Skip to ContentGo to accessibility pageKeyboard shortcuts menu
OpenStax Logo
Organic Chemistry

21.9 Polyamides and Polyesters: Step-Growth Polymers

Organic Chemistry21.9 Polyamides and Polyesters: Step-Growth Polymers
Search for key terms or text.

21.9 • Polyamides and Polyesters: Step-Growth Polymers

When an amine reacts with an acid chloride, an amide is formed. What would happen, though, if a diamine and a diacid chloride were allowed to react? Each partner would form two amide bonds, linking more and more molecules together until a giant polyamide resulted. In the same way, reaction of a diol with a diacid would lead to a polyester.

The first reaction shows a diamine reacting with a diacid chloride to form a polyamide (nylon). The second reaction shows a diol reacting with a diacid to form a polyester and water.

There are two main classes of synthetic polymers: chain-growth polymers and step-growth polymers. The polyethylene and other alkene and diene polymers that we saw in Section 8.10 and Section 14.6 are called chain-growth polymers because they are produced in chain-reaction processes. An initiator adds to a C═CC═C bond to give a reactive intermediate, which adds to a second alkene molecule to produce a new intermediate, which adds to a third molecule, and so on. By contrast, polyamides and polyesters are step-growth polymers because each bond in the polymer is formed independently in a discrete step, often the nucleophilic acyl substitution reaction of a carboxylic acid derivative. Some commercially important step-growth polymers are shown in Table 21.2.

Table 21.2 Some Common Step-Growth Polymers and Their Uses
Monomers Structure Polymer Uses
The structure of adipic acid is a six carbon chain, C1 and C 6 of which are carboxylic acids The structure of hexamethylenediamine is a six carbon chain with amine groups on C1 and C 6. Nylon 66 Fibers, clothing, tire cord
The structure of dimethyl terephthalate is a benzene ring with methyl ester groups para to one another. Ethylene glycol is a two-carbon chain with hydroxyl groups on each carbon. Dacron, Mylar, Terylene Fibers, clothing, films, tire cord
The caprolactam structure is a seven-membered cyclic cycloheptanone ring in which a nitrogen atom replaces the carbon adjacent to the carbonyl group. Nylon 6, Perlon Fibers, castings
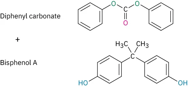
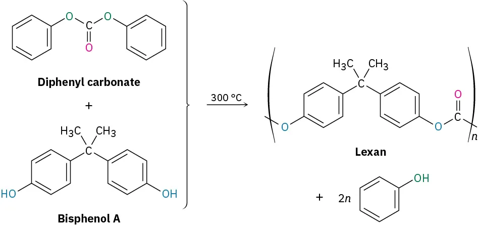
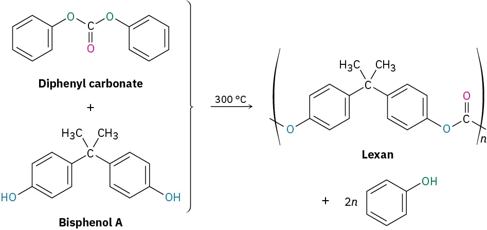
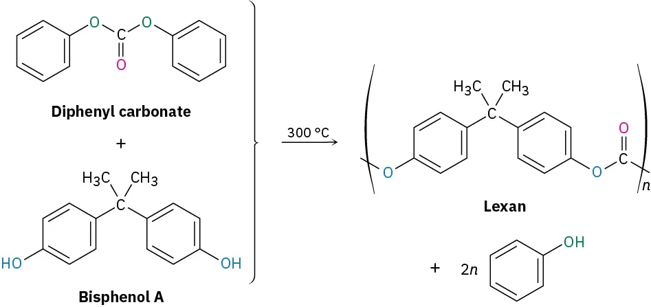
The structure of diphenyl carbonate comprises of a central carbonyl group attached to two oxygen atom. Each of the oxygen atoms is also attached to a benzene ring. The structure of bisphenol A comprises of a central carbon atom attached to two methyl groups and two benzene rings bearing hydroxyl groups in the 4 position. Lexan, polycarbonate Equipment housing, molded articles
Toluene-2,6-diisocyanate comprises of a benzene ring with a methyl group and with isocyanate groups on either side of the methyl group. Poly(but-2-ene) is a four-carbon chain alkene enclosed in brackets with subscript n, with two hydroxyl groups on terminal carbons. Polyurethane, Spandex Fibers, coatings, foams

Polyamides (Nylons)

The best known step-growth polymers are the polyamides, or nylons, first prepared in 1930 by Wallace Carothers at the DuPont Company by heating a diamine with a diacid. For instance, nylon 66 is prepared by reaction of adipic acid (hexanedioic acid) with hexamethylenediamine (1,6-hexanediamine) at 280 °C. The designation “66” indicates the number of carbon atoms in the diamine (the first 6) and the diacid (the second 6).

The reaction shows the formation of Nylon 6 6 polymer from adipic acid and hexamethylenediamine by heating. The product has a twelve-carbon repeating chain enclosed in parentheses with subscript n.

Nylons are used both in engineering applications and in making fibers. A combination of high impact strength and abrasion resistance makes nylon an excellent metal substitute for bearings and gears. As fiber, nylon is used in a variety of applications, from clothing to tire cord to ropes.

Polyesters

The most generally useful polyester is made by reaction between dimethyl terephthalate (dimethyl 1,4-benzenedicarboxylate) and ethylene glycol (1,2-ethanediol). The product is used under the trade name Dacron to make clothing fiber or tire cord and under the name Mylar to make recording tape. The tensile strength of poly(ethylene terephthalate) film is nearly equal to that of steel.

The reaction shows dimethyl terephthalate and ethylene glycol heated at two-hundred degrees Celsius forming polyester Dacron or Mylar.

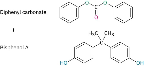
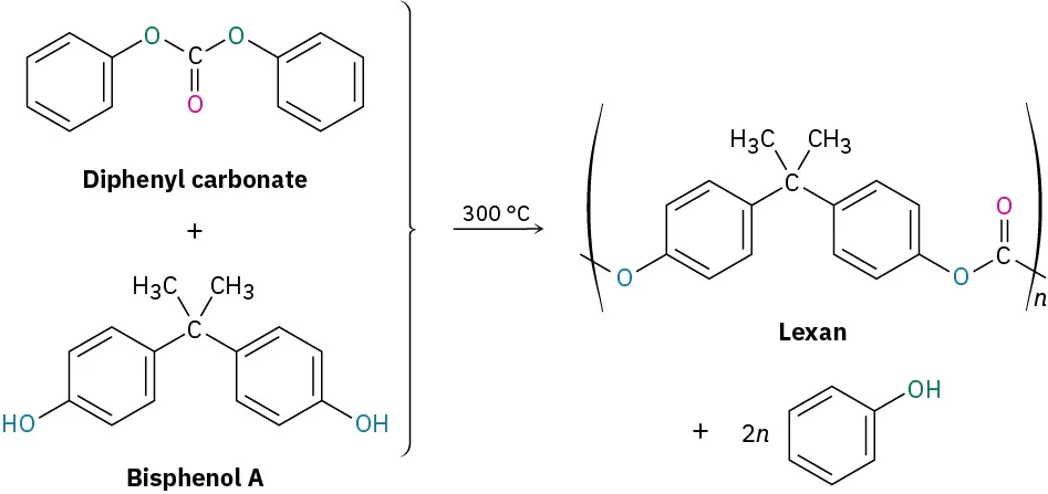
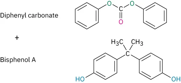
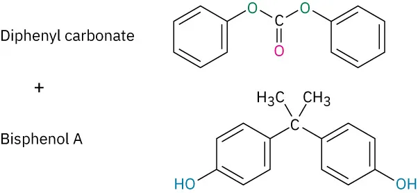
Lexan, a polycarbonate prepared from diphenyl carbonate and bisphenol A, is another commercially valuable polyester. Lexan has an unusually high impact strength, making it valuable for use in bicycle helmets and laptop cases.

The reaction shows diphenyl catbonate and Bisphenol A heated at three-hundred degrees Celsius forming polyester Lexan.

Sutures and Biodegradable Polymers

Because plastics are too often thrown away rather than recycled, much work has been carried out on developing biodegradable polymers, which can be broken down rapidly in landfills by soil microorganisms. Among the most common biodegradable polymers are poly(glycolic acid) (PGA), poly(lactic acid) (PLA), and poly(hydroxybutyrate) (PHB). All are polyesters and are therefore susceptible to hydrolysis of their ester links. Copolymers of PGA with PLA have found a particularly wide range of uses. A 90/10 copolymer of poly(glycolic acid) with poly(lactic acid) is used to make absorbable sutures, for instance. The sutures are entirely hydrolyzed and absorbed by the body within 90 days after surgery.

The first reaction shows the polymerization of glycolic acid to form poly(glycolic) acid. The second shows polymerization of lactic acid to form poly(lactic) acid, and the third the polymerization of 2-hydroxybutyric acid to form poly(hydroxybutyrate). All three polymerizations require heat.

In Europe, interest has centered particularly on poly(hydroxybutyrate), which can be made into films for packaging as well as into molded items. The polymer degrades within four weeks in landfills, both by ester hydrolysis and by an E1cB elimination reaction of the oxygen atom β to the carbonyl group. The use of poly(hydroxybutyrate) is limited at present by its cost—about four times that of polypropylene.

Problem 21-23
Draw structures of the step-growth polymers you would expect to obtain from the following reactions:
(a)
The reaction of 1,3-dibromopropane and propane-1,3-diol in the presence of base gives an unknown product depicted by a question mark.
(b)
The reaction of ethylene glycol and hexamethylene dicarboxylic acid in the presence of a sulfuric acid catalyst forms an unknown product depicted by a question mark.
(c)
The reaction of hexamethylene diamine and adipoyl dichloride gives unknown products depicted by a question mark.
Problem 21-24
Kevlar, a nylon polymer prepared by reaction of 1,4-benzenedicarboxylic acid (terephthalic acid) with 1,4-benzenediamine (p-phenylenediamine), is so strong that it’s used to make bulletproof vests. Draw the structure of a segment of Kevlar.
Citation/Attribution

This book may not be used in the training of large language models or otherwise be ingested into large language models or generative AI offerings without OpenStax's permission.

Want to cite, share, or modify this book? This book uses the Creative Commons Attribution-NonCommercial-ShareAlike License and you must attribute OpenStax.

Attribution information
  • If you are redistributing all or part of this book in a print format, then you must include on every physical page the following attribution:

    Access for free at https://openstax.org/books/organic-chemistry/pages/1-why-this-chapter

  • If you are redistributing all or part of this book in a digital format, then you must include on every digital page view the following attribution:

    Access for free at https://openstax.org/books/organic-chemistry/pages/1-why-this-chapter

Citation information

© Jul 9, 2025 OpenStax. Textbook content produced by OpenStax is licensed under a Creative Commons Attribution-NonCommercial-ShareAlike License . The OpenStax name, OpenStax logo, OpenStax book covers, OpenStax CNX name, and OpenStax CNX logo are not subject to the Creative Commons license and may not be reproduced without the prior and express written consent of Rice University.