Omitir e ir al contenidoIr a la página de accesibilidadMenú de atajos de teclado
Logo de OpenStax
Química 2ed

Ejercicios

Química 2edEjercicios
Buscar términos clave o texto.

9.1 Presión del gas

1.

¿Por qué los cuchillos afilados son más eficaces que los desafilados? (Pista: Piense en la definición de presión)

2.

¿Por qué algunos puentes pequeños tienen límites de peso que dependen de cuántas ruedas o ejes tiene el vehículo que cruza?

3.

¿Por qué debería rodar o arrastrarse en lugar de cruzar a pie un estanque poco congelado?

4.

La presión barométrica típica en Redding, California, es de unos 750 mm Hg. Calcule esta presión en atm y kPa.

5.

La presión barométrica típica en Denver, Colorado, es de 615 mm Hg. ¿Cuál es esta presión en atmósferas y kilopascales?

6.

La presión barométrica típica en Kansas City es de 740 torr. ¿Cuál es esta presión en atmósferas, en milímetros de mercurio y en kilopascales?

7.

Los manómetros canadienses están marcados en unidades de kilopascales. ¿Qué lectura en dicho manómetro corresponde a 32 psi?

8.

Durante los aterrizajes de las Viking en Marte, se determinó que la presión atmosférica era de media unos 6,50 milibares (1 bar = 0,987 atm). ¿Cuál es esa presión en torr y kPa?

9.

La presión de la atmósfera en la superficie del planeta Venus es de aproximadamente 88,8 atm. Compare esa presión en psi con la presión normal en la tierra a nivel del mar en psi.

10.

Un catálogo de laboratorio médico describe la presión en un cilindro de un gas como 14,82 MPa. ¿Cuál es la presión de este gas en atmósferas y torr?

11.

Considere este escenario y responda las siguientes preguntas: Un día a mediados de agosto en el noreste de los Estados Unidos, apareció la siguiente información en el periódico local: presión atmosférica a nivel del mar 29,97 in Hg, 1013,9 mbar.

(a) ¿Cuál era la presión en kPa?

(b) La presión cerca de la costa marítima en el noreste de los Estados Unidos suele estar cerca de 30,0 in Hg. Durante un huracán, la presión puede caer hasta cerca de 28,0 pulgadas. Hg. Calcule la caída de presión en torr.

12.

¿Por qué es necesario utilizar un líquido no volátil en un barómetro o manómetro?

13.

La presión de una muestra de gas se mide a nivel del mar con un manómetro cerrado. El líquido del manómetro es mercurio. Determine la presión del gas en:

(a) torr

(b) Pa

(c) bar

Se muestra un diagrama de un manómetro de extremo cerrado. En la parte superior izquierda hay un recipiente esférico marcado como "gas". Este recipiente está conectado mediante una válvula a un tubo en forma de U que está marcado como "extremo cerrado" en el extremo superior derecho. El contenedor y una parte del tubo que le sigue están sombreados en rosa. La parte inferior del tubo en forma de U está sombreada en gris y la altura de la región gris es mayor en el lado derecho que en el izquierdo. La diferencia de altura de 26,4 c m se indica con segmentos de líneas horizontales y flechas.
14.

La presión de una muestra de gas se mide con un manómetro de extremo abierto, mostrado parcialmente a la derecha. El líquido del manómetro es mercurio. Suponiendo que la presión atmosférica es de 29,92 in Hg, determine la presión del gas en:

(a) torr

(b) Pa

(c) bar

Se muestra un diagrama de un manómetro de extremo abierto. En la parte superior izquierda hay un recipiente esférico marcado como "gas". Este recipiente está conectado mediante una válvula a un tubo en forma de U que está marcado como "extremo abierto" en el extremo superior derecho. El contenedor y una parte del tubo que le sigue están sombreados en rosa. La parte inferior del tubo en forma de U está sombreada en gris y la altura de la región gris es mayor en el lado izquierdo que en el derecho. La diferencia de altura de 6,00 i n se indica con segmentos de líneas horizontales y flechas.
15.

La presión de una muestra de gas se mide a nivel del mar con un manómetro de mercurio de extremo abierto. Suponiendo que la presión atmosférica es de 760,0 mm Hg, determine la presión del gas en:

(a) mm Hg

(b) atm

(c) kPa

Se muestra un diagrama de un manómetro de extremo abierto. En la parte superior izquierda hay un recipiente esférico marcado como "gas". Este recipiente está conectado mediante una válvula a un tubo en forma de U que está marcado como "extremo abierto" en el extremo superior derecho. El contenedor y una parte del tubo que le sigue están sombreados en rosa. La parte inferior del tubo en forma de U está sombreada en gris y la altura de la región gris es mayor en el lado izquierdo que en el derecho. La diferencia de altura de 13,7 c m se indica con segmentos de líneas horizontales y flechas.
16.

La presión de una muestra de gas se mide a nivel del mar con un manómetro de mercurio de extremo abierto. Suponiendo que la presión atmosférica es de 760 mm Hg, determine la presión del gas en:

(a) mm Hg

(b) atm

(c) kPa

Se muestra un diagrama de un manómetro de extremo abierto. En la parte superior izquierda hay un recipiente esférico marcado como "gas". Este recipiente está conectado mediante una válvula a un tubo en forma de U que está marcado como "extremo abierto" en el extremo superior derecho. El contenedor y una parte del tubo que le sigue están sombreados en rosa. La parte inferior del tubo en forma de U está sombreada en gris y la altura de la región gris es mayor en el lado derecho que en el izquierdo. La diferencia de altura de 26,4 c m se indica con segmentos de líneas horizontales y flechas.
17.

¿Cómo afectaría el uso de un líquido volátil a la medición de un gas utilizando manómetros de extremo abierto frente a manómetros de extremo cerrado?

9.2 Relaciones entre presión, volumen, cantidad y temperatura: la ley de los gases ideales

18.

A veces, dejar una bicicleta al sol en un día caluroso puede provocar un reventón. ¿Por qué?

19.

Explique cómo cambia el volumen de las burbujas exhaladas por un buceador (Figura 9.16) a medida que suben a la superficie, suponiendo que permanecen intactas.

20.

Una forma de enunciar la ley de Boyle es "En igualdad de condiciones, la presión de un gas es inversamente proporcional a su volumen". (a) ¿Qué significa el término "inversamente proporcional"? (b) ¿Qué "otras condiciones" deben ser iguales?

21.

Una forma alternativa de enunciar la ley de Avogadro es: "En igualdad de condiciones, el número de moléculas de un gas es directamente proporcional al volumen del gas" (a) ¿Qué significa el término "directamente proporcional"? (b) ¿Qué "otras condiciones" deben ser iguales?

22.

¿Cómo cambiaría el gráfico en la Figura 9.12 si se duplicara el número de moles de gas en la muestra utilizada para determinar la curva?

23.

¿Cómo cambiaría el gráfico en la Figura 9.13 si se duplicara el número de moles de gas en la muestra utilizada para determinar la curva?

24.

Además de los datos encontrados en la Figura 9.13, ¿qué otra información necesitamos para encontrar la masa de la muestra de aire utilizada para determinar el gráfico?

25.

Determine el volumen de 1 mol de gas CH4 a 150 K y 1 atm, utilizando la Figura 9.12.

26.

Determina la presión del gas en la jeringa mostrada en la Figura 9.13 cuando su volumen es de 12,5 mL, utilizando:

a) el gráfico correspondiente

b) La ley de Boyle

27.

Una lata de aerosol se utiliza hasta que se vacía, excepto el gas propulsor, que tiene una presión de 1344 torr a 23 °C. Si la lata se lanza al fuego (T = 475 °C), ¿cuál será la presión en la lata caliente?

28.

¿Cuál es la temperatura de una muestra de 11,2 L de monóxido de carbono, CO, a 744 torr si ocupa 13,3 L a 55 °C y 744 torr?

29.

Un volumen de 2,50 L de hidrógeno medido a -196 °C se calienta a 100 °C. Calcule el volumen del gas a la temperatura más alta, suponiendo que no hay cambio de presión.

30.

Un globo inflado con tres bocanadas de aire tiene un volumen de 1,7 L. A la misma temperatura y presión, ¿cuál es el volumen del globo si se le añaden otras cinco bocanadas del mismo tamaño?

31.

Un globo meteorológico contiene 8,80 moles de helio a una presión de 0,992 atm y una temperatura de 25 °C a nivel del suelo. ¿Cuál es el volumen del globo en estas condiciones?

Esta imagen muestra un globo blanco que parece tener una tarjeta blanca adjunta. Una persona sostiene el globo en un entorno exterior.
32.

El volumen de una bolsa de aire de automóvil era de 66,8 L cuando se inflaba a 25 °C con 77,8 g de gas nitrógeno. ¿Cuál era la presión en la bolsa en kPa?

33.

¿Cuántos moles de trifluoruro de boro gaseoso, BF3, están contenidos en un bulbo de 4,3410 L a 788,0 K si la presión es de 1,220 atm? ¿Cuántos gramos de BF3?

34.

El yodo, I2, es un sólido a temperatura ambiente pero se sublima (se convierte de sólido a gas) cuando se calienta. ¿Cuál es la temperatura en un bulbo de 73,3 mL que contiene 0,292 g de vapor de I2 a una presión de 0,462 atm?

35.

¿Cuántos gramos de gas hay en cada uno de los siguientes casos?

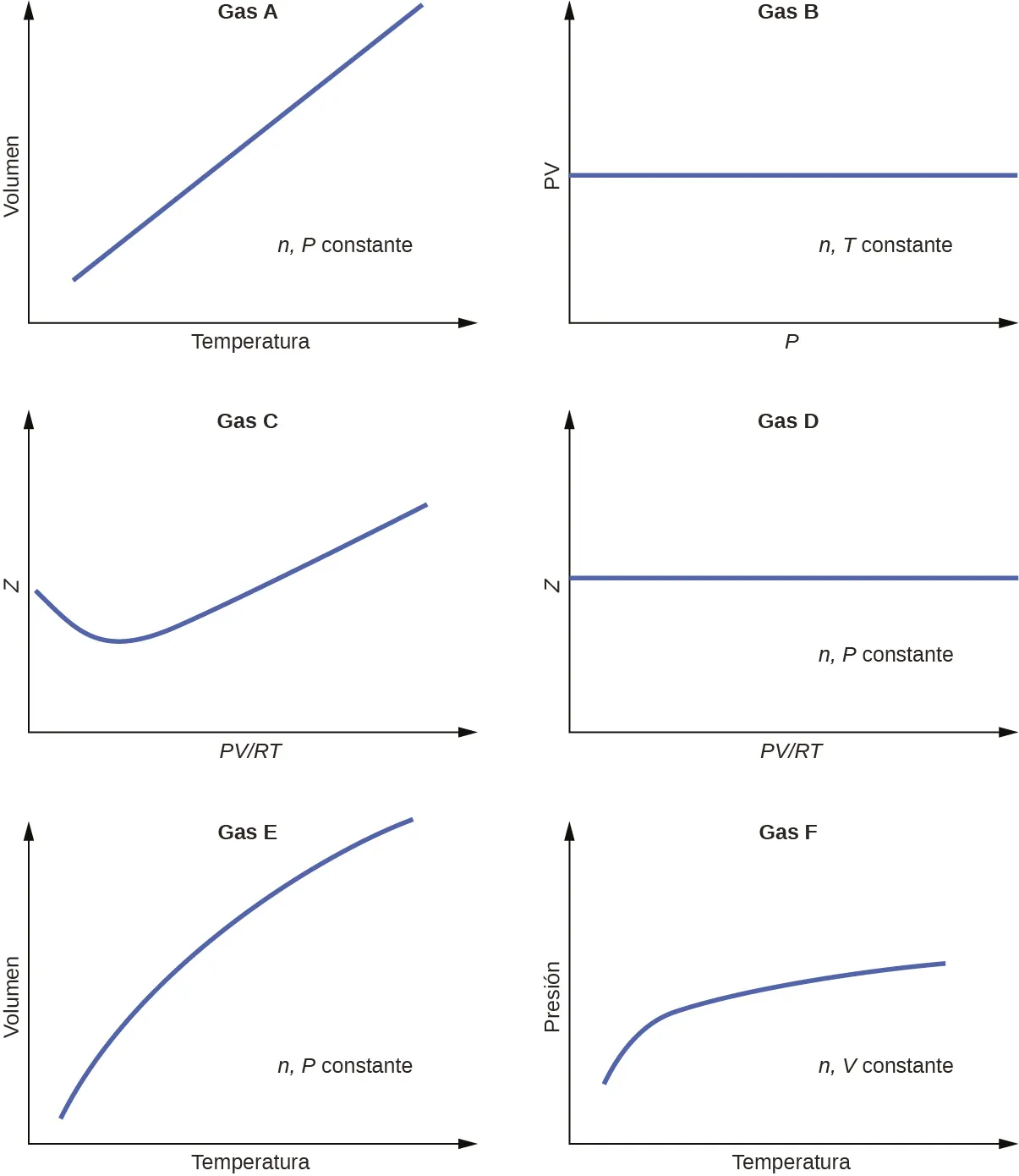
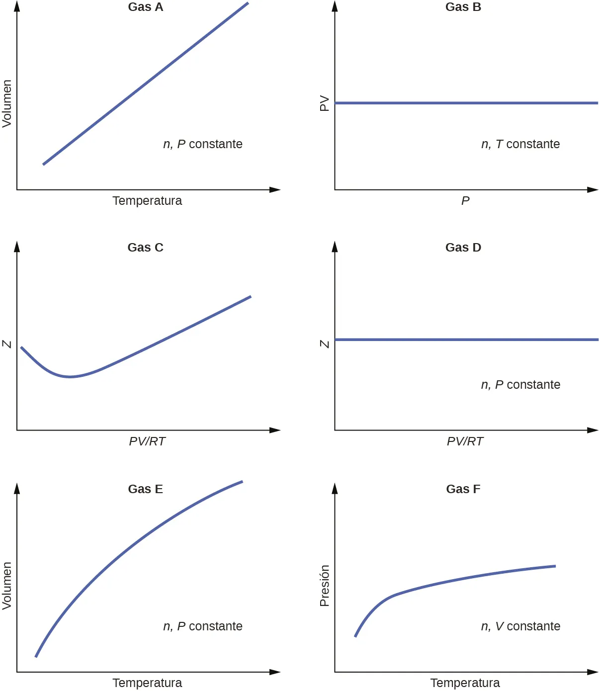
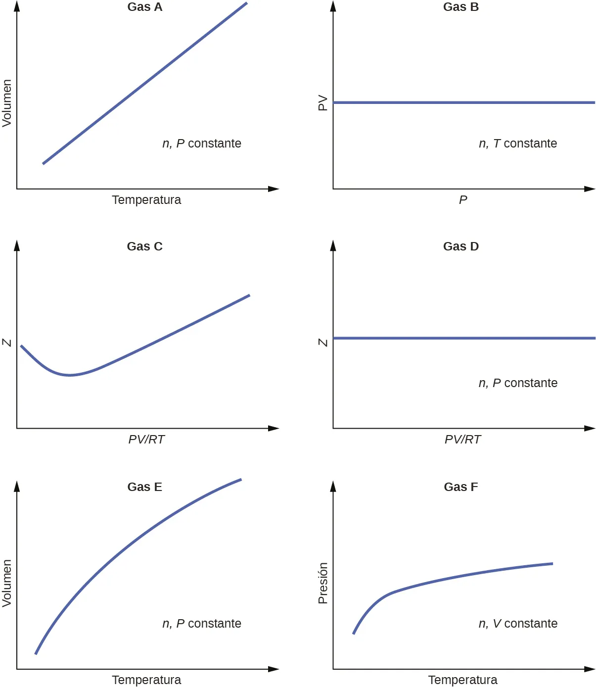
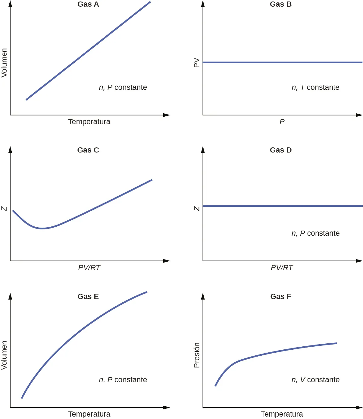
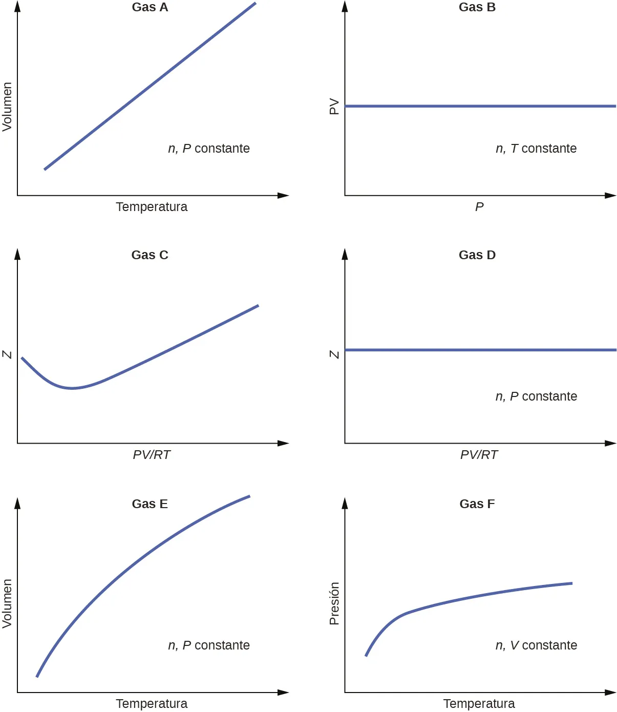
(a) 0,100 L de CO2 a 307 torr y 26 °C

(b) 8,75 L de C2H4, a 378,3 kPa y 483 K

(c) 221 mL de Ar a 0,23 torr y –54 °C

36.

Un globo de gran altitud se llena con 1,41 ×× 104 L de hidrógeno a una temperatura de 21 °C y una presión de 745 torr. ¿Cuál es el volumen del globo a una altura de 20 km, donde la temperatura es de –48 °C y la presión es de 63,1 torr?

37.

Un cilindro de oxígeno medicinal tiene un volumen de 35,4 L, y contiene O2 a una presión de 151 atm y una temperatura de 25 °C. ¿A qué volumen de O2 corresponde esto en condiciones corporales normales, es decir, 1 atm y 37 °C?

38.

Un tanque de buceo grande (Figura 9.16) con un volumen de 18 L está clasificado para una presión de 220 bar. El tanque se llena a 20 °C y contiene suficiente aire para suministrar 1860 L de aire a un buceador a una presión de 2,37 atm (una profundidad de 45 pies). ¿Se llenó el depósito hasta su capacidad a 20 °C?

39.

Se abrió a la atmósfera un cilindro de 20,0 L que contenía 11,34 kg de butano, C4H10. Calcule la masa del gas que queda en el cilindro si se abre y el gas escapa hasta que la presión en el cilindro sea igual a la presión atmosférica, 0,983 atm, y una temperatura de 27 °C.

40.

En reposo, el hombre medio de 70 kg consume 14 L de O2 puro por hora a 25 °C y 100 kPa. ¿Cuántos moles de O2 consume un hombre de 70 kg mientras descansa durante 1,0 h?

41.

En una cantidad dada de gas que muestra un comportamiento ideal, dibujar gráficos marcados de:

(a) la variación de la P con la V

(b) la variación de la V con la T

(c) la variación de la P con la T

(d) la variación de 1P1P con la V

42.

Un litro de gas metano, CH4, a STP contiene más átomos de hidrógeno que un litro de gas hidrógeno puro, H2, a STP. Utilizando la ley de Avogadro como punto de partida, explique por qué.

43.

El efecto de los clorofluorocarbonos (como el CCl2F2) en el agotamiento de la capa de ozono es bien conocido. El uso de sustitutos, como el CH3CH2F(g), para los clorofluorocarbonos, ha corregido en gran medida el problema. Calcule el volumen ocupado por 10,0 g de cada uno de estos compuestos a STP:

(a) CCl2F2(g)

(b) CH3CH2F(g)

44.

Cuando 1 g del elemento radiactivo radio decae durante 1 año, produce 1,16 ×× 1018 partículas alfa (núcleos de helio). Cada partícula alfa se convierte en un átomo de gas helio. ¿Cuál es la presión en pascales del gas helio producido si ocupa un volumen de 125 mL a una temperatura de 25 °C?

45.

Un globo con un volumen de 100,21 L a 21 °C y 0,981 atm se suelta y apenas alcanza la cima del monte Crumpit en la Columbia Británica. Si el volumen final del globo es de 144,53 L a una temperatura de 5,24 °C, ¿cuál es la presión que experimenta el globo al salir del Monte Crumpit?

46.

Si se duplica la temperatura de una cantidad fija de un gas a volumen constante, ¿qué ocurre con la presión?

47.

Si se triplica el volumen de una cantidad fija de un gas a temperatura constante, ¿qué ocurre con la presión?

9.3 Estequiometría de sustancias gaseosas, mezclas y reacciones

48.

¿Cuál es la densidad del gas de la risa, monóxido de dinitrógeno, N2O, a una temperatura de 325 K y una presión de 113,0 kPa?

49.

Calcule la densidad del freón 12, CF2Cl2, a 30,0 °C y 0,954 atm.

50.

¿Qué es más denso a la misma temperatura y presión, el aire seco o el aire saturado de vapor de agua? Explique.

51.

Un cilindro de O2(g) utilizado en la respiración de pacientes con enfisema tiene un volumen de 3,00 L a una presión de 10,0 atm. Si la temperatura del cilindro es de 28,0 °C, ¿qué masa de oxígeno hay en la botella?

52.

¿Cuál es la masa molar de un gas si 0,0494 g de este ocupan un volumen de 0,100 L a una temperatura de 26 °C y una presión de 307 torr?

53.

¿Cuál es la masa molar de un gas si 0,281 g de este ocupan un volumen de 125 mL a una temperatura de 126 °C y una presión de 777 torr?

54.

¿Cómo podrías demostrar experimentalmente que la fórmula molecular del propeno es C3H6 y no CH2?

55.

La densidad de un determinado fluoruro de fósforo gaseoso es de 3,93 g/L a STP. Calcula la masa molar de este fluoruro y determina su fórmula molecular.

56.

Considere esta pregunta: ¿Cuál es la fórmula molecular de un compuesto que contiene 39 % de C, 45 % de N y 16 % de H si 0,157 g del compuesto ocupan l25 mL con una presión de 99,5 kPa a 22 °C?

(a) Describa los pasos necesarios para responder la pregunta.

(b) Responda la pregunta.

57.

Un cilindro de 36,0 L de un gas utilizado para la calibración de los analizadores de gases sanguíneos en los laboratorios médicos contiene 350 g de CO2, 805 g de O2 y 4.880 g de N2. A 25 grados C, ¿cuál es la presión del cilindro en atmósferas?

58.

Un cilindro de una mezcla de gases utilizado para la calibración de los analizadores de gases sanguíneos en los laboratorios médicos contiene 5,0 % de CO2, 12,0 % de O2 y el resto de N2 a una presión total de 146 atm. ¿Cuál es la presión parcial de cada componente de este gas? (Los porcentajes dados indican el porcentaje de la presión total que se debe a cada componente).

59.

Una muestra de gas aislado del petróleo no refinado contiene un 90,0 % de CH4, un 8,9 % de C2H6 y un 1,1 % de C3H8 a una presión total de 307,2 kPa. ¿Cuál es la presión parcial de cada componente de este gas? (Los porcentajes dados indican el porcentaje de la presión total que se debe a cada componente).

60.

Una mezcla de 0,200 g de H2, 1,00 g de N2 y 0,820 g de Ar se almacena en un recipiente cerrado a STP. Halle el volumen del recipiente, suponiendo que los gases tienen un comportamiento ideal.

61.

La mayoría de las mezclas de gas hidrógeno con gas oxígeno son explosivas. Sin embargo, una mezcla que contiene menos del 3,0 % de O2 no lo es. Si se añade suficiente O2 a un cilindro de H2 a 33,2 atm para que la presión total sea de 34,5 atm, ¿la mezcla es explosiva?

62.

Un analizador comercial de vapores de mercurio puede detectar, en el aire, concentraciones de átomos de Hg gaseosos (que son venenosos) tan bajas como 2 ×× 10−6 mg/L de aire. A esta concentración, ¿cuál es la presión parcial del mercurio gaseoso si la presión atmosférica es de 733 torr a 26 °C?

63.

Se recolectó una muestra de monóxido de carbono sobre agua a una presión total de 756 torr y una temperatura de 18 °C. ¿Cuál es la presión del monóxido de carbono? (Vea la Tabla 9.2 para conocer la presión de vapor del agua).

64.

En un experimento en un laboratorio de química general, un estudiante recolectó una muestra de un gas sobre el agua. El volumen del gas era de 265 mL a una presión de 753 torr y una temperatura de 27 °C. La masa del gas era de 0,472 g. ¿Cuál era la masa molar del gas?

65.

Joseph Priestley preparó por primera vez oxígeno puro calentando óxido de mercurio, HgO:
2HgO(s)2Hg(l)+O2(g)2HgO(s)2Hg(l)+O2(g)

(a) Describa los pasos necesarios para responder la siguiente pregunta: ¿Qué volumen de O2 a 23 °C y 0,975 atm se produce por la descomposición de 5,36 g de HgO?

(b) Responda la pregunta.

66.

Cavendish preparó el hidrógeno en 1766 mediante el novedoso método de hacer pasar vapor a través de un cañón al rojo vivo:
4H2O(g)+3Fe(s)Fe3O4(s)+4H2(g)4H2O(g)+3Fe(s)Fe3O4(s)+4H2(g)

(a) Describa los pasos necesarios para responder la siguiente pregunta: ¿Qué volumen de H2 a una presión de 745 torr y una temperatura de 20 °C puede prepararse a partir de la reacción de 15,O g de H2O?

(b) Responda la pregunta.

67.

El clorofluorocarbono CCl2F2 puede reciclarse en un compuesto diferente por reacción con hidrógeno para producir CH2F2(g), un compuesto útil en la fabricación de productos químicos
CCl2F2(g)+4H2(g)CH2F2(g)+2HCl(g)CCl2F2(g)+4H2(g)CH2F2(g)+2HCl(g)

(a) Describa los pasos necesarios para responder la siguiente pregunta: ¿Qué volumen de hidrógeno a 225 atm y 35,5 °C sería necesario para reaccionar con 1 tonelada (1.000 ×× 103 kg) de CCl2F2?

(b) Responda la pregunta.

68.

Las bolsas de aire de los automóviles se inflan con gas nitrógeno, que se forma por la descomposición de la azida sódica sólida (NaN3). El otro producto es el sodio metálico. Calcule el volumen de gas nitrógeno a 27 °C y 756 torr formado por la descomposición de 125 g de azida sódica.

69.

La cal, CaO, se produce al calentar el carbonato de calcio, CaCO3; el dióxido de carbono es el otro producto.

(a) Describa los pasos necesarios para responder la siguiente pregunta: ¿Qué volumen de dióxido de carbono a 875 K y 0,966 atm se produce por la descomposición de 1 tonelada (1.000 ×× 103 kg) de carbonato de calcio?

(b) Responda la pregunta.

70.

Antes de que existieran las pilas pequeñas, las lámparas de carburo se utilizaban para iluminar las bicicletas. El gas acetileno, C2H2, y el hidróxido de calcio sólido se formaron por la reacción del carburo de calcio, CaC2, con el agua. La ignición del gas acetileno proporcionó la luz. En la actualidad, algunos espeleólogos utilizan las mismas lámparas y el carburo de calcio se emplea para producir acetileno para los cañones de carburo.

(a) Describa los pasos necesarios para responder la siguiente pregunta: ¿Qué volumen de C2H2 a 1,005 atm y 12,2 °C se forma por la reacción de 15,48 g de CaC2 con agua?

(b) Responda la pregunta.

71.

Calcule el volumen de oxígeno necesario para quemar 12,00 L de gas etano, C2H6, para producir dióxido de carbono y agua, si los volúmenes de C2H6 y O2 se miden en las mismas condiciones de temperatura y presión.

72.

¿Qué volumen de O2 a STP se requiere para oxidar 8,0 L de NO a STP a NO2? ¿Qué volumen de NO2 se produce en STP?

73.

Considere las siguientes preguntas:

(a) ¿Cuál es el volumen total de CO2(g) y H2O(g) a 600 °C y 0,888 atm producido por la combustión de 1,00 L de C2H6(g) medido a STP?

(b) ¿Cuál es la presión parcial de H2O en los gases del producto?

74.

El metanol, CH3OH, se produce industrialmente mediante la siguiente reacción
CO(g)+2H2(g)catalizador de cobre 300 °C, 300 atmCH3OH(g)CO(g)+2H2(g)catalizador de cobre 300 °C, 300 atmCH3OH(g)

Suponiendo que los gases se comportan como gases ideales, halle la relación entre el volumen total de los reactivos y el volumen final.

75.

¿Qué volumen de oxígeno a 423,0 K y una presión de 127,4 kPa se produce por la descomposición de 129,7 g de BaO2 en BaO y O2?

76.

Una muestra de 2,50 L de un gas incoloro a STP se descompone para dar 2,50 L de N2 y 1,25 L de O2 a STP. ¿Qué es el gas incoloro?

77.

El etanol, C2H5OH, se produce industrialmente a partir del etileno, C2H4, mediante la siguiente secuencia de reacciones
3C2H4+2H2SO4C2H5HSO4+(C2H5)2SO43C2H4+2H2SO4C2H5HSO4+(C2H5)2SO4
C2H5HSO4+(C2H5)2SO4+3H2O3C2H5OH+2H2SO4C2H5HSO4+(C2H5)2SO4+3H2O3C2H5OH+2H2SO4

¿Qué volumen de etileno a STP se necesita para producir 1.000 toneladas métricas (1.000 kg) de etanol si el rendimiento global del etanol es del 90,1 %?

78.

Una molécula de hemoglobina se combinará con cuatro moléculas de oxígeno. Si 1,0 g de hemoglobina se combina con 1,53 mL de oxígeno a temperatura corporal (37 °C) y a una presión de 743 torr, ¿cuál es la masa molar de la hemoglobina?

79.

Una muestra de un compuesto de xenón y flúor se encerró en un bulbo con una presión de 18 torr. Se añadió hidrógeno al bulbo hasta que la presión fue de 72 torr. El paso de una chispa eléctrica a través de la mezcla produjo Xe y HF. Después de eliminar el HF por reacción con KOH sólido, la presión final de xenón e hidrógeno sin reaccionar en el bulbo era de 36 torr. ¿Cuál es la fórmula empírica del fluoruro de xenón en la muestra original? (Nota: Los fluoruros de xenón solo contienen un átomo de xenón por molécula).

80.

Un método para analizar los aminoácidos es el método de van Slyke. Los grupos aminos característicos (−NH2) del material proteico se dejan reaccionar con el ácido nitroso, HNO2, para formar gas N2. A partir del volumen del gas, se puede determinar la cantidad de aminoácido. Una muestra de 0,0604 g de una muestra biológica que contiene glicina, CH2(NH2)COOH, se analizó por el método de van Slyke y dio 3,70 mL de N2 recogido sobre agua a una presión de 735 torr y 29 °C. ¿Cuál fue el porcentaje de glicina en la muestra?
CH2(NH2)CO2H+HNO2CH2(OH)CO2H+H2O+N2CH2(NH2)CO2H+HNO2CH2(OH)CO2H+H2O+N2

9.4 Efusión y difusión de los gases

81.

Un globo lleno de gas helio tarda 6 horas en desinflarse hasta el 50 % de su volumen original. ¿Cuánto tiempo tardará un globo idéntico lleno del mismo volumen de gas hidrógeno (en lugar de helio) en disminuir su volumen en un 50 %?

82.

Explique por qué el número de moléculas no es idéntico en los focos de la izquierda y de la derecha que aparecen en la ilustración central de la Figura 9.27.

83.

Partiendo de la definición de velocidad de efusión y del hallazgo de Graham que relaciona la velocidad y la masa molar, muestre cómo derivar la ecuación de la ley de Graham, que relaciona las velocidades relativas de efusión de dos gases con sus masas moleculares.

84.

El agua pesada, D2O (masa molar = 20,03 g mol–1), puede separarse del agua ordinaria, H2O (masa molar = 18,01), como resultado de la diferencia en las velocidades relativas de difusión de las moléculas en la fase gaseosa. Calcule las tasas relativas de difusión de H2O y D2O.

85.

¿Cuál de los siguientes gases se difunde más lentamente que el oxígeno? F2, Ne, N2O, C2H2, NO, Cl2, H2S

86.

Durante el debate sobre la difusión gaseosa para el enriquecimiento del uranio, se afirmó que el 235UF6 se difunde un 0,4 % más rápido que el 238UF6. Muestre el cálculo que apoya este valor. La masa molar de 235UF6 = 235.043930 + 6 ×× 18,998403 = 349,034348 g/mol, y la masa molar de 238UF6 = 238,050788 + 6 ×× 18,998403 = 352,041206 g/mol.

87.

Calcule la velocidad relativa de difusión del 1H2 (masa molar 2,0 g/mol) en comparación con el 2H2 (masa molar 4,0 g/mol) y la velocidad relativa de difusión del O2 (masa molar 32 g/mol) en comparación con el O3 (masa molar 48 g/mol).

88.

Un gas de identidad desconocida se difunde a una velocidad de 83,3 mL/s en un aparato de difusión en el que el dióxido de carbono difunde a una velocidad de 102 mL/s. Calcule la masa molecular del gas desconocido.

89.

Cuando se introducen simultáneamente dos tapones de algodón, uno humedecido con amoníaco y el otro con ácido clorhídrico, en los extremos opuestos de un tubo de vidrio de 87,0 cm de longitud, se forma un anillo blanco de NH4Cl donde el NH3 gaseoso y el HCl gaseoso entran en contacto por primera vez NH3(g)+HCl(g)NH4Cl(s)NH3(g)+HCl(g)NH4Cl(s) ¿A qué distancia aproximada del tapón humedecido con amoníaco ocurre esto? (Pista: Calcule las velocidades de difusión tanto del NH3 como del HCl, y averigüe cuánto más rápido se difunde el NH3 que el HCl).

9.5 La teoría cinético-molecular

90.

Utilizando los postulados de la teoría cinética molecular, explique por qué un gas llena uniformemente un recipiente de cualquier forma.

91.

¿Puede duplicarse la velocidad de una determinada molécula en un gas a temperatura constante? Explique su respuesta.

92.

Describa lo que ocurre con la energía cinética media de las moléculas de un gas ideal cuando se modifican las condiciones de la siguiente manera:

(a) Se aumenta la presión del gas reduciendo el volumen a temperatura constante.

(b) Se aumenta la presión del gas al aumentarse la temperatura a volumen constante.

(c) La rapidez media de las moléculas se multiplica por 2.

93.

La distribución de las velocidades moleculares en una muestra de helio se muestra en la Figura 9.34. Si la muestra se enfría, ¿la distribución de velocidades se parecerá más a la del H2 o a la del H2O? Explique su respuesta.

94.

¿Cuál es la relación entre la energía cinética media de una molécula de SO2 y la de una molécula de O2 en una mezcla de dos gases? ¿Cuál es la relación de las velocidades medias cuadráticas, urms, de los dos gases?

95.

Una muestra de 1 L de CO inicialmente a STP se calienta a 546 K, y su volumen se aumenta a 2 L.

(a) ¿Qué efecto tienen estos cambios en el número de colisiones de las moléculas del gas por unidad de superficie de la pared del recipiente?

(b) ¿Cuál es el efecto sobre la energía cinética media de las moléculas?

(c) ¿Cuál es el efecto sobre la velocidad media cuadrática de las moléculas?

96.

La velocidad media cuadrática de las moléculas de H2 a 25 °C es de aproximadamente 1,6 km/s. ¿Cuál es la velocidad media cuadrática de una molécula de N2 a 25 °C?

97.

Responda las siguientes preguntas:

(a) ¿Es la presión del gas en el globo aerostático que se muestra en la apertura de este capítulo mayor, menor o igual que la de la atmósfera fuera del globo?

(b) ¿La densidad del gas en el globo aerostático que se muestra en la apertura de este capítulo es mayor, menor o igual a la de la atmósfera fuera del globo?

(c) A una presión de 1 atm y una temperatura de 20 °C, el aire seco tiene una densidad de 1,2256 g/L. ¿Cuál es la masa molar (media) del aire seco?

(d) La temperatura media del gas en un globo aerostático es de 1,30 ×× 102 °F. Calcule su densidad, suponiendo que la masa molar es igual a la del aire seco.

(e) La capacidad de elevación de un globo aerostático es igual a la diferencia entre la masa del aire frío desplazado por el globo y la masa del gas en el globo. ¿Cuál es la diferencia en la masa de 1,00 L del aire frío de la parte (c) y del aire caliente de la parte (d)?

(f) Un globo medio tiene un diámetro de 60 pies y un volumen de 1,1 ×× 105 ft3. ¿Cuál es la potencia de elevación de un globo de este tipo? Si el peso del globo y su aparejo es de 500 libras, ¿cuál es su capacidad para transportar pasajeros y carga?

(g) Un globo transporta 40,0 galones de propano líquido (densidad 0,5005 g/L). ¿Qué volumen de gas CO2 y H2O se produce por la combustión de este propano?

(h) Un vuelo en globo puede durar unos 90 minutos. Si todo el combustible se quema durante este tiempo, ¿cuál es la tasa aproximada de pérdida de calor (en kJ/min) del aire caliente de la bolsa durante el vuelo?

98.

Demuestre que la relación entre la velocidad de difusión del gas 1 y la velocidad de difusión del gas 2, R1R2 ,R1R2 , es la misma a 0 °C y a 100 °C.

9.6 Comportamiento no ideal de los gases

99.

A continuación se muestran los gráficos del comportamiento de varios gases diferentes. ¿Cuál de estos gases presenta un comportamiento significativamente diferente al esperado en los gases ideales?

Esta figura incluye 6 gráficos. El primero, marcado como "Gas A", tiene un eje horizontal marcado como "Temperatura" y un eje vertical marcado como "Volumen". Un segmento de línea recta azul se extiende desde la parte inferior izquierda hasta la superior derecha de este gráfico. El área abierta en la parte inferior derecha del gráfico contiene la marca "n, P constante". El segundo, marcado como "Gas B", tiene un eje horizontal marcado como "P" y un eje vertical marcado como "P V". Un segmento de línea recta azul se extiende horizontalmente por el centro de este gráfico. El área abierta en la parte inferior derecha del gráfico contiene la marca "n, T constante". El tercero, marcado como "Gas C", tiene un eje horizontal marcado como "P V dividido por R T" y un eje vertical marcado como "Moles". Una curva azul comienza aproximadamente en la mitad del eje vertical, desciende ligeramente y luego aumenta de forma constante hasta la región superior derecha del gráfico. El cuarto, que está marcado como "Gas D", tiene un eje horizontal marcado como "P V dividido por R T" y un eje vertical marcado como "Moles". Un segmento de línea recta azul se extiende horizontalmente por el centro de este gráfico. El área abierta en la parte inferior derecha del gráfico contiene la marca "n, P constante". El quinto, marcado como "Gas E", tiene un eje horizontal marcado como "Temperatura" y un eje vertical marcado como "Volumen". Una curva azul se extiende desde la parte inferior izquierda hasta la superior derecha de este gráfico. El área abierta en la parte inferior derecha del gráfico contiene la marca "n, P constante". El sexto gráfico, marcado como "Gas F", tiene un eje horizontal marcado como "Temperatura" y un eje vertical marcado como "Presión". Una curva azul comienza hacia la región inferior izquierda del gráfico, aumenta a un ritmo rápido y luego sigue aumentando a un ritmo relativamente lento moviéndose de izquierda a derecha a través del gráfico. El área abierta en la parte inferior derecha del gráfico tiene la marca "n, V constante".
100.

Explique por qué el gráfico de PV para el CO2 difiere de la de un gas ideal.

Se muestra un gráfico. El eje horizontal está marcado como "P ( a t m )". Su escala está marcada en 0, 1 y 2. El eje vertical está marcado como "P V ( a t m L )". Esta escala incluye marcas en 0, 22,4, 22,5 y 22,6. Se dibujan dos curvas y dos líneas de distintos colores. Una es una línea azul horizontal que se extiende hacia la derecha desde aproximadamente 22,42 a t m L en el eje vertical, y está marcada como "Gas ideal". Las dos curvas restantes y una línea comienzan en el mismo punto del eje vertical. Una línea verde se extiende hacia arriba y hacia la derecha ligeramente en el gráfico, alcanzando un valor de aproximadamente 22,46 a t m L a las 2 a t m. Esta línea verde está marcada como "H e". Una curva naranja se sumerge inicialmente por debajo de la línea horizontal del gas ideal y luego aumenta hasta cruzar la línea justo después de 1 a t m. Esta curva alcanza un valor de aproximadamente 22,52 a t m L a las 2 a t m. Esta curva está marcada como "C H subíndice 4". Una curva púrpura se sumerge inicialmente por debajo de la línea horizontal del gas ideal y luego aumenta hasta cruzar la línea a unos 0,8 a t m. Esta curva alcanza un valor de casi 22,62 a t m L a casi 1,2 a t m. Esta curva está marcada como "C O subíndice 2".
101.

¿Bajo cuál de los siguientes conjuntos de condiciones un gas real se comporta más como un gas ideal, y en qué condiciones se espera que un gas real se desvíe del comportamiento ideal? Explique.

(a) alta presión, pequeño volumen

(b) alta temperatura, baja presión

(c) baja temperatura, alta presión

102.

Describa los factores responsables de la desviación del comportamiento de los gases reales con respecto al de un gas ideal.

103.

En cuál de los siguientes gases debe ser mayor la corrección del volumen molecular:

CO, CO2, H2, He, NH3, SF6?

104.

Un matraz de 0,245 L contiene 0,467 mol de CO2 a 159 °C. Calcule la presión:

(a) utilizando la ley de los gases ideales

(b) utilizando la ecuación de van der Waals

(c) Explique la razón de la diferencia.

(d) Identifique qué corrección (la de P o la de V) es dominante y por qué.

105.

Responda las siguientes preguntas:

(a) Si XX se comportara como un gas ideal, ¿qué aspecto tendría su gráfico de Z frente a P?

(b) En la mayor parte de este capítulo, hemos realizado cálculos tratando los gases como ideales. ¿Eso estaba justificado?

(c) ¿Cuál es el efecto del volumen de moléculas de gas en Z? ¿En qué condiciones este efecto es pequeño? ¿Cuándo es grande? Explíquelo utilizando un diagrama apropiado.

(d) ¿Cuál es el efecto de las atracciones intermoleculares sobre el valor de Z? ¿En qué condiciones este efecto es pequeño? ¿Cuándo es grande? Explíquelo utilizando un diagrama apropiado.

(e) En general, ¿en qué condiciones de temperatura esperaría que Z tuviera las mayores desviaciones respecto a la Z de un gas ideal?

Cita/Atribución

Este libro no puede ser utilizado en la formación de grandes modelos de lenguaje ni incorporado de otra manera en grandes modelos de lenguaje u ofertas de IA generativa sin el permiso de OpenStax.

¿Desea citar, compartir o modificar este libro? Este libro utiliza la Creative Commons Attribution License y debe atribuir a OpenStax.

Información de atribución
  • Si redistribuye todo o parte de este libro en formato impreso, debe incluir en cada página física la siguiente atribución:
    Acceso gratis en https://openstax.org/books/qu%C3%ADmica-2ed/pages/1-introduccion
  • Si redistribuye todo o parte de este libro en formato digital, debe incluir en cada vista de la página digital la siguiente atribución:
    Acceso gratuito en https://openstax.org/books/qu%C3%ADmica-2ed/pages/1-introduccion
Información sobre citas

© 19 may. 2022 OpenStax. El contenido de los libros de texto que produce OpenStax tiene una licencia de Creative Commons Attribution License . El nombre de OpenStax, el logotipo de OpenStax, las portadas de libros de OpenStax, el nombre de OpenStax CNX y el logotipo de OpenStax CNX no están sujetos a la licencia de Creative Commons y no se pueden reproducir sin el previo y expreso consentimiento por escrito de Rice University.