Skip to ContentGo to accessibility pageKeyboard shortcuts menu
OpenStax Logo
Organic Chemistry

Additional Problems

Organic ChemistryAdditional Problems
Search for key terms or text.

18 • Additional Problems

18 • Additional Problems

Visualizing Chemistry

Problem 18-19
Give IUPAC names for the following compounds (red = O; reddish brown = Br; yellow = S):
(a)
The ball-and-stick model of the compound in which a six-membered ring is bonded with an ethyl group via an ether linkage.
(b)
The ball-and-stick model of the compound in which a six-membered cyclic ring is bonded with an epoxide ring. It has an alkene structure with a carbonyl group.
(c)
The ball-and-stick model of the compound in which a five-membered cyclic ring is bonded with an ethyl group to which a thiol group is bonded.
Problem 18-20

Show the product, including stereochemistry, that would result from reaction of the following epoxide with HBr:

A ball-and-stick model with a benzene ring linked to an epoxide ring which is connected to hydrogen and two methyl groups on both sides.
Problem 18-21

Show the product, including stereochemistry, of the following reaction:

The ball-and-stick model of the reactant having a six-membered ring fused with an epoxide ring reacts with methyl magnesium bromide, ether, and hydronium ion. The product is unknown.
Problem 18-22

Treatment of the following alkene with a peroxyacid yields an epoxide different from that obtained by reaction with aqueous Br2 followed by base treatment. Propose structures for the two epoxides, and explain the result.

The ball-and-stick model of cyclopentene ring with double bond at C 1, methyl groups on C 4, and a chain of two methylene groups connecting C 3 and C 5.

Mechanism Problems

Problem 18-23
Predict the product(s) and provide the mechanism for each of the following reactions.
(a)
2-Ethoxypropane reacts with hydrogen iodide (H I) to form an unknown product(s), depicted with a question mark.
(b)
Ethoxybenzene reacts with hydrogen bromide to form an unknown product(s), depicted with a question mark.
Problem 18-24
Predict the product(s) and provide the mechanism for each of the following reactions.
(a)
Tert-butyl ethyl ether reacts with hydrogen bromide to form an unknown product(s), depicted with a question mark.
(b)
Tert-butoxybenzene reacts with hydrogen bromide to form an unknown product(s), depicted with a question mark.
Problem 18-25
Predict the product(s) and provide the mechanism for each of the following two-step processes.
(a)
1-propanol reacts with sodium hydride, then 1-bromopropane to form an unknown product(s), depicted with a question mark.
(b)
Cyclopentanol reacts with sodium hydride, then methyl p-toluenesulfonate to form unknown product(s), depicted with a question mark.
Problem 18-26

The alkoxymercuration of alkenes involves the formation of an organomercury intermediate (I), which is reduced with NaBH4 to give an ether product. Predict the ether product and provide the mechanism for the following reaction.

Ethylidenecyclopentane reacts with mercury(II) trifluoroacetate and ethanol to create an intermediate (I), followed by reaction with sodium borohydride to form an unknown product(s), depicted with a question mark.
Problem 18-27
Predict the product(s) and provide the mechanism for the following reactions:
(a)
1,2-Epoxy-2-methylcyclohexane reacts with methylmagnesium bromide, then hydronium ion to form an unknown product(s), depicted with a question mark.
(b)
(2S)-ethyloxirane reacts with hydrogen bromide and ether to form an unknown product.
Problem 18-28
Predict the product(s) and provide the mechanism for each of the following reactions.
(a)
1,2-Epoxy-2-methylcyclohexane reacts with hydrogen bromide in the presence of ether to form an unknown product(s), depicted with a question mark.
(b)
Ethylene oxide with one carbon in common with a cyclohexane and a methyl on the other carbon (R configuration) reacts with hydronium to form unknown product(s).
Problem 18-29

In the formation of the prepolymer used to make epoxy resins, two equivalents of phenol react with epichlorohydrin in the presence of a base. Show the product and mechanism when two moles of phenol react with epichlorohydrin.

A chemical reaction between two equivalents of phenol and epichlorohydrin with sodium hydroxide and water leads to form an unknown product(s), depicted with a question mark.
Problem 18-30

Ethers undergo an acid-catalyzed cleavage reaction when treated with the Lewis acid BBr3 at room temperature. Propose a mechanism for the reaction.

Anisole reacts with boron tribromide, then water to form phenol and methyl bromide.
Problem 18-31

Treatment of 1,1-diphenyl-1,2-epoxyethane with aqueous acid yields diphenyl acetaldehyde as the major product. Propose a mechanism for the reaction.

An epoxide ring bonded to two phenyl groups at C 2 reacts with hydronium ion to form an aldehyde product in which C 2 is bonded with two phenyl groups.
Problem 18-32

Fluoxetine, a heavily prescribed antidepressant marketed under the name Prozac, can be prepared by a route that begins with reaction between a phenol and an alkyl chloride.

4-trifluoromethylphenol reacts with an alkyl chloride with phenyl and amine groups in potassium hydroxide and D M S O to produce fluoxetine through a series of steps.
(a)
The rate of the reaction depends on both phenol and alkyl halide. Is this an SN1 or an SN2 reaction? Show the mechanism.
(b)
The physiologically active enantiomer of fluoxetine has (S) stereochemistry. Based on your answer in part (a), draw the structure of the alkyl chloride you would need, showing the correct stereochemistry.
Problem 18-33

When 2-methyl-2,5-pentanediol is treated with sulfuric acid, dehydration occurs and 2,2-dimethyltetrahydrofuran is formed. Suggest a mechanism for this reaction. Which of the two oxygen atoms is most likely to be eliminated, and why?

The structure of 2,2-dimethyltetrahydrofuran. It comprises a five-membered ring incorporating one oxygen, connected to two methyl groups at C2.
Problem 18-34
Methyl aryl ethers, such as anisole, are cleaved to iodomethane and a phenoxide ion by treatment with LiI in hot DMF. Propose a mechanism for this reaction.
Problem 18-35

The herbicide acifluorfen can be prepared by a route that begins with reaction between a phenol and an aryl fluoride. Propose a mechanism.

A substituted phenol and sutstituted aryl fluoride react in potassium hydride and dimethyl sulfoxide to yield acifluorfen through a series of steps.
Problem 18-36

Aldehydes and ketones undergo acid-catalyzed reaction with alcohols to yield hemiacetals, from aldehydes or ketals with ketones compounds that have one alcohol-like oxygen and one ether-like oxygen bonded to the same carbon. Further reaction of a hemiacetal with alcohol then yields an acetal, a compound that has two ether-like oxygens bonded to the same carbon.

A carbonyl and R O H react in acid catalyst to produce a hemiacetal; further reaction produces an acetal and water.
(a)
Show the structures of the hemiketal and ketal you would obtain by reaction of cyclohexanone with ethanol.
(b)
Propose a mechanism for the conversion of a hemiacetal into a ketal.
Problem 18-37

Propose a mechanism to account for the following transformation. What two kinds of reactions are occurring?

Two reactants, including a substituted benzene and maleic anhydride, undergo a heat-induced reaction to form a fused cyclohexene-cyclopentane compound with distinct molecular arrangements.

Naming Ethers

Problem 18-38
Draw structures corresponding to the following IUPAC names:
(a)
Ethyl 1-ethylpropyl ether
(b)
Di(p-chlorophenyl) ether
(c)
3,4-Dimethoxybenzoic acid
(d)
Cyclopentyloxycyclohexane
(e)
4-Allyl-2-methoxyphenol (eugenol; from oil of cloves)
Problem 18-39

Give IUPAC names for the following structures:

(a)
A sulfur atom connected to a cyclohexane group and an isopropyl group.
(b)
A benzene ring with O C H 3 substituents on two adjacent carbons.
(c)
A five-membered ring in which two adjacent carbons are also connected by a shared oxygen atom.
(d)
A five-membered ring in which one member is an oxygen. The ring is numbered starting at oxygen (1); there is a C H 3 on C 2.
(e)
An oxygen atom connected to an isopropyl group and a cyclopropyl group.
(f)
A benzene ring with an S H substituent and, on an adjacent carbon, a nitro group.
(g)
A sulfur with an isopropyl on the right, and a five-carbon chain on the left with methyl groups on (from left) third, fourth, and fifth carbons.
(h)
A central carbon with two methyl and two methoxy substituents.
(i)
A cyclohexane in which one carbon is substituted with two S C H 3 groups.

Synthesizing Ethers

Problem 18-40
How would you prepare the following ethers?
(a)
A central oxygen connected to a benzene ring and an ethyl group.
(b)
A central oxygen connected to a benzene ring and an isopropyl group.
(c)
An oxirane drawn with oxygen on top, wedge hydrogen and dash methyl on left, and wedge methyl and dash hydrogen on right.
(d)
A central oxygen connected to a cyclopentane ring and a t-butyl group.
(e)
A cyclohexane with a wedge methoxy and dash hydrogen on one carbon, and on the adjacent (clockwise) carbon, a wedge hydrogen and dash methoxy.
(f)
A cyclohexane with a wedge methoxy and dash hydrogen on one carbon, and on the adjacent (clockwise) carbon, a wedge deuterium and dash hydrogen.
Problem 18-41
How would you prepare the following compounds from 1-phenylethanol?
(a)
Methyl 1-phenylethyl ether
(b)
Phenylepoxyethane
(c)
1-Phenylethanethiol
(d)
tert-Butyl 1-phenylethyl ether
Problem 18-42
tert-Butyl ethers can be prepared by the reaction of an alcohol with 2-methylpropene in the presence of an acid catalyst. Propose a mechanism for this reaction.
Problem 18-43

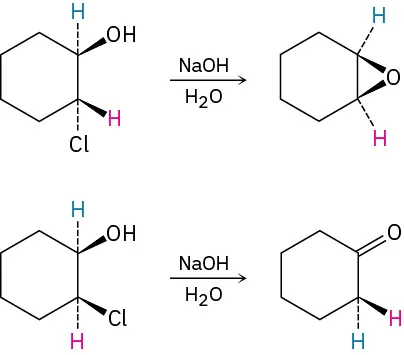
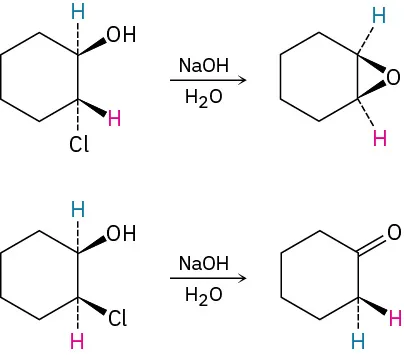
Treatment of trans-2-chlorocyclohexanol with NaOH yields 1,2-epoxycyclohexane, but reaction of the cis isomer under the same conditions yields cyclohexanone. Propose mechanisms for both reactions, and explain why the different results are obtained.

Reactions alter trans-2-chlorocyclohexanol to 1,2-epoxycyclohexane and cis-2-chlorocyclohexanol isomer to cyclohexanone, each utilizing sodium hydroxide and water.

Reactions of Ethers and Epoxides

Problem 18-44
Predict the products of the following ether cleavage reactions:
(a)
Cyclohexyl ethyl ether reacts with hydroiodic acid and water to produce unknown product(s), depicted by a question mark.
(b)
T-butyl phenyl ether reacts with trifluoroacetic acid to produce unknown product(s), depicted by a question mark.
(c)
Ethyl vinyl ether reacts with hydroiodic acid and water to produce unknown product(s), depicted by a question mark.
(d)
Ethyl neopentyl ether reacts with hydroiodic acid and water to produce unknown product(s), depicted by a question mark.
Problem 18-45
How would you carry out the following transformations? More than one step may be required.
(a)
Cyclohexene reacts with unknown reagent(s) to produce cyclohexyl ethyl ether.
(b)
Cis-1-methoxy-4-methylcyclohexane reacts with unknown reagent(s) to produce trans-1-bromo-4-methylcyclohexane.
(c)
4-t-butylcyclohexene reacts with unknown reagent(s) to produce cyclohexane with (counterclockwise) wedge hydroxide on C 1, dash hydroxide on C 2, wedge t-butyl on C 4.
(d)
1-hexyne is converted into hexyl methyl ether in the presence of an unknown reactant(s), depicted by a question mark.
(e)
1-hexyne is converted into 2-methoxyhexane in the presence of an unknown reactant(s), depicted by a question mark.
Problem 18-46
What product would you expect from cleavage of tetrahydrofuran with HI?
Problem 18-47
Write the mechanism of the hydrolysis of cis-5,6-epoxydecane by reaction with aqueous acid. What is the stereochemistry of the product, assuming normal backside SN2 attack?
Problem 18-48
What is the stereochemistry of the product from acid-catalyzed hydrolysis of trans-5,6-epoxydecane? How does the product differ from that formed in Problem 18-47?
Problem 18-49
Acid-catalyzed hydrolysis of a 1,2-epoxycyclohexane produces a trans-diaxial 1,2-diol. What product would you expect to obtain from acidic hydrolysis of cis-3-tert-butyl-1,2-epoxycyclohexane? (Recall that the bulky tert-butyl group locks the cyclohexane ring into a specific conformation.)
Problem 18-50

Imagine that you have treated (2R,3R)-2,3-epoxy-3-methylpentane with aqueous acid to carry out a ring-opening reaction.

The structure of 2,3-epoxy-3-methylpentane shows a 3-membered ring with oxygen and two carbon atoms, one bonded to hydrogen and methyl, the other to methyl and ethyl groups.
(a)
Draw the epoxide, showing stereochemistry.
(b)
Draw and name the product, showing stereochemistry.
(c)
Is the product chiral? Explain.
(d)
Is the product optically active? Explain.
Problem 18-51

Epoxides are reduced by treatment with lithium aluminum hydride to yield alcohols. Propose a mechanism for this reaction.

Cyclohexene oxide reacts with lithium aluminum hydride in ether, then hydronium, to form cyclohexanol.
Problem 18-52
Show the structure and stereochemistry of the alcohol that would result if 1,2-epoxycyclohexane were reduced with lithium aluminum deuteride, LiAlD4 (Problem 18-51).

Spectroscopy

Problem 18-53

The red fox (Vulpes vulpes) uses a chemical communication system based on scent marks in urine. One component of fox urine is a sulfide whose mass spectrum has M+ = 116. IR spectroscopy shows an intense band at 890 cm–1, and 1H NMR spectroscopy reveals the following peaks:

  • 1.74 δ (3 H, singlet); 2.11 δ (3 H, singlet); 2.27 δ (2 H, triplet, J = 4.2 Hz); 2.57 δ (2 H, triplet, J = 4.2 Hz); 4.73 δ (2 H, broad)

Propose a structure consistent with these data. [Note: (CH3)2S absorbs at 2.1 δ].

Problem 18-54

Anethole, C10H12O, a major constituent of the oil of anise, has the 1H NMR spectrum shown. On careful oxidation with Na2Cr2O7, anethole yields p-methoxybenzoic acid. What is the structure of anethole? Assign all peaks in the NMR spectrum, and account for the observed splitting patterns.

Proton N M R with shifts at 1.84 (doublet), 3.76 (singlet), 6.09 and 6.36 (multiplets), 6.82 and 7.23 (doublets). Relative areas are 3.00, 3.00, 1.00, 1.00, 2.00, 2.00 respectively.
Problem 18-55
Propose structures for compounds that have the following 1H NMR spectra:
(a)

C5H12S (An –SH proton absorbs near 1.6 δ.)

Proton N M R with shifts at 0 (T M S), 0.99 (triplet), 1.34 (singlet), and 1.61 (quartet). Relative areas are 1.00, 2.00, and 1.00 respectively.
(b)

C9H11BrO

Proton N M R with shifts at 2.31 (pentet), 3.58 (triplet), 4.08 (triplet) 6.90 and 7.25 (multiplets). Relative areas are 1.00, 1.00, 1.00, 1.50, and 1.00 respectively.
(c)

C5H12O2

Proton N M R with shifts at 0 (T M S), 1.30 and 3.15 (singlets). Relative areas are 3.97 and 4.09 respectively.

General Problems

Problem 18-56
Predict the products of the following reactions:
(a)
Isobutyl phenyl ether reacts with hydrogen bromide to form an unknown product(s) depicted by a question mark.
(b)
1-bromo-4-methylpentane reacts with thiourea, then sodium hydroxide and water to form an unknown product(s), depicted by a question mark.
(c)
Cyclopentanethiol reacts in the presence of bromine to form an unknown product(s), depicted by a question mark.
(d)
Cyclohexene with ethanethiol on C 4 reacts with hydrogen peroxide and water, to form an unknown product(s), depicted by a question mark.
Problem 18-57
How would you synthesize anethole (Problem 18-54) from phenol?
Problem 18-58
How could you prepare benzyl phenyl ether from benzene and phenol? More than one step is required.
Problem 18-59

Meerwein’s reagent, triethyloxonium tetrafluoroborate, is a powerful ethylating agent that converts alcohols into ethyl ethers at neutral pH. Show the reaction of Meerwein’s reagent with cyclohexanol, and account for the fact that trialkyloxonium salts are much more reactive alkylating agents than alkyl iodides.

(CH3CH2)3O+ BF4      Meerwein’s reagent

Problem 18-60

Safrole, a substance isolated from oil of sassafras, is used as a perfumery agent. Propose a synthesis of safrole from catechol (1,2-benzenediol).

The structure of safrole is a benzene ring with C 1 connected to C 2 by O C H 2 O, and with an allyl group on C 4.
Problem 18-61

Grignard reagents react with oxetane, a four-membered cyclic ether, to yield primary alcohols, but the reaction is much slower than the corresponding reaction with ethylene oxide. Suggest a reason for the difference in reactivity between oxetane and ethylene oxide.

Oxetane (four-membered ring incorporating one oxygen) reacts with R Mg X, then hydronium, to produce R C H 2 C H 2 C H 2 O H.
Problem 18-62
The Zeisel method is an old analytical procedure for determining the number of methoxyl groups in a compound. A weighed amount of the compound is heated with concentrated HI, ether cleavage occurs, and the iodomethane product is distilled off and passed into an alcohol solution of AgNO3, where it reacts to form a precipitate of silver iodide. The AgI is then collected and weighed, and the percentage of methoxyl groups in the sample is thereby determined. For example, 1.06 g of vanillin, the material responsible for the characteristic odor of vanilla, yields 1.60 g of AgI. If vanillin has a molecular weight of 152, how many methoxyl groups does it contain?
Problem 18-63
Disparlure, C19H38O, is a sex attractant released by the female spongy moth, Lymantria dispar. The 1H NMR spectrum of disparlure shows a large absorption in the alkane region, 1 to 2 δ, and a triplet at 2.8 δ. Treatment of disparlure, first with aqueous acid and then with KMnO4, yields two carboxylic acids identified as undecanoic acid and 6-methylheptanoic acid. (KMnO4 cleaves 1,2-diols to yield carboxylic acids.) Neglecting stereochemistry, propose a structure for disparlure. The actual compound is a chiral molecule with 7R,8S stereochemistry. Draw disparlure, showing the correct stereochemistry.
Problem 18-64
How would you synthesize racemic disparlure (Problem 18-63) from compounds having ten or fewer carbons?
Problem 18-65

How would you prepare o-hydroxyphenylacetaldehyde from phenol? More than one step is required.

O-Hydroxyphenylacetaldehyde has a structure in which a benzene ring has hydroxyl on one carbon, and C H 2 C H O on an adjacent carbon.
Problem 18-66

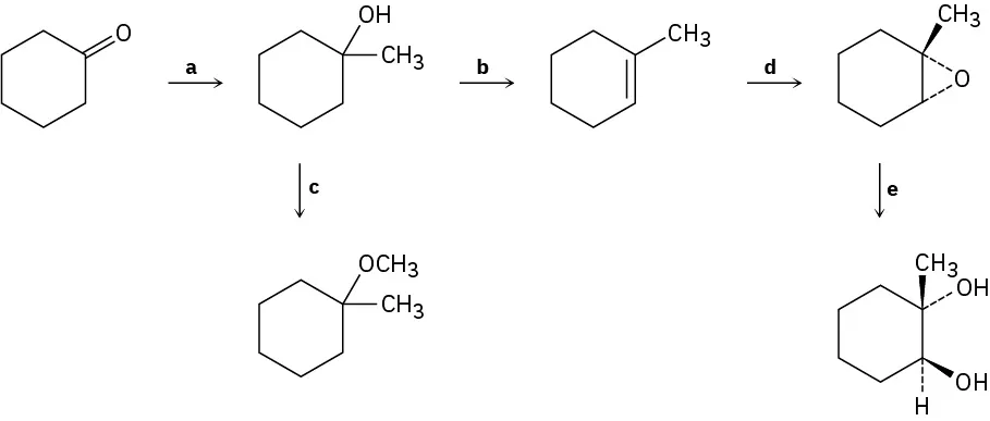
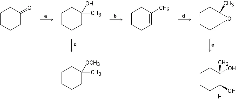
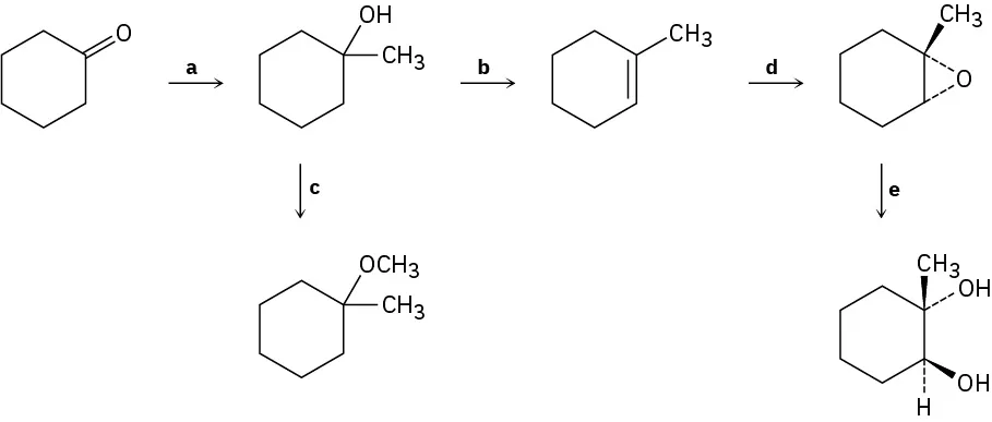
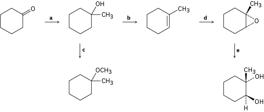
Identify the reagents ae in the following scheme:

Cyclohexanone is transformed into 1-methylcyclohexanol by reagent a; b and c convert 1-methylcyclohexanol to 1-methylcyclohexene and 1-methyl-1-methoxycyclohexane respectively. D converts 1-methylcyclohexene into 1,2-epoxy-1-methylcyclohexane, which is converted by e into (1S,2S)-1-methylcyclohexan-1,2-diol.
Problem 18-67
Propose structures for compounds that have the following 1H NMR spectra:
(a)

C4H10O2

Proton N M R with shifts at 0 (T M S), 1.27 (doublet), 3.31 (singlet), and 4.57 (quartet). Relative areas are 3.00, 6.00, and 1.00 respectively.
(b)

C9H10O

Proton N M R with shifts at 3.71 (singlet), 5.17 (doublet), 6.08 (doublet) 7.10 (multiplet), 7.25 (triplet), and 7.55 (multiplet). Relative areas are 3.00, 1.00, 1.00, 1.00, 2.00, 2.00 respectively.
Problem 18-68

We saw in Section 17.4 that ketones react with NaBH4 to yield alcohols. We’ll also see in Section 22.3 that ketones react with Br2 to yield α-bromo ketones. Perhaps surprisingly, treatment with NaBH4 of the α-bromo ketone from acetophenone yields an epoxide rather than a bromo alcohol. Show the structure of the epoxide, and explain its formation.

Acetophenone reacts with bromine to yield alpha-bromo acetophenone; subsequent treatment with sodium borohydride results in an epoxide with unknown structure.
Citation/Attribution

This book may not be used in the training of large language models or otherwise be ingested into large language models or generative AI offerings without OpenStax's permission.

Want to cite, share, or modify this book? This book uses the Creative Commons Attribution-NonCommercial-ShareAlike License and you must attribute OpenStax.

Attribution information
  • If you are redistributing all or part of this book in a print format, then you must include on every physical page the following attribution:

    Access for free at https://openstax.org/books/organic-chemistry/pages/1-why-this-chapter

  • If you are redistributing all or part of this book in a digital format, then you must include on every digital page view the following attribution:

    Access for free at https://openstax.org/books/organic-chemistry/pages/1-why-this-chapter

Citation information

© Jul 9, 2025 OpenStax. Textbook content produced by OpenStax is licensed under a Creative Commons Attribution-NonCommercial-ShareAlike License . The OpenStax name, OpenStax logo, OpenStax book covers, OpenStax CNX name, and OpenStax CNX logo are not subject to the Creative Commons license and may not be reproduced without the prior and express written consent of Rice University.