Skip to ContentGo to accessibility pageKeyboard shortcuts menu
OpenStax Logo
Organic Chemistry

8.9 Addition of Carbenes to Alkenes: Cyclopropane Synthesis

Organic Chemistry8.9 Addition of Carbenes to Alkenes: Cyclopropane Synthesis
Search for key terms or text.

8.9 • Addition of Carbenes to Alkenes: Cyclopropane Synthesis

Yet another kind of alkene addition is the reaction with a carbene to yield a cyclopropane. A carbene, R2C:, is a neutral molecule containing a divalent carbon with only six electrons in its valence shell. It is therefore highly reactive and generated only as a reaction intermediate, rather than as an isolable molecule. Because they’re electron-deficient, carbenes behave as electrophiles and react with nucleophilic C═CC═C bonds. The reaction occurs in a single step without intermediates.

A reaction shows an alkene reacting with a carbene to form a cyclopropane.

One of the simplest methods for generating a substituted carbene is by treatment of chloroform, CHCl3, with a strong base such as KOH. As shown in Figure 8.10, the loss of a proton from CHCl3 gives trichloromethanide anion, :CCl3, which spontaneously expels a Cl ion to yield dichlorocarbene, :CCl2.

Figure 8.10 MECHANISM
Mechanism of the formation of dichlorocarbene by reaction of chloroform with strong base. Deprotonation of CHCl3 gives the trichloromethanide anion, :CCl3:CCl3, which spontaneously expels a Cl ion.
A 2-step mechanism shows chloroform reacting with hydroxide ion to form trichloromethanide anion, which spontaneously decomposes to dichlorocarbene and chloride ion.

The carbon atom in dichlorocarbene is sp2-hybridized, with a vacant p orbital extending above and below the plane of the three atoms and with an unshared pair of electrons occupying the third sp2 lobe. Note that this electronic description of dichlorocarbene is similar to that of a carbocation (Section 7.9) with respect to both the sp2 hybridization of carbon and the vacant p orbital. Electrostatic potential maps further illustrate the similarity (Figure 8.11).

The figure shows electrostatic potential maps and structures of dichlorocarbene and a carbocation (s p 2-hybridized). The vacant p orbital is labeled in each structure.
Figure 8.11 The structure of dichlorocarbene. Electrostatic potential maps show how the positive region coincides with the empty p orbital in both dichlorocarbene and a carbocation (CH3+). The negative region in the dichlorocarbene map coincides with the lone-pair electrons.

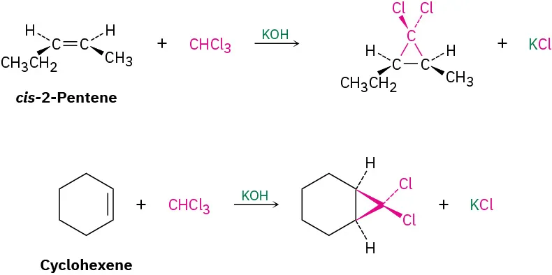
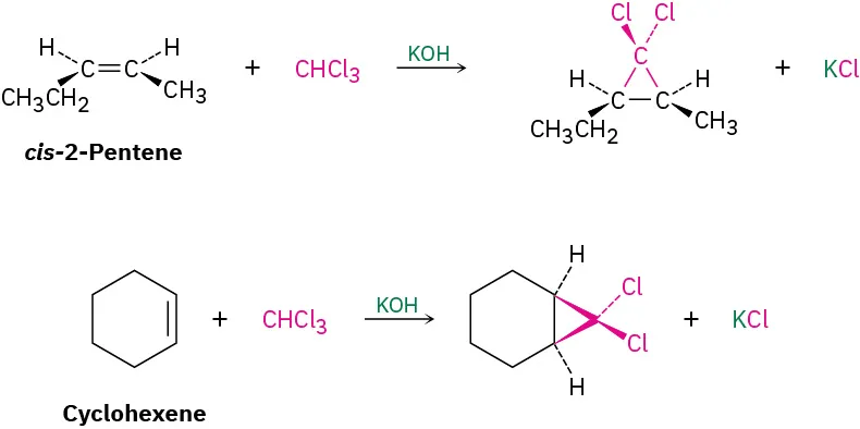
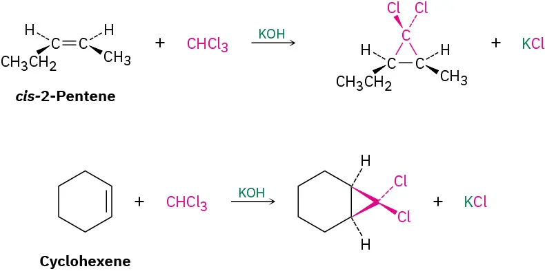
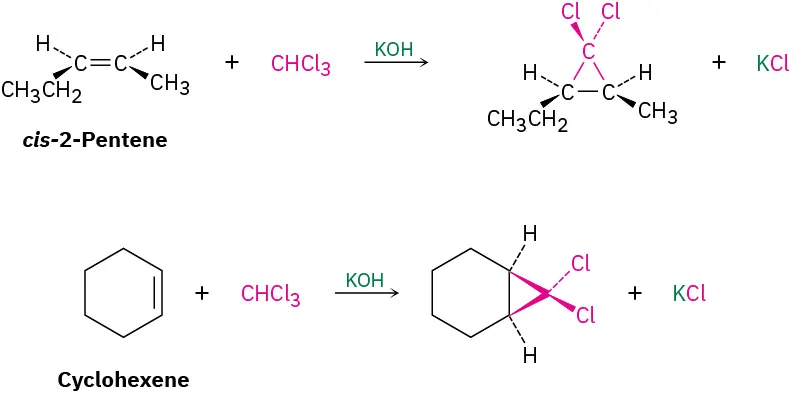
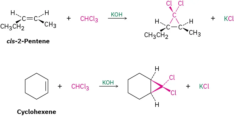
If dichlorocarbene is generated in the presence of an alkene, addition to the double bond occurs and a dichlorocyclopropane is formed. As the reaction of dichlorocarbene with cis-2-pentene demonstrates, the addition is stereospecific, meaning that only a single stereoisomer is formed as product. Starting from a cis alkene, for instance, only cis-disubstituted cyclopropane is produced; starting from a trans alkene, only trans-disubstituted cyclopropane is produced.

In the first reaction, cis-2-pentene reacts with chloroform in the presence of KOH to form a cis-dichlorocyclopropane. In the second reaction, cyclohexene reacts with chloroform in the presence of KOH.

The best method for preparing nonhalogenated cyclopropanes is by a process called the Simmons–Smith reaction. First investigated at the DuPont company, this reaction does not involve a free carbene. Rather, it utilizes a carbenoid—a metal-complexed reagent with carbene-like reactivity. When diiodomethane is treated with a specially prepared zinc–copper mix, (iodomethyl)zinc iodide, ICH2ZnI, is formed. In the presence of an alkene, ICH2ZnI transfers a CH2 group to the double bond to yield cyclopropane. For example, cyclohexene reacts cleanly and with good yield to give the corresponding cyclopropane. Although we won’t discuss the mechanistic details, carbene addition to an alkene is one of a general class of reactions called cycloadditions, which we’ll study more carefully in Chapter 30.

Diiodomethane reacts with zinc-copper to form (iodomethyl)zinc iodide. At bottom, cyclohexene reacts with diiodomethane to form bicylo[4.1.0]heptane with 92 percent yield and zinc iodide.
Problem 8-17
What products would you expect from the following reactions?
(a)
A reaction shows methylenecyclohexane reacting with chloroform in the presence of aqueous KOH to form unknown product(s), depicted by a question mark.
(b)
A 6-carbon chain with a double bond at C2 and methyl at C5 reacts with diiodomethane in the presence of zinc-copper to form unknown product(s), depicted by a question mark.
Citation/Attribution

This book may not be used in the training of large language models or otherwise be ingested into large language models or generative AI offerings without OpenStax's permission.

Want to cite, share, or modify this book? This book uses the Creative Commons Attribution-NonCommercial-ShareAlike License and you must attribute OpenStax.

Attribution information
  • If you are redistributing all or part of this book in a print format, then you must include on every physical page the following attribution:

    Access for free at https://openstax.org/books/organic-chemistry/pages/1-why-this-chapter

  • If you are redistributing all or part of this book in a digital format, then you must include on every digital page view the following attribution:

    Access for free at https://openstax.org/books/organic-chemistry/pages/1-why-this-chapter

Citation information

© Jul 9, 2025 OpenStax. Textbook content produced by OpenStax is licensed under a Creative Commons Attribution-NonCommercial-ShareAlike License . The OpenStax name, OpenStax logo, OpenStax book covers, OpenStax CNX name, and OpenStax CNX logo are not subject to the Creative Commons license and may not be reproduced without the prior and express written consent of Rice University.