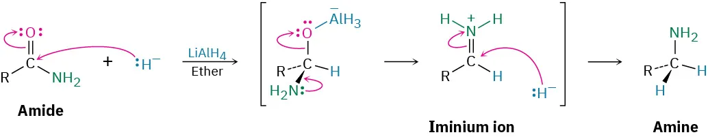
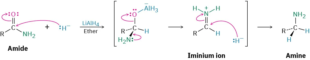
Like other carboxylic acid derivatives, amides can be reduced by LiAlH4. The product of the reduction, however, is an amine rather than an alcohol. The net effect of an amide reduction is thus the conversion of the amide carbonyl group into a methylene group (C=OCH2C=OCH2). This kind of reaction is specific to amides and does not occur with other carboxylic acid derivatives.

The reduction reaction of N-methyldodecanamide with lithium aluminum hydride followed by hydrolysis gives dodecylmethylamine (ninety-five percent). The carbonyl group is reduced to C H 2.

Amide reduction occurs by nucleophilic addition of hydride ion to the amide carbonyl group, followed by expulsion of the oxygen atom as an aluminate anion leaving group to give an iminium ion intermediate. The intermediate iminium ion is further reduced by LiAlH4 to yield the amine.

The curly arrow mechanism for hydride addition to an amide using lithium aluminum hydride in ether forming an amine via an iminium ion intermediate.

The reaction is effective with both acyclic and cyclic amides, or lactams, and is a good method for preparing cyclic amines.

The reaction shows reduction of a lactam to a cyclic amine in eighty percent yield using lithium aluminum hydride in ether followed by addition of water. The carbonyl group in the lactam is reduced to C H 2.

Worked Example 21.4

Synthesizing an Amine from an Amide

How could you prepare N-ethylaniline by reduction of an amide with LiAlH4?

The structure of N-ethylaniline, a derivative of aniline where an ethyl group replaces one of the hydrogen atoms of the amine.

Strategy

Reduction of an amide with LiAlH4 yields an amine. To find the starting material for synthesis of N-ethylaniline, look for a CH2 position next to the nitrogen atom and replace that CH2 by C═OC═O. In this case, the amide is N-phenylacetamide.

Solution

The reaction shows the reduction of N-phenylacetamide using lithium aluminum hydride in ether followed by addition of water to form N-ethylaniline.
Problem 21-20
How would you convert N-ethylbenzamide to each of the following products?
(a)
Benzoic acid
(b)
Benzyl alcohol
(c)
C6H5CH2NHCH2CH3
Problem 21-21

How would you use the reaction of an amide with LiAlH4 as the key step in going from bromocyclohexane to (N,N-dimethylaminomethyl)cyclohexane? Write all the steps in the reaction sequence.

Conversion of bromocyclohexane to (N, N-dimethylaminomethyl)cyclohexane using unknown reagents depicted by a question mark. The bromine in cyclohexane is replaced by an N, N-dimethyl amine group in the product.
Citation/Attribution

This book may not be used in the training of large language models or otherwise be ingested into large language models or generative AI offerings without OpenStax's permission.

Want to cite, share, or modify this book? This book uses the Creative Commons Attribution-NonCommercial-ShareAlike License and you must attribute OpenStax.

Attribution information
  • If you are redistributing all or part of this book in a print format, then you must include on every physical page the following attribution:

    Access for free at https://openstax.org/books/organic-chemistry/pages/1-why-this-chapter

  • If you are redistributing all or part of this book in a digital format, then you must include on every digital page view the following attribution:

    Access for free at https://openstax.org/books/organic-chemistry/pages/1-why-this-chapter

Citation information

© Jul 9, 2025 OpenStax. Textbook content produced by OpenStax is licensed under a Creative Commons Attribution-NonCommercial-ShareAlike License . The OpenStax name, OpenStax logo, OpenStax book covers, OpenStax CNX name, and OpenStax CNX logo are not subject to the Creative Commons license and may not be reproduced without the prior and express written consent of Rice University.