Skip to ContentGo to accessibility pageKeyboard shortcuts menu
OpenStax Logo
Organic Chemistry

19.4 Nucleophilic Addition Reactions of Aldehydes and Ketones

Organic Chemistry19.4 Nucleophilic Addition Reactions of Aldehydes and Ketones
Search for key terms or text.

19.4 • Nucleophilic Addition Reactions of Aldehydes and Ketones

As we saw in the Preview of Carbonyl Chemistry, the most general reaction of aldehydes and ketones is the nucleophilic addition reaction. As shown in Figure 19.2, a nucleophile, :Nu, approaches the carbonyl group from an angle of about 105° opposite the carbonyl oxygen and forms a bond to the electrophilic C–O carbon atom. At the same time, rehybridization of the carbonyl carbon from sp2 to sp3 occurs, an electron pair from the C═OC═O bond moves toward the electronegative oxygen atom, and a tetrahedral alkoxide ion intermediate is produced. Protonation of the alkoxide by addition of acid then gives an alcohol.

Figure 19.2 MECHANISM
A nucleophilic addition reaction to an aldehyde or ketone. The nucleophile approaches the carbonyl group from an angle of approximately 75° to the plane of the sp2 orbitals, the carbonyl carbon rehybridizes from sp2 to sp3, and an alkoxide ion is formed. Protonation by addition of acid then gives an alcohol.
Three-step reaction in which a nucleophile attacks the carbonyl carbon of aldehyde or ketone and forms an alkoxide ion. It further reacts with hydronium ions to form alcohol and water.

The nucleophile can be either negatively charged (:Nu) or neutral (:Nu). If it’s neutral, however, it usually carries a hydrogen atom that can subsequently be eliminated, :Nu–H. For example:

The structure and names of some negatively charged and neutral nucleophiles. Negatively charged nucleophiles include hydroxide, hydride, carbanion, alkoxide, and cyanide ions. Neutral nucleophiles include water, alcohol, ammonia, and amine.

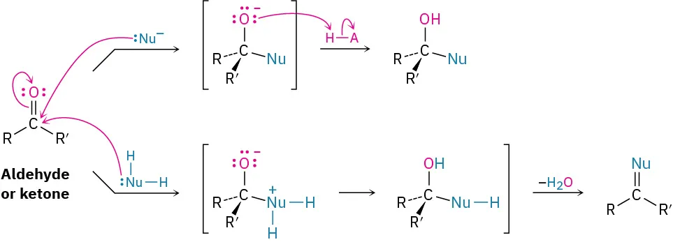
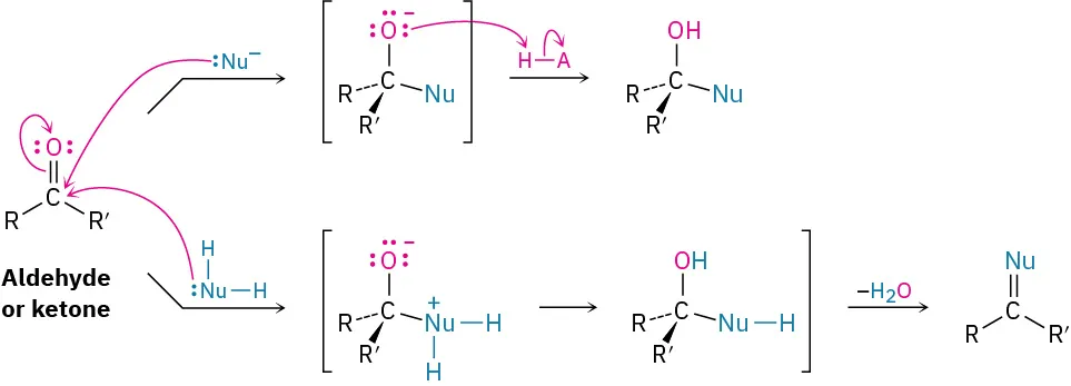
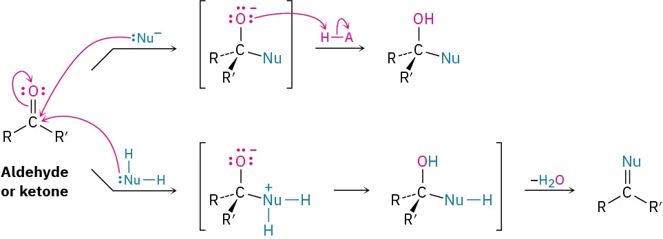
Nucleophilic additions to aldehydes and ketones have two general variations, as shown in Figure 19.3. In one variation, the tetrahedral intermediate is protonated by water or acid to give an alcohol as the final product. In the second variation, the carbonyl oxygen atom is protonated and then eliminated as HO or H2O to give a product with a C═NuC═Nu double bond.

Nucleophilic addition to aldehydes or ketones. With negative nucleophile, attack forms alkoxide, then alcohol after protonation. With neutral nucleophile with two hydrogens, water leaves after attack, double bond to nucleophile.
Figure 19.3 Two general reaction pathways following addition of a nucleophile to an aldehyde or ketone. The top pathway leads to an alcohol product; the bottom pathway leads to a product with a C═NuC═Nu double bond.

Aldehydes are generally more reactive than ketones in nucleophilic addition reactions for both steric and electronic reasons. Sterically, the presence of only one large substituent bonded to the C═OC═O carbon in an aldehyde versus two large substituents in a ketone means that a nucleophile is able to approach an aldehyde more readily. Thus, the transition state leading to the tetrahedral intermediate is less crowded and lower in energy for an aldehyde than for a ketone (Figure 19.4).

Ball-and-stick models of ethanal and acetone. It shows the nucleophilic attack on carbonyl and bond shifts in linear arrangements. Black, gray, and red spheres represent carbon, hydrogen, and oxygen, respectively.
Figure 19.4 Steric hindrance in nucleophilic addition reactions. (a) Nucleophilic addition to an aldehyde is sterically less hindered because only one relatively large substituent is attached to the carbonyl-group carbon. (b) A ketone, however, has two large substituents and is more hindered. The approach of the nucleophile is along the C═OC═O bond at an angle of about 75° to the plane of the carbon sp2 orbitals.

Electronically, aldehydes are more reactive than ketones because of the greater polarization of aldehyde carbonyl groups. To see this polarity difference, recall the stability order of carbocations (Section 7.9). A primary carbocation is higher in energy and thus more reactive than a secondary carbocation since it has only one alkyl group inductively stabilizing the positive charge rather than two. In the same way, an aldehyde has only one alkyl group inductively stabilizing the partial positive charge on the carbonyl carbon rather than two, and is a bit more electrophilic, and, therefore, more reactive than a ketone.

The structures of primary carbocation, secondary carbocation, aldehyde, and ketone. Primary carbocation is less stable but more reactive than secondary carbocation whereas aldehyde is more reactive than ketone.

One further comparison: aromatic aldehydes, such as benzaldehyde, are less reactive in nucleophilic addition reactions than aliphatic aldehydes because the electron-donating resonance effect of the aromatic ring makes the carbonyl group less electrophilic. Comparing electrostatic potential maps of formaldehyde and benzaldehyde, for example, shows that the carbonyl carbon atom is less positive (less blue) in the aromatic aldehyde.

The four resonance structures of benzaldehyde. The ball-and-stick model in electrostatic potential maps of formaldehyde and benzaldehyde in which an arrow points towards the carbonyl carbon in both structures.
Problem 19-5
Treatment of an aldehyde or ketone with cyanide ion (:C N), followed by protonation of the tetrahedral alkoxide ion intermediate, gives a cyanohydrin. Show the structure of the cyanohydrin obtained from cyclohexanone.
Problem 19-6
p-Nitrobenzaldehyde is more reactive toward nucleophilic additions than p-methoxybenzaldehyde. Explain.
Citation/Attribution

This book may not be used in the training of large language models or otherwise be ingested into large language models or generative AI offerings without OpenStax's permission.

Want to cite, share, or modify this book? This book uses the Creative Commons Attribution-NonCommercial-ShareAlike License and you must attribute OpenStax.

Attribution information
  • If you are redistributing all or part of this book in a print format, then you must include on every physical page the following attribution:

    Access for free at https://openstax.org/books/organic-chemistry/pages/1-why-this-chapter

  • If you are redistributing all or part of this book in a digital format, then you must include on every digital page view the following attribution:

    Access for free at https://openstax.org/books/organic-chemistry/pages/1-why-this-chapter

Citation information

© Jul 9, 2025 OpenStax. Textbook content produced by OpenStax is licensed under a Creative Commons Attribution-NonCommercial-ShareAlike License . The OpenStax name, OpenStax logo, OpenStax book covers, OpenStax CNX name, and OpenStax CNX logo are not subject to the Creative Commons license and may not be reproduced without the prior and express written consent of Rice University.