Skip to ContentGo to accessibility pageKeyboard shortcuts menu
OpenStax Logo
Organic Chemistry

21.8 Chemistry of Thioesters and Acyl Phosphates: Biological Carboxylic Acid Derivatives

Organic Chemistry21.8 Chemistry of Thioesters and Acyl Phosphates: Biological Carboxylic Acid Derivatives
Search for key terms or text.

21.8 • Chemistry of Thioesters and Acyl Phosphates: Biological Carboxylic Acid Derivatives

As mentioned in the chapter introduction, the substrate for a nucleophilic acyl substitution reaction in living organisms is generally either a thioester (RCOSR′) or an acyl phosphate (RCO2PO32– or RCO2PO3R′). Neither is as reactive as an acid chloride or acid anhydride, yet both are stable enough to exist in living organisms while still reactive enough to undergo acyl substitution.

Acyl CoA’s, such as acetyl CoA, are the most common thioesters in nature. Coenzyme A, abbreviated CoA, is a thiol formed by a phosphoric anhydride linkage (O═P–O–P═OO═P–O–P═O) between phosphopantetheine and adenosine 3′,5′-bisphosphate. (The prefix bis- means “two” and indicates that adenosine 3′,5′-bisphosphate has two phosphate groups, one on C3′ and one on C5′.) Reaction of coenzyme A with an acyl phosphate or acyl adenylate gives acyl CoA (Figure 21.10). As we saw in Section 21.3 (Figure 21.7), formation of the acyl adenylate occurs by reaction of a carboxylic acid with ATP and is itself a nucleophilic acyl substitution reaction that takes place on phosphorus.

The reaction shows the conversion of coenzyme A to acetyl coenzyme A on reaction with acetyl adenylate. The product is a thioester with C O S linkage.
Figure 21.10 Formation of the thioester acetyl CoA by nucleophilic acyl substitution reaction of coenzyme A (CoA) with acetyl adenylate.

Once formed, an acyl CoA is a substrate for further nucleophilic acyl substitution reactions. For example, N-acetylglucosamine, a component of cartilage and other connective tissues, is synthesized by an aminolysis reaction between glucosamine and acetyl CoA.

The reaction shows the conversion of glucosamine (amine) to N-acetylglucosamine (amide) and a product with the structure H S C o A on reaction with methyl coenzyme A.

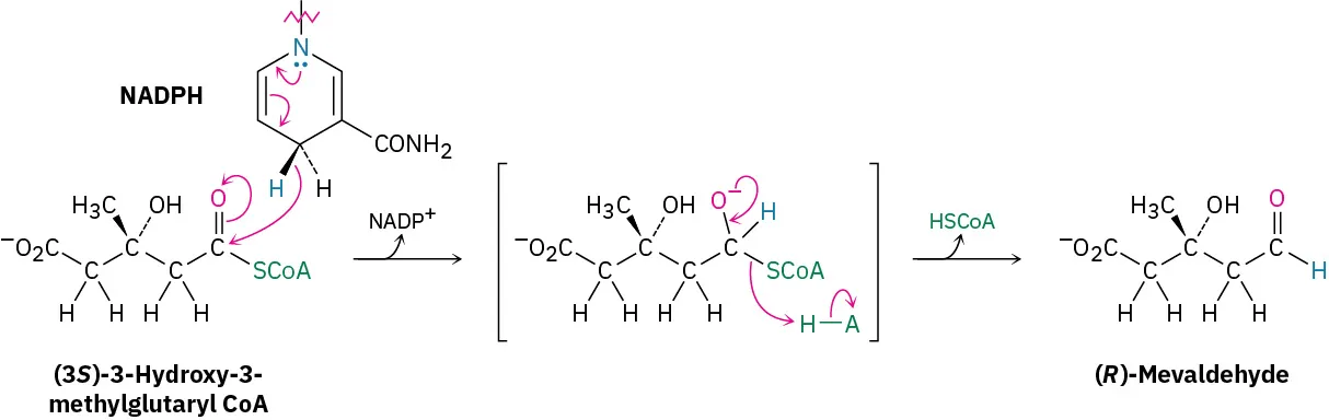
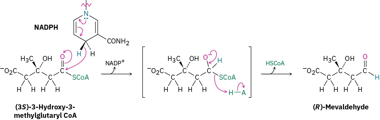
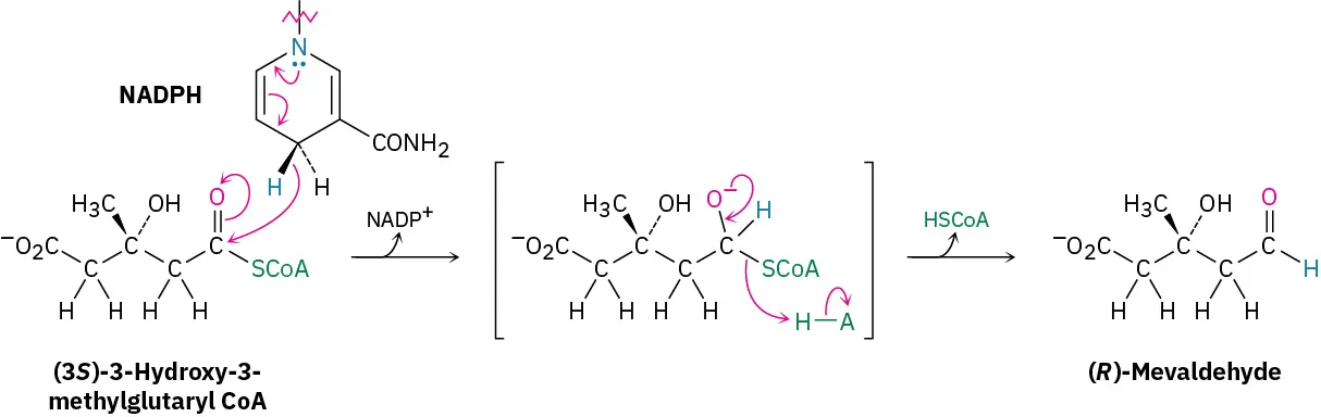
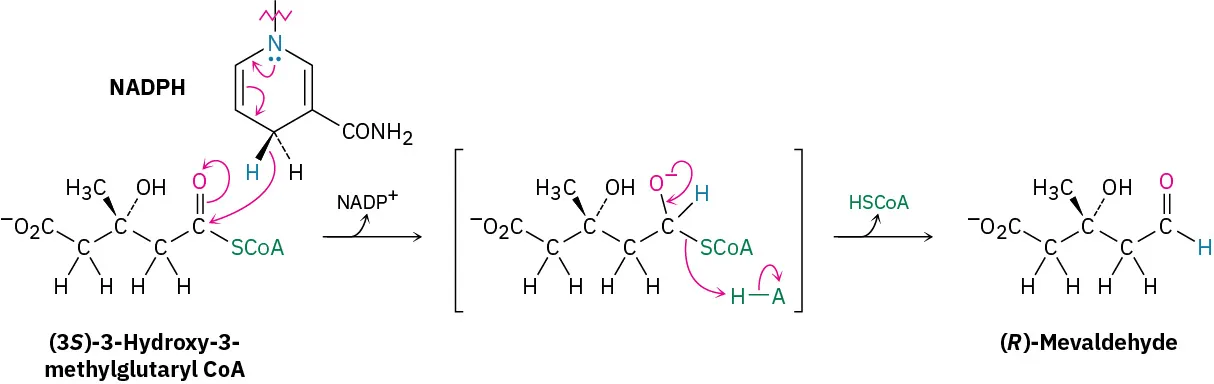
Another example of a nucleophilic acyl substitution reaction on a thioester—this one a substitution by hydride ion to effect the partial reduction of a thioester to an aldehyde—occurs in the biosynthesis of mevaldehyde, an intermediate in terpenoid synthesis, which we’ll discuss in some detail in Section 27.5. In this reaction, (3S)-3-hydroxy-3-methylglutaryl CoA is reduced by hydride donation from NADPH.

Mechanism shows (3S)-3-hydroxy-3-methylglutaryl CoA reacting with NADPH. H S Co A leaves and R-mevaldehyde forms.
Problem 21-22
Write the mechanism of the reaction shown in Figure 21.10 between coenzyme A and acetyl adenylate to give acetyl CoA.
Citation/Attribution

This book may not be used in the training of large language models or otherwise be ingested into large language models or generative AI offerings without OpenStax's permission.

Want to cite, share, or modify this book? This book uses the Creative Commons Attribution-NonCommercial-ShareAlike License and you must attribute OpenStax.

Attribution information
  • If you are redistributing all or part of this book in a print format, then you must include on every physical page the following attribution:

    Access for free at https://openstax.org/books/organic-chemistry/pages/1-why-this-chapter

  • If you are redistributing all or part of this book in a digital format, then you must include on every digital page view the following attribution:

    Access for free at https://openstax.org/books/organic-chemistry/pages/1-why-this-chapter

Citation information

© Jul 9, 2025 OpenStax. Textbook content produced by OpenStax is licensed under a Creative Commons Attribution-NonCommercial-ShareAlike License . The OpenStax name, OpenStax logo, OpenStax book covers, OpenStax CNX name, and OpenStax CNX logo are not subject to the Creative Commons license and may not be reproduced without the prior and express written consent of Rice University.