Skip to ContentGo to accessibility pageKeyboard shortcuts menu
OpenStax Logo
Organic Chemistry

8.10 Radical Additions to Alkenes: Chain-Growth Polymers

Organic Chemistry8.10 Radical Additions to Alkenes: Chain-Growth Polymers
Search for key terms or text.

8.10 • Radical Additions to Alkenes: Chain-Growth Polymers

In our brief introduction to radical reactions in Section 6.6, we said that radicals can add to C═CC═C bonds, taking one electron from the double bond and leaving one behind to yield a new radical. Let’s now look at the process in more detail, focusing on the industrial synthesis of alkene polymers. A polymer is a large—sometimes very large—molecule, built up by repetitive joining together of many smaller molecules, called monomers.

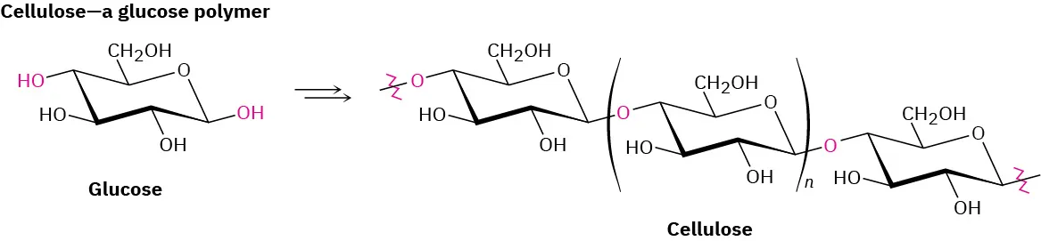
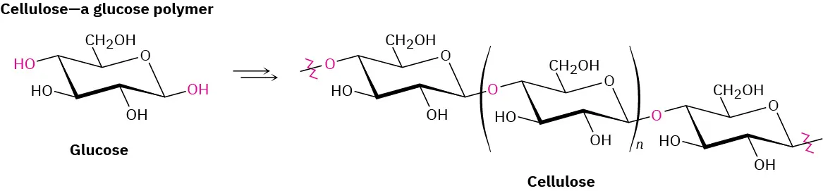
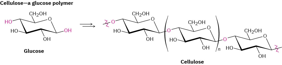
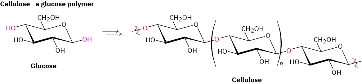
Nature makes wide use of biological polymers. Cellulose, for instance, is a polymer built of repeating glucose monomer units; proteins are polymers built of repeating amino acid monomers; and nucleic acids are polymers built of repeating nucleotide monomers.

The figure shows glucose units combine together to form a long chain of cellulose.
The figure shows amino acids link together to form a protein structure.
The figure shows nucleotide units link together to form a nucleic acid.

Synthetic polymers, such as polyethylene, are much simpler chemically than biopolymers, but there is still a great diversity to their structures and properties, depending on the identity of the monomers and on the reaction conditions used for polymerization. The simplest synthetic polymers are those that result when an alkene is treated with a small amount of a suitable catalyst. Ethylene, for example, yields polyethylene, an enormous alkane that may have a molecular weight up to 6 million u and may contain as many as 200,000 monomer units. Worldwide production of polyethylene is approximately 88 million tons per year.

The figure shows a polymerization reaction of ethylene forming polyethylene.

Polyethylene and other simple alkene polymers are called chain-growth polymers because they are formed in a chain-reaction process in which an initiator adds to a carbon–carbon double bond to yield a reactive intermediate. The intermediate then reacts with a second molecule of monomer to yield a new intermediate, which reacts with a third monomer unit, and so on.

Historically, ethylene polymerization was carried out at high pressure (1000–3000 atm) and high temperature (100–250 °C) in the presence of a radical initiator such as benzoyl peroxide. Like many radical reactions, the mechanism of ethylene polymerization occurs in three steps: initiation, propagation, and termination:

  • Initiation The polymerization reaction is initiated when a few radicals are generated on heating a small amount of benzoyl peroxide catalyst to break the weak O−O bond. The initially formed benzoyloxy radical loses CO2 and gives a phenyl radical (Ph·), which adds to the C═CC═C bond of ethylene to start the polymerization process. One electron from the ethylene double bond pairs up with the odd electron on the phenyl radical to form a new C−C bond, and the other electron remains on carbon.
    Benzoyl peroxide on heating forms two benzoyloxy radicals, which decompose to phenyl radicals and carbon dioxide molecules. At the bottom, phenyl radical reacts with ethylene to form ethylbenzene radical.
  • Propagation Polymerization occurs when the carbon radical formed in the initiation step adds to another ethylene molecule to yield another radical. Repetition of the process for hundreds or thousands of times builds the polymer chain.
    A reaction shows the ethylene polymerization of a  phenylethylene radical with ethylene to form a phenylbutyl radical that grows in length with multiple additions of ethylene.
  • Termination The chain process is eventually ended by a reaction that consumes the radical. The combination of two growing chains is one possible chain-terminating reaction.
2RCH2CH2·RCH2CH2CH2CH2R2RCH2CH2·RCH2CH2CH2CH2R

Ethylene is not unique in its ability to form a polymer. Many substituted ethylenes, called vinyl monomers, also undergo polymerization to yield polymers with substituent groups regularly spaced on alternating carbon atoms along the chain. Propylene, for example, yields polypropylene, and styrene yields polystyrene.

Two reactions show the formation of polypropylene and polystyrene from propylene and styrene, respectively.

When an unsymmetrically substituted vinyl monomer such as propylene or styrene is polymerized, the radical addition steps can take place at either end of the double bond to yield either a primary radical intermediate (RCH2·) or a secondary radical (R2CH·). Just as in electrophilic addition reactions, however, we find that only the more highly substituted, secondary radical is formed.

A polymerization reaction shows a phenyl radical reacting with propene to form a secondary radical. Primary radical is not formed.

Table 8.1 shows some commercially important alkene polymers, their uses, and the monomers from which they are made.

Table 8.1 Some Alkene Polymers and Their Uses
Monomer Formula Trade or common name of polymer Uses
Ethylene H2C═CH2H2C═CH2 Polyethylene Packaging, bottles
Propene (propylene) H2C═CHCH3H2C═CHCH3 Polypropylene Moldings, rope, carpets
Chloroethylene (vinyl chloride) H2C═CHClH2C═CHCl Poly(vinyl chloride) Insulation, films, pipes
Styrene H2C═CHC6H5H2C═CHC6H5 Polystyrene Foam, moldings
Tetrafluoroethylene F2C═CF2F2C═CF2 Teflon Gaskets, nonstick coatings
Acrylonitrile H2C═CHCNH2C═CHCN Orlon, Acrilan Fibers
Methyl methacrylate The condensed structural formula has a methylene group double bonded to a carbon atom, which is single bonded to a methyl group and C O 2 C H 3 group. Plexiglas, Lucite Paint, sheets, moldings
Vinyl acetate H2C═CHOCOCH3H2C═CHOCOCH3 Poly(vinyl acetate) Paint, adhesives, foams

Worked Example 8.4

Predicting the Structure of a Polymer

Show the structure of poly(vinyl chloride), a polymer made from H2C═CHClH2C═CHCl, by drawing several repeating units.

Strategy

Mentally break the carbon–carbon double bond in the monomer unit, and form single bonds by connecting numerous units together.

Solution

The general structure of poly(vinyl chloride) is
The polymer enclosed in parentheses shows a chain of three C H 2 C H groups. The carbon of each C H group is bonded to a chlorine atom.
Problem 8-18
Show the monomer units you would use to prepare the following polymers:
(a)
The polymer enclosed in parentheses shows a 6-carbon chain. The alternate carbons are each bonded to a methoxy group.
(b)
The polymer enclosed in parentheses shows a chain of six C-H groups. Each carbon is bonded to a chlorine atom.
Problem 8-19

One of the chain-termination steps that sometimes occurs to interrupt polymerization is the following reaction between two radicals. Propose a mechanism for the reaction, using fishhook arrows to indicate electron flow.

In a chain termination step, two radical molecules form ethyl and ethylene chains each with an open single bond that has a wavy chain on it.
Citation/Attribution

This book may not be used in the training of large language models or otherwise be ingested into large language models or generative AI offerings without OpenStax's permission.

Want to cite, share, or modify this book? This book uses the Creative Commons Attribution-NonCommercial-ShareAlike License and you must attribute OpenStax.

Attribution information
  • If you are redistributing all or part of this book in a print format, then you must include on every physical page the following attribution:

    Access for free at https://openstax.org/books/organic-chemistry/pages/1-why-this-chapter

  • If you are redistributing all or part of this book in a digital format, then you must include on every digital page view the following attribution:

    Access for free at https://openstax.org/books/organic-chemistry/pages/1-why-this-chapter

Citation information

© Jul 9, 2025 OpenStax. Textbook content produced by OpenStax is licensed under a Creative Commons Attribution-NonCommercial-ShareAlike License . The OpenStax name, OpenStax logo, OpenStax book covers, OpenStax CNX name, and OpenStax CNX logo are not subject to the Creative Commons license and may not be reproduced without the prior and express written consent of Rice University.