Skip to ContentGo to accessibility pageKeyboard shortcuts menu
OpenStax Logo
Organic Chemistry

20.7 Chemistry of Nitriles

Organic Chemistry20.7 Chemistry of Nitriles
Search for key terms or text.

20.7 • Chemistry of Nitriles

Nitriles are analogous to carboxylic acids in that both have a carbon atom with three bonds to an electronegative atom and both contain a π bond. Thus, some reactions of nitriles and carboxylic acids are similar. Both kinds of compounds are electrophiles, for instance, and both undergo nucleophilic addition reactions.

In nitrile, carbon is triple-bonded to nitrogen and single-bonded to R. In acid, carbon has a bond to R, a double bond to oxygen, and a single bond to hydroxyl.

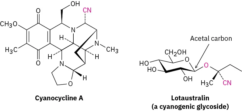
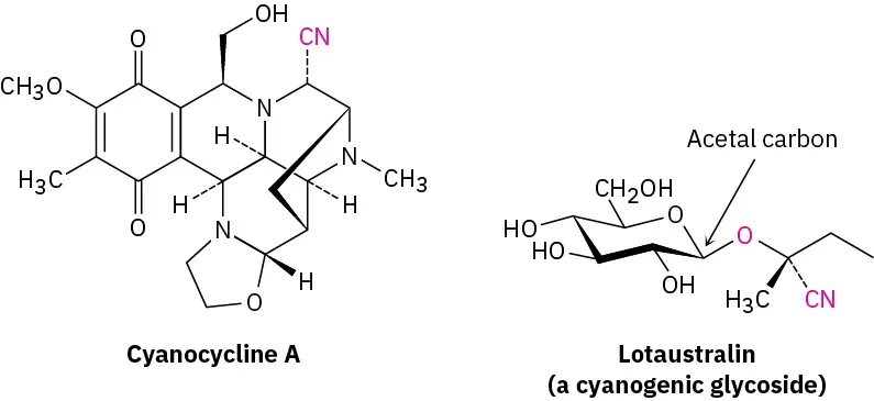
Nitriles occur infrequently in living organisms, although several hundred examples are known. Cyanocycline A, for instance, has been isolated from the bacterium Streptomyces lavendulae and was found to have both antimicrobial and antitumor activity. In addition, more than 1000 compounds called cyanogenic glycosides are known. Derived primarily from plants, cyanogenic glycosides contain a sugar with an acetal carbon, one oxygen of which is bonded to a nitrile-bearing carbon (sugar–O–C–CN). On hydrolysis with aqueous acid, the acetal is cleaved (Section 19.10), generating a cyanohydrin (HO–C–CN), which releases hydrogen cyanide. It’s thought that the primary function of cyanogenic glycosides is to protect the plant by poisoning any animal foolish enough to eat it. Lotaustralin from the cassava plant is an example.

The structures of Cyanocycline A and Lotaustralin. Lotaustralin is a cyanogenic glycoside with an acetal carbon (C with two R groups and two O R groups).

Preparation of Nitriles

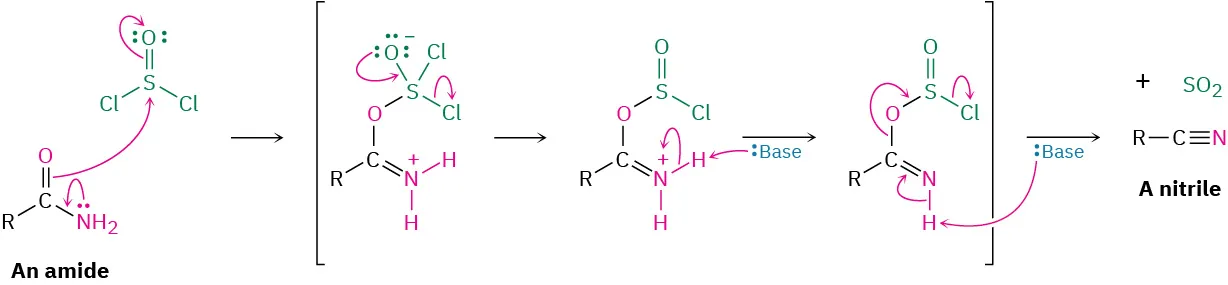
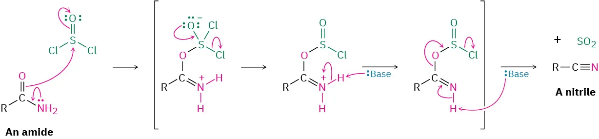
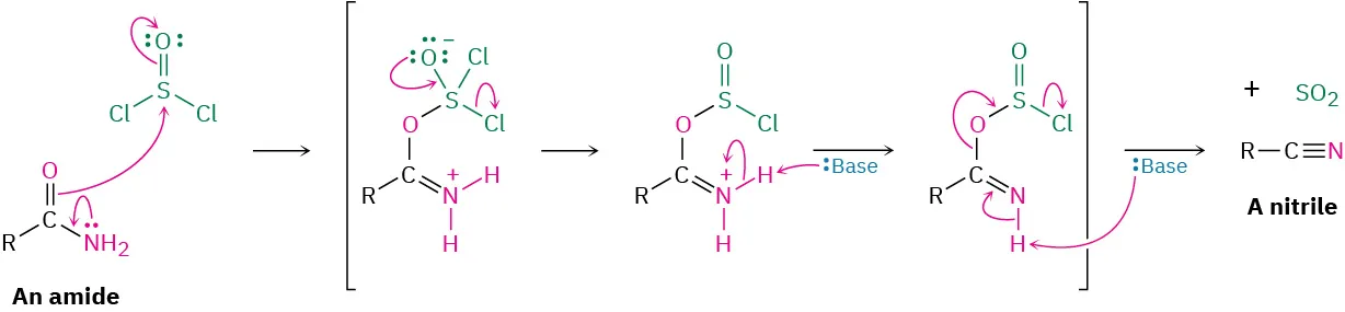
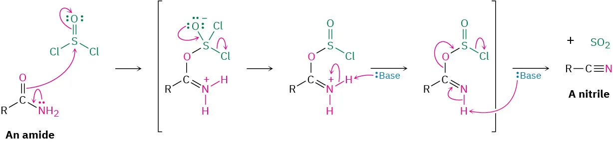
The simplest method of nitrile preparation is the SN2 reaction of CN with a primary or secondary alkyl halide, as discussed in Section 20.5. Another method for preparing nitriles is by dehydration of a primary amide, RCONH2. Thionyl chloride is often used for this reaction, although other dehydrating agents such as POCl3 also work.

The  reaction of 2-ethylhexanamide with thionyl chloride in benzene at 80 degrees Celsius forms 2-ethylhexanenitrile (94 percent yield), sulfur dioxide, and two equivalents of hydrogen chloride.

The dehydration occurs by initial reaction of SOCl2 on the nucleophilic amide oxygen atom, followed by deprotonation and a subsequent E2-like elimination reaction.

Reaction mechanism between amide and thionyl chloride. Nitrogen pushes electrons to carbonyl oxygen, results in O S bond. Subsequent loss of chlorine, deprotonation of N, loss of C O bond.

Both methods of nitrile synthesis—SN2 displacement by CN on an alkyl halide and amide dehydration—are useful, but the synthesis from amides is more general because it is not limited by steric hindrance.

Reactions of Nitriles

Like a carbonyl group, a nitrile group is strongly polarized and has an electrophilic carbon atom. Nitriles therefore react with nucleophiles to yield sp2-hybridized imine anions in a reaction analogous to the formation of a sp3-hybridized alkoxide ion by nucleophilic addition to a carbonyl group.

Nucleophilic attack on carbon of carbonyl compound forms carbanion and further forms products. Nucleophilic attack on nitrile carbon along with its ball-and-stick model forming imine ion and further forms products.

Some general reactions of nitriles are shown in Figure 20.4.

The conversion of nitriles to amides and carboxylic acids using water. Reduction of nitriles to amines using lithium aluminum hydride. The reaction of nitriles with Grignard reagent to give ketones.
Figure 20.4 Some reactions of nitriles.

Hydrolysis: Conversion of Nitriles into Carboxylic Acids

Among the most useful reactions of nitriles is their hydrolysis to yield first an amide and then a carboxylic acid plus ammonia or an amine. The reaction occurs in either basic or acidic aqueous solution:

Hydrolysis of nitriles to amide using acidic or basic aqueous solutions. Amide is hydrolyzed to carboxylic acid and ammonia using acidic or basic aqueous solutions.

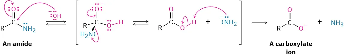
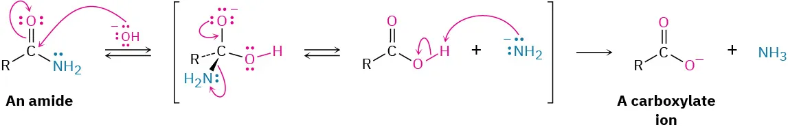
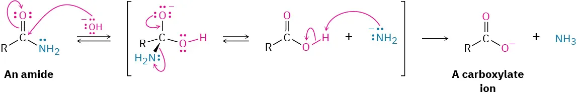
As shown in Figure 20.5, base-catalyzed nitrile hydrolysis involves nucleophilic addition of hydroxide ion to the polar C≡NC≡N bond to give an imine anion in a process similar to the nucleophilic addition to a polar C═OC═O bond to give an alkoxide anion. Protonation then gives a hydroxy imine, which tautomerizes (Section 9.4) to an amide in a step similar to the tautomerization of an enol to a ketone. Further hydrolysis gives a carboxylate ion.

Figure 20.5 MECHANISM
Mechanism for the basic hydrolysis of a nitrile to yield an amide, which is then hydrolyzed further to a carboxylic acid anion.
Base-catalyzed mechanism of nitrile hydrolysis to carboxylate anion via four reversible steps: nucleophilic addition of hydroxide to form imine anion, protonation to imine, tautomerization to amide, hydrolysis to carboxylate ion.

The further hydrolysis of the amide intermediate takes place by a nucleophilic addition of hydroxide ion to the amide carbonyl group, which yields a tetrahedral alkoxide ion. Expulsion of amide ion, NH2, as leaving group gives the carboxylate ion, thereby driving the reaction toward the products. Subsequent acidification in a separate step yields the carboxylic acid. We’ll look at this process in more detail in Section 21.7.

Nucleophilic attack on carbonyl carbon by hydroxide pushes electron density onto carbonyl oxygen; regenerating carbon-oxygen double bond expels amide ion. Proton abstraction by amide ions forms carboxylate ion and ammonia.

Reduction: Conversion of Nitriles into Amines

Reduction of a nitrile with LiAlH4 gives a primary amine, RNH2. The reaction occurs by nucleophilic addition of hydride ion to the polar C≡NC≡N bond, yielding an imine anion, which still contains a C═NC═N bond and therefore undergoes a second nucleophilic addition of hydride to give a dianion. Both monoanion and dianion intermediates are undoubtedly stabilized by Lewis acid–base complexation to an aluminum species, facilitating the second addition that would otherwise be difficult. Protonation of the dianion by addition of water in a subsequent step gives the amine.

Hydride ion from lithium aluminum hydride adds twice to nitrile, forming an imine and a dianion. Intermediate anions contain nitrogen bonded to aluminum chloride. Further, hydrolysis converts benzonitrile to benzylamine.

Reaction of Nitriles with Grignard Reagents

Grignard reagents add to a nitrile to give an intermediate imine anion that is hydrolyzed by addition of water to yield a ketone. The mechanism of the hydrolysis is the exact reverse of imine formation (see Figure 19.7).

Nucleophilic addition of Grignard reagent on nitrile carbon forms imine anion (intermediate). Hydrolysis by water converts imine ions to ketone and ammonia.

This reaction is similar to the reduction of a nitrile to an amine, except that only one nucleophilic addition occurs rather than two and the attacking nucleophile is a carbanion (R:) rather than a hydride ion. For example:

The conversion reaction of benzonitrile to propiophenone by reacting with ethylmagnesium bromide (Grignard reagent) in ether followed by acidic hydrolysis.

Worked Example 20.3

Synthesizing a Ketone from a Nitrile

How would you prepare 2-methyl-3-pentanone from a nitrile?

The condensed structure of 2-methyl-3-pentanone. The third carbon is double-bonded to an oxygen atom. A methyl group is attached to the second carbon.

Strategy

A ketone results from the reaction between a Grignard reagent and a nitrile, with the C≡NC≡N carbon of the nitrile becoming the carbonyl carbon. Identify the two groups attached to the carbonyl carbon atom in the product. One will come from the Grignard reagent and the other will come from the nitrile.

Solution

There are two possibilities.
The preparation of 2-methyl-3-pentanone by the reaction of nitrile and Grignard reagent. The first pathway used propionitrile and isopropylmagnesium bromide. The second pathway used isobutyronitrile and ethylmagnesium bromide.
Problem 20-13
How would you prepare the following carbonyl compounds from a nitrile?
(a)
The structure of pentan-3-one, a five-carbon chain with a carbonyl on C 3.
(b)
The structure of 1-(4-nitrophenyl)ethanone.
Problem 20-14
How would you prepare 1-phenyl-2-butanone, C6H5CH2COCH2CH3, from benzyl bromide, C6H5CH2Br? More than one step is needed.
Citation/Attribution

This book may not be used in the training of large language models or otherwise be ingested into large language models or generative AI offerings without OpenStax's permission.

Want to cite, share, or modify this book? This book uses the Creative Commons Attribution-NonCommercial-ShareAlike License and you must attribute OpenStax.

Attribution information
  • If you are redistributing all or part of this book in a print format, then you must include on every physical page the following attribution:

    Access for free at https://openstax.org/books/organic-chemistry/pages/1-why-this-chapter

  • If you are redistributing all or part of this book in a digital format, then you must include on every digital page view the following attribution:

    Access for free at https://openstax.org/books/organic-chemistry/pages/1-why-this-chapter

Citation information

© Jul 9, 2025 OpenStax. Textbook content produced by OpenStax is licensed under a Creative Commons Attribution-NonCommercial-ShareAlike License . The OpenStax name, OpenStax logo, OpenStax book covers, OpenStax CNX name, and OpenStax CNX logo are not subject to the Creative Commons license and may not be reproduced without the prior and express written consent of Rice University.