Skip to ContentGo to accessibility pageKeyboard shortcuts menu
OpenStax Logo
Organic Chemistry

Preview of Carbonyl Chemistry

Organic ChemistryPreview of Carbonyl Chemistry
Search for key terms or text.

18 • Preview of Carbonyl Chemistry

18 • Preview of Carbonyl Chemistry

Carbonyl compounds are everywhere. Most biological molecules contain carbonyl groups, as do most pharmaceutical agents and many of the synthetic chemicals that affect our everyday lives. Citric acid, found in lemons and oranges; acetaminophen, the active ingredient in many over-the-counter headache remedies; and Dacron, the polyester material used in clothing, all contain different kinds of carbonyl groups.

The structures of three compounds. Citric acid has a carboxylic acid functional group, acetaminophen has an amide functional group, and dacron which is polyester.

To a great extent, the chemistry of living organisms is the chemistry of carbonyl compounds. Thus, we’ll spend the next five chapters discussing the chemistry of the carbonyl group, C=OC=O (pronounced car-bo-neel). There are many different kinds of carbonyl compounds and many different reactions, but there are only a few fundamental principles that tie the entire field together. The purpose of this brief preview is not to show details of specific reactions but rather to provide a framework for learning carbonyl-group chemistry. Read through this preview now, and return to it on occasion to remind yourself of the larger picture.

I Kinds of Carbonyl Compounds

Table 18.2 shows some of the many different kinds of carbonyl compounds. All contain an acyl group (RC=ORC=O) bonded to another substituent. The R part of the acyl group can be practically any organic part/structure, and the other substituent to which the acyl group is bonded might be a carbon, hydrogen, oxygen, halogen, nitrogen, or sulfur.

Table 18.2 Some Types of Carbonyl Compounds
Name General formula Name ending
Aldehyde The structure of aldehyde in which the central carbon atom bonded to a hydrogen, R group and double bonded to oxygen. -al
Ketone The structure of ketone in which the central carbon atom bonded to an R prime, R group and double bonded to oxygen. -one
Carboxylic acid The structure of carboxylic acid in which the R group is bonded to the carbon of C O O H. -oic acid
Acid halide The structure of acid halide in which the carbonyl group is attached to R and X on the left and right sides, respectively. -yl or -oyl halide
Acid anhydride The structure of acid anhydride in which two acyl groups are attached to an oxygen atom. -oic anhydride
Acyl phosphate The structure of acyl phosphate in which a phosphate group is linked to an acyl group. -yl phosphate
Ester The structure of ester in which an R group and an O R prime group are bonded to the carbonyl group on the left and right sides, respectively. -oate
Lactone (cyclic ester) The structure of lactone, a cyclic ester, in which the alkyl group from one side of the carbonyl is bonded through a cyclic structure to the oxygen on the other side. None
Thioester The structure of thioester in which an R group and an S R prime group are bonded to the carbonyl group on the left and right sides, respectively. -thioate
Amide The structure of amide, a carbonyl with one R group and one nitrogen with two open bonds. -amide
Lactam (cyclic amide) The structure of lactam, a cyclic amide, in which the alkyl group from one side of the carbonyl is bonded through a cyclic structure to the nitrogen on the other side. None

It’s useful to classify carbonyl compounds into two categories based on the kinds of chemistry they undergo. In one category are aldehydes and ketones; in the other are carboxylic acids and their derivatives. The acyl group in an aldehyde or ketone is bonded to an atom (H or C, respectively) that can’t stabilize a negative charge and therefore can’t act as a leaving group in a nucleophilic substitution reaction. The acyl group in a carboxylic acid or its derivative, however, is bonded to an atom (oxygen, halogen, sulfur, nitrogen) that can stabilize a negative charge and therefore can act as a leaving group in a nucleophilic substitution reaction.

Aldehydes and ketones lack appropriate leaving groups for nucleophilic substitution, whereas compounds like carboxylic acids, acid halides, esters, thioesters, amides, acid anhydrides, and acyl phosphates have suitable leaving groups.

II Nature of the Carbonyl Group

The carbon–oxygen double bond of a carbonyl group is similar in many respects to the carbon–carbon double bond of an alkene. The carbonyl carbon atom is sp2-hybridized and forms three σ bonds. The fourth valence electron remains in a carbon p orbital and forms a π bond to oxygen by overlapping with an oxygen p orbital. The oxygen atom also has two nonbonding pairs of electrons, which occupy its remaining two orbitals.

The orbital representation of carbonyl group and alkene. The electrostatic potential map demonstrates the likeness between the carbonyl group's double bonds and highlights nonbonding electron pairs on the oxygen atom.

Like alkenes, carbonyl compounds are planar about the double bond and have bond angles of approximately 120°. Figure 18.8 shows the structure of acetaldehyde and indicates its bond lengths and angles. As you might expect, the carbon–oxygen double bond is both shorter (122 pm versus 143 pm) and stronger [732 kJ/mol (175 kcal/mol) versus 385 kJ/mol (92 kcal/mol)] than a C–O single bond.

The structure and ball-and-stick model in the electrostatic potential map of acetaldehyde. Values of bond lengths and bond angles are mentioned. Electron-rich and electron-poor atoms in the model are labeled.
Figure 18.8 Structure of acetaldehyde.

As indicated by the electrostatic potential map in Figure 18.8, the carbon–oxygen double bond is strongly polarized because of the high electronegativity of oxygen relative to carbon. Thus, the carbonyl carbon atom carries a partial positive charge, is an electrophilic (Lewis acidic) site, and reacts with nucleophiles. Conversely, the carbonyl oxygen atom carries a partial negative charge, is a nucleophilic (Lewis basic) site, and reacts with electrophiles. We’ll see in the next five chapters that the majority of carbonyl-group reactions can be rationalized by simple polarity arguments.

III General Reactions of Carbonyl Compounds

Both in the laboratory and in living organisms, most reactions of carbonyl compounds take place by one of four general mechanisms: nucleophilic addition, nucleophilic acyl substitution, alpha substitution, and carbonyl condensation. These mechanisms have many variations, just as alkene electrophilic addition reactions and SN2 reactions do, but the variations are much easier to learn when the fundamental features of the mechanisms are made clear. Let’s see what the four mechanisms are and what kinds of chemistry carbonyl compounds undergo.

Nucleophilic Addition Reactions of Aldehydes and Ketones (Chapter 19)

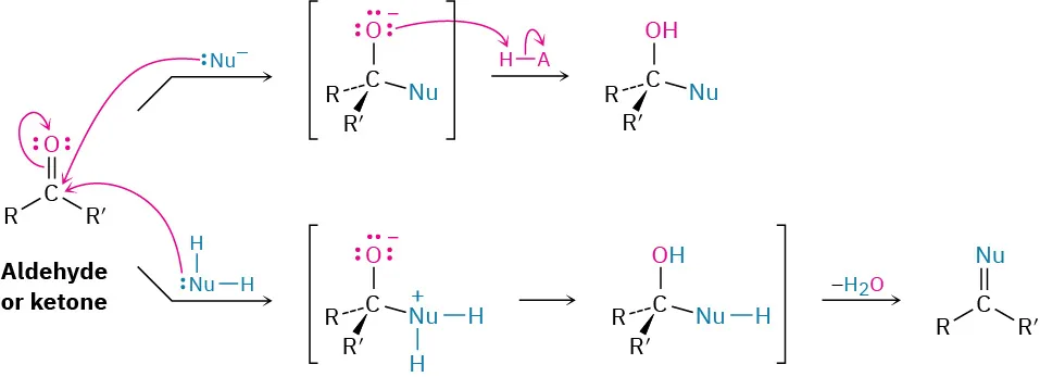
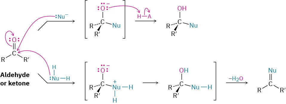
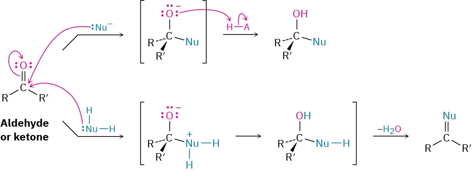
The most common reaction of aldehydes and ketones is the nucleophilic addition reaction, in which a nucleophile, :Nu, adds to the electrophilic carbon of the carbonyl group. Because the nucleophile uses an electron pair to form a new bond to carbon, two electrons from the carbon–oxygen double bond must move toward the electronegative oxygen atom to give an alkoxide anion. The carbonyl carbon rehybridizes from sp2 to sp3 during the reaction, and the alkoxide ion product therefore has tetrahedral geometry.

The reversible reactions show the formation of a tetrahedral intermediate (s p 3 hybridized) formed from the attack of a nucleophile on the carbonyl compound (s p 2 hybridized).

Once formed, and depending on the nature of the nucleophile, the tetrahedral alkoxide intermediate can undergo one of two further reactions, as shown in Figure 18.9. Often, the tetrahedral alkoxide intermediate is simply protonated by water or acid to form an alcohol product. Alternatively, the tetrahedral intermediate can be protonated and expel the oxygen to form a new double bond between the carbonyl carbon and the nucleophile. We’ll study both processes in detail in Chapter 19.

Aldehyde or ketone addition to nucleophile yields either an alcohol or a C double bonded to N u product, based on the nucleophile.
Figure 18.9 The addition reaction of an aldehyde or a ketone with a nucleophile. Depending on the nucleophile, either an alcohol or a compound with a CNuCNu double bond is formed.

FORMATION OF AN ALCOHOL

The simplest reaction of a tetrahedral alkoxide intermediate is protonation to yield an alcohol. We’ve already seen two examples of this kind of process during reduction of aldehydes and ketones with hydride reagents such as NaBH4 and LiAlH4 (Section 17.4) and during Grignard reactions (Section 17.5). During a reduction, the nucleophile that adds to the carbonyl group is a hydride ion, H:, while during a Grignard reaction, the nucleophile is a carbanion, R3C:.

Reduction reaction involves ketones or aldehydes converting to alcohols. The Grignard reaction involves the conversion of ketones or aldehydes to alcohols. Both reactions progress via a tetrahedral intermediate.

FORMATION OF C=NuC=Nu

The second mode of nucleophilic addition, which often occurs with amine nucleophiles, involves elimination of oxygen and formation of a C=NuC=Nu double bond. For example, aldehydes and ketones react with primary amines, RNH2, to form imines, R2C=NRR2C=NR. These reactions use the same kind of tetrahedral intermediate as that formed during hydride reduction and Grignard reaction, but the initially formed alkoxide ion is not isolated. Instead, it is protonated and then loses water to form an imine, as shown in Figure 18.10.

Figure 18.10 MECHANISM
Formation of an imine, R2C=NR′, by reaction of an amine with an aldehyde or a ketone.
Mechanism of reaction of an amine with aldehyde or ketone; attack produces tetrahedral structure, protonation of oxygen follows, loss of O H minus gives neutral imine.

Nucleophilic Acyl Substitution Reactions of Carboxylic Acid Derivatives (Chapter 21)

The second fundamental reaction of carbonyl compounds, nucleophilic acyl substitution, is related to the nucleophilic addition reaction just discussed but occurs only with carboxylic acid derivatives rather than with aldehydes and ketones. When the carbonyl group of a carboxylic acid derivative reacts with a nucleophile, addition occurs in the usual way, but the initially formed tetrahedral alkoxide intermediate is not isolated. Because carboxylic acid derivatives have a leaving group bonded to the carbonyl-group carbon, the tetrahedral intermediate can react further by expelling the leaving group and forming a new carbonyl compound:

A carboxylic acid derivative reaction involving nucleophile addition that leads to a tetrahedral intermediate, which then eliminates the leaving group to form a new carbonyl compound.

The net effect of nucleophilic acyl substitution is the replacement of the leaving group by the entering nucleophile. We’ll see in Chapter 21, for instance, that acid chlorides are rapidly converted into esters by treatment with alkoxide ions (Figure 18.11).

Figure 18.11 MECHANISM
Nucleophilic acyl substitution of an acid chloride with an alkoxide ion yields an ester.
An alkoxide ion adds to an acid chloride, forming a tetrahedral intermediate, which then leads to the substitution of a chloride ion with oxygen, resulting in an ester product.

Alpha-Substitution Reactions (Chapter 22)

The third major reaction of carbonyl compounds, alpha substitution, occurs at the position next to the carbonyl group—the alpha (α) position. This reaction results in the substitution of an α hydrogen by an electrophile through the formation of an intermediate enol or enolate ion:

A carbonyl with an alpha hydrogen is shown in equilibrium with enol or enolate; either of these can then react with an electrophile to produce an alpha-substituted carbonyl.

For reasons that we’ll explore in Chapter 22, the presence of a carbonyl group renders the hydrogens on the α carbon acidic. Carbonyl compounds therefore react with strong base to yield enolate ions.

Base abstracts the alpha proton on a carbonyl to produce a carbanion, which is resonance-stabilized by formation of enolate.

Because they’re negatively charged, enolate ions act as nucleophiles and undergo many of the reactions we’ve already studied. For example, enolates react with primary alkyl halides in the SN2 reaction. The nucleophilic enolate ion displaces halide ion, and a new C–C bond forms:

Base abstracts alpha proton of carbonyl to produce carbanion, shown in resonance with enolate. Enolate attacks R C H 2 X via S N 2 to produce alpha substituted carbonyl.

The SN2 alkylation reaction between an enolate ion and an alkyl halide is a powerful method for making C–C bonds, thereby building up larger molecules from smaller precursors. We’ll study the alkylation of many kinds of carbonyl compounds in Chapter 22.

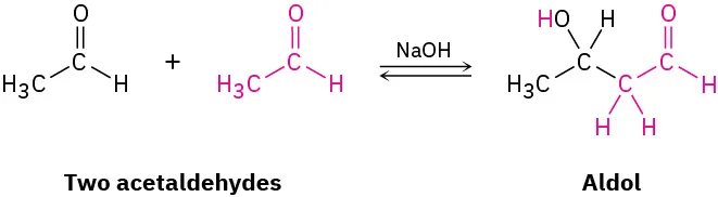
Carbonyl Condensation Reactions (Chapter 23)

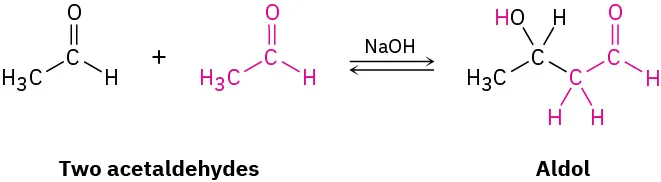
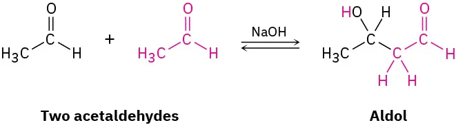
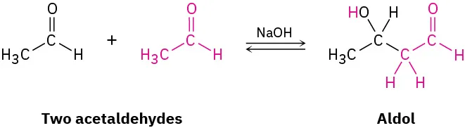
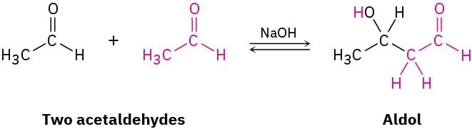
The fourth and last fundamental reaction of carbonyl groups, carbonyl condensation, takes place when two carbonyl compounds react with each other. When acetaldehyde is treated with base, for instance, two molecules combine to yield the hydroxy aldehyde product known as aldol (aldehyde + alcohol):

Two equivalents of acetaldehyde in sodium hydroxide produce 3-hydroxybutanal, an aldol.

Although carbonyl condensation appears to be different from the three processes already discussed, it’s actually quite similar. A carbonyl condensation reaction is simply a combination of a nucleophilic addition step and an α-substitution step. The initially formed enolate ion of one acetaldehyde molecule acts as a nucleophile and adds to the carbonyl group of another acetaldehyde molecule, as shown in Figure 18.12.

Figure 18.12 MECHANISM
A carbonyl condensation reaction between two molecules of acetaldehyde yields a hydroxy aldehyde product.
Mechanism of enolate formation: hydroxide abstracts alpha proton from acetaldehyde, carbanion attacks carbonyl of another acetaldehyde, protonation generates neutral 3-hydroxybutanal product.

IV Summary

To a great extent, the chemistry of living organisms is the chemistry of carbonyl compounds. We have not looked at the details of specific carbonyl reactions in this short preview but rather have laid the groundwork for the next five chapters. All the carbonyl-group reactions we’ll be studying in Chapters 19 through 23 fall into one of the four fundamental categories discussed in this preview. Knowing where we’ll be heading should help you keep matters straight in understanding this most important of all functional groups.

Problem 18-69

Judging from the following electrostatic potential maps, which kind of carbonyl compound has the more electrophilic carbonyl carbon atom, a ketone or an acid chloride? Which has the more nucleophilic carbonyl oxygen atom? Explain.

The ball-and-stick model in electrostatic potential maps of acetone (ketone) and acetyl chloride (acid chloride). An arrow points toward the carbon atom that is bonded with oxygen.
Problem 18-70

Predict the product formed by nucleophilic addition of cyanide ion (CN) to the carbonyl group of acetone, followed by protonation to give an alcohol:

Acetone reacts with cyanide ion in the first step and hydronium ion in the second step to form an unknown product(s), depicted by a question mark.
Problem 18-71
Identify each of the following reactions as a nucleophilic addition, nucleophilic acyl substitution, an α substitution, or a carbonyl condensation:
(a)
Acetyl chloride reacts with ammonia to yield acetamide via nucleophilic acyl substitution.
(b)
Acetaldehyde reacts with hydroxylamine to yield acetaldoxime via nucleophilic addition.
(c)
Two molecules of cyclopentanone react with sodium hydroxide to yield a product in which a cyclopentanol ring is bonded with a cyclopentanone ring via carbonyl condensation.
Citation/Attribution

This book may not be used in the training of large language models or otherwise be ingested into large language models or generative AI offerings without OpenStax's permission.

Want to cite, share, or modify this book? This book uses the Creative Commons Attribution-NonCommercial-ShareAlike License and you must attribute OpenStax.

Attribution information
  • If you are redistributing all or part of this book in a print format, then you must include on every physical page the following attribution:

    Access for free at https://openstax.org/books/organic-chemistry/pages/1-why-this-chapter

  • If you are redistributing all or part of this book in a digital format, then you must include on every digital page view the following attribution:

    Access for free at https://openstax.org/books/organic-chemistry/pages/1-why-this-chapter

Citation information

© Jul 9, 2025 OpenStax. Textbook content produced by OpenStax is licensed under a Creative Commons Attribution-NonCommercial-ShareAlike License . The OpenStax name, OpenStax logo, OpenStax book covers, OpenStax CNX name, and OpenStax CNX logo are not subject to the Creative Commons license and may not be reproduced without the prior and express written consent of Rice University.