Skip to ContentGo to accessibility pageKeyboard shortcuts menu
OpenStax Logo
Organic Chemistry

21.3 Reactions of Carboxylic Acids

Organic Chemistry21.3 Reactions of Carboxylic Acids
Search for key terms or text.

21.3 • Reactions of Carboxylic Acids

The direct nucleophilic acyl substitution of a carboxylic acid is difficult because –OH is a poor leaving group (Section 11.3). Thus, it’s usually necessary to enhance the reactivity of the acid, either by using a strong acid catalyst to protonate the carboxyl and make it a better acceptor or by converting the –OH into a better leaving group. Under the right circumstances, however, acid chlorides, anhydrides, esters, and amides can all be prepared from carboxylic acids by nucleophilic acyl substitution reactions.

Conversion of Carboxylic Acids into Acid Chlorides

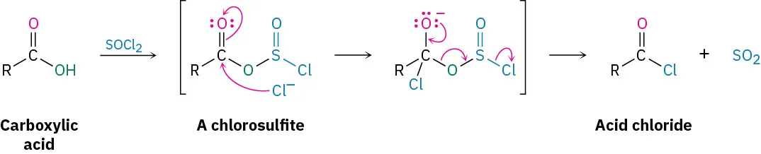
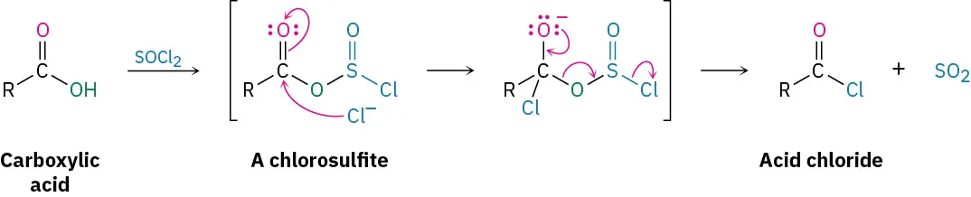
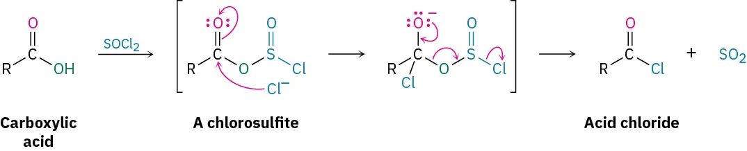
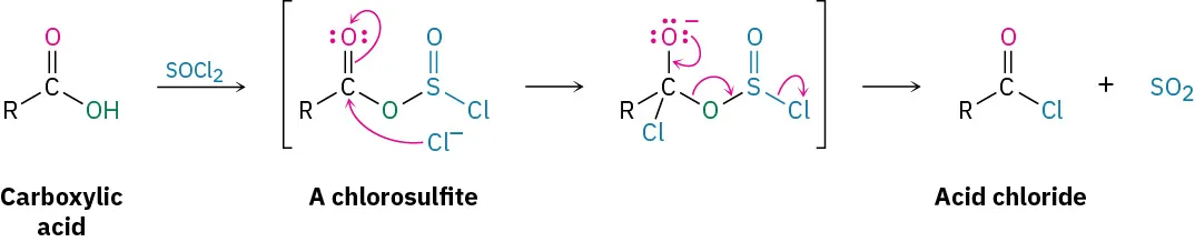
In the laboratory, carboxylic acids are converted into acid chlorides by treatment with thionyl chloride, SOCl2.

2, 4, 6-Trimethylbenzoic acid reacts with thionyl chloride in chloroform (trichloromethane) forming 2, 4, 6-trimethylbenzolchloride (ninety percent), H C l, and sulfur dioxide.

This reaction occurs by a nucleophilic acyl substitution pathway in which the carboxylic acid is first converted into an acyl chlorosulfite intermediate, thereby replacing the –OH of the acid with a much better leaving group. The chlorosulfite then reacts with a nucleophilic chloride ion. You might recall from Section 17.6 that an analogous chlorosulfite is involved in the reaction of an alcohol with SOCl2 to yield an alkyl chloride.

A carboxylic acid reacts with thionyl chloride giving an acid chloride and sulfur dioxide. A chlorosulfite (intermediate) is depicted in parentheses which is formed when chloride ion attacks carbonyl carbon.

Conversion of Carboxylic Acids into Acid Anhydrides

Acid anhydrides can be derived from two molecules of carboxylic acid by heating to remove 1 equivalent of water. Because of the high temperatures needed, however, only acetic anhydride is commonly prepared this way.

The reaction shows the formation of acetic anhydride and water upom heating of two equivalents of acetic acid at eight hundred degrees Celsius.

Conversion of Carboxylic Acids into Esters

Perhaps the most useful reaction of carboxylic acids is their conversion into esters. There are many methods for accomplishing this, including the SN2 reaction of a carboxylate anion with a primary alkyl halide that we saw in Section 11.3.

A curly arrow S N 2 mechanism for the reaction of sodium butanoate and methyl iodide, giving methyl butanoate (ninety-seven percent) and sodium iodide.

Esters can also be synthesized by an acid-catalyzed nucleophilic acyl substitution reaction of a carboxylic acid with an alcohol, a process called the Fischer esterification reaction. Unfortunately, the need for an excess of a liquid alcohol as solvent effectively limits the method to the synthesis of methyl, ethyl, propyl, and butyl esters.

The reversible reaction of benzoic acid with ethanol in the presence of an H C l catalyst giving ethyl benzoate (ninety-one percent) and water.

The mechanism of the Fischer esterification reaction is shown in Figure 21.5. Carboxylic acids are not reactive enough to undergo nucleophilic addition directly, but their reactivity is greatly enhanced in the presence of a strong acid such as HCl or H2SO4. The mineral acid protonates the carbonyl-group oxygen atom, thereby giving the carboxylic acid a positive charge and rendering it much more reactive toward nucleophiles. Subsequent loss of water from the tetrahedral intermediate yields the ester product.

Figure 21.5 MECHANISM
Mechanism of Fischer esterification. The reaction is an acid-catalyzed, nucleophilic acyl substitution of a carboxylic acid.
A curly arrow mechanism for Fischer esterification shows the four steps in converting a carboxylic acid to an ester. The steps comprise protonation, nucleophilic attack, proton transfer, and loss of water.

The net effect of Fischer esterification is substitution of an –OH group by  –OR′. All steps are reversible, and the reaction typically has an equilibrium constant close to 1. Thus, the reaction can be driven in either direction by the choice of reaction conditions. Ester formation is favored when a large excess of alcohol is used as solvent, but carboxylic acid formation is favored when a large excess of water is present.

Evidence in support of the mechanism shown in Figure 21.5 comes from isotope-labeling experiments. When 18O-labeled methanol reacts with benzoic acid, the methyl benzoate produced is found to be 18O-labeled whereas the water produced is unlabeled. Thus, it is the C–OH bond of the carboxylic acid that is broken during the reaction rather than the CO–H bond and the RO–H bond of the alcohol that is broken rather than the R–OH bond.

The reversible reaction shows benzoic acid and methanol in the presence of a hydrochloric acid catalyst giving methyl benzoate and water. The oxygen atoms of methanol and the methoxy group are starred.

Worked Example 21.2

Synthesizing an Ester from an Acid

How might you prepare the following ester using a Fischer esterification reaction?

The structure of an ester shows a benzene ring connected to a propoxy carbonyl group. A bromine is attached to the ortho position of the ring.

Strategy

Begin by identifying the two parts of the ester. The acyl part comes from the carboxylic acid and the –OR part comes from the alcohol. In this case, the target molecule is propyl o-bromobenzoate, so it can be prepared by treating o-bromobenzoic acid with 1-propanol.

Solution

The reaction between o-bromobenzoic acid and 1-propanol using a hydrochloric acid catalyst gives propyl-o-bromobenzoate and water. The bromine atom is ortho to the propoxy carbonyl group in benzene ring.
Problem 21-7
How might you prepare the following esters from the corresponding acids?
(a)
The structure of an ester comprises of a carbonyl group attached to a methyl group on one side and an oxygen linked to a butyl group on the other side.
(b)
The structure of an ester comprises of a carbonyl group attached to a propyl chain on one side and an oxygen linked to a methyl group on the other side.
(c)
The structure of an ester comprises of a carbonyl group attached to a cyclopentane ring on one side and an oxygen linked to an isopropyl group on the other side.
Problem 21-8

If the following molecule is treated with acid catalyst, an intramolecular esterification reaction occurs. What is the structure of the product? (Intramolecular means within the same molecule.)

The ball-and-stick model shows a five-carbon chain with hydroxyl group at fifth carbon. The first carbon is a carboxyl group. Black, gray, and red spheres denote carbon, hydrogen, and oxygen.

Conversion of Carboxylic Acids into Amides

Amides are difficult to prepare by direct reaction of carboxylic acids with amines because amines are bases that convert acidic carboxyl groups into their unreactive carboxylate anions. Thus, the –OH must be replaced by a better, nonacidic leaving group to carry out a nucleophilic acyl substitution. In practice, amides are often prepared by activating the carboxylic acid with a carbodiimide (R–N═C═N–RR–N═C═N–R), followed by addition of the amine. Dicyclohexylcarbodiimide (DCC) and 1-ethyl-3-(3-dimethylaminopropylcarbodiimide (EDEC) are commonly used.

The structure shows two carbodiimides. The first structure is dicyclohexylcarbodiimide. The second structure is 1-ethyl-3-(3-dimethylaminopropyl)-carbodiimide. In the two structures, the centrak carbon atom is double-bonded to two nitrogen atoms.

As shown in Figure 21.6, the acid first adds to a C═NC═N double bond of DCC, and nucleophilic acyl substitution by amine then ensues. Alternatively, and depending on the reaction solvent, the reactive acyl intermediate might also react with a second equivalent of carboxylate ion to generate an acid anhydride that then reacts with the amine. The product from either pathway is the same.

Figure 21.6 MECHANISM
Mechanism of amide formation by reaction of a carboxylic acid and an amine with dicyclohexylcarbodiimide (DCC).
A curly arrow mechanism shows the four steps in the reaction between a carboxylic acid and dicyclohexylcarbodiimide (D C C) to form an amide and dicyclohexylurea.

We’ll see in Section 26.7 that this carbodiimide method of amide formation is the key step in the laboratory synthesis of small proteins, or peptides. For instance, when one amino acid with its NH2 rendered unreactive and a second amino acid with its –CO2H rendered unreactive are treated with carbodiimide, a dipeptide is formed.

The reaction shows the formation of a dipeptide from the two different amino acids labeled as one and two, in the presence of D C C.

Conversion of Carboxylic Acids into Alcohols

We said in Section 17.4 that carboxylic acids are reduced by LiAlH4 to give primary alcohols, but we deferred a discussion of the reaction mechanism at that time. In fact, the reduction is a nucleophilic acyl substitution reaction in which –H replaces –OH to give an aldehyde that is further reduced by nucleophilic addition to produce a primary alcohol. The aldehyde intermediate is much more reactive than the starting acid, so it reacts instantly and is not isolated.

The reaction shows the conversion of a carboxylic acid to a primary alcohol using lithium aluminum hydride. An aldehyde and an alkoxide ion, enclosed in parentheses, are formed as intermediates.

Because hydride ion is a base as well as a nucleophile, the actual nucleophilic acyl substitution step takes place on the carboxylate ion rather than on the free carboxylic acid and gives a high-energy dianion intermediate. In this intermediate, the two oxygens are complexed to a Lewis acidic aluminum species. Thus, the reaction is relatively difficult, and acid reductions require higher temperatures and extended reaction times.

The reaction shows the conversion of a carboxylic acid to an aldehyde using hydride ions from lithium aluminum hydride. A carboxylate ion and dianion, enclosed in parentheses, are formed as intermediates.

Alternatively, borane in tetrahydrofuran (BH3/THF) is a useful reagent for reducing carboxylic acids to primary alcohols. Reaction of an acid with BH3/THF occurs rapidly at room temperature, and the procedure is often preferred to reduction with LiAlH4 because of its relative ease and safety. Borane reacts with carboxylic acids faster than with any other functional group, thereby allowing selective transformations such as that on p-nitrophenylacetic acid. If the reduction of p-nitrophenylacetic acid were done with LiAlH4, both the nitro and carboxyl groups would be reduced.

The conversion of p-nitrophenylacetic acid with borane in T H F in the first step followed by acid in the second step, gives 2-(p-nitrophenyl)ethanol (ninety-four percent).

Biological Conversions of Carboxylic Acids

The direct conversion of a carboxylic acid to an acyl derivative by nucleophilic acyl substitution does not occur in biological chemistry. As in the laboratory, the acid must first be activated by converting the –OH into a better leaving group. This activation is often accomplished in living organisms by reaction of the acid with adenosine triphosphate (ATP) to give an acyl adenosyl phosphate, or acyl adenylate, a mixed anhydride combining a carboxylic acid and adenosine monophosphate (AMP, also known as adenylic acid). In the biosynthesis of fats, for example, a long-chain carboxylic acid reacts with ATP to give an acyl adenylate, followed by subsequent nucleophilic acyl substitution of a thiol group in coenzyme A to give the corresponding acyl CoA (Figure 21.7).

Figure 21.7 MECHANISM
In fatty-acid biosynthesis, a carboxylic acid is activated by reaction with ATP to give an acyl adenylate, which undergoes nucleophilic acyl substitution with the –SH group on coenzyme A. (ATP = adenosine triphosphate; AMP = adenosine monophosphate.)
A curly arrow mechanism for the reaction of A T P with carboxylate ion to give fatty acyl coenzyme A and adenosine monophosphate.

Note that the first step in Figure 21.7—reaction of the carboxylate with ATP to give an acyl adenylate—is itself a nucleophilic acyl substitution on phosphorus. The carboxylate first adds to a P═OP═O double bond, giving a five-coordinate phosphorus intermediate that expels diphosphate ion as a leaving group.

Citation/Attribution

This book may not be used in the training of large language models or otherwise be ingested into large language models or generative AI offerings without OpenStax's permission.

Want to cite, share, or modify this book? This book uses the Creative Commons Attribution-NonCommercial-ShareAlike License and you must attribute OpenStax.

Attribution information
  • If you are redistributing all or part of this book in a print format, then you must include on every physical page the following attribution:

    Access for free at https://openstax.org/books/organic-chemistry/pages/1-why-this-chapter

  • If you are redistributing all or part of this book in a digital format, then you must include on every digital page view the following attribution:

    Access for free at https://openstax.org/books/organic-chemistry/pages/1-why-this-chapter

Citation information

© Jul 9, 2025 OpenStax. Textbook content produced by OpenStax is licensed under a Creative Commons Attribution-NonCommercial-ShareAlike License . The OpenStax name, OpenStax logo, OpenStax book covers, OpenStax CNX name, and OpenStax CNX logo are not subject to the Creative Commons license and may not be reproduced without the prior and express written consent of Rice University.