Skip to ContentGo to accessibility pageKeyboard shortcuts menu
OpenStax Logo
Search for key terms or text.

Problem 2-3
H3C−OH < H3C−MgBr < H3C−Li = H3C−F < H3C−K
Problem 2-4

The nitrogen is electron-rich, and the carbon is electron-poor.

The chemical structure of methylamine where the direction of the dipole moment points from carbon toward nitrogen.
Problem 2-5

The two C–O dipoles cancel because of the symmetry of the molecule:

The chemical structure of ethylene glycol, where the direction of both dipole moments points from carbon toward the hydroxyl group in opposite directions.
Problem 2-7
(a)
For carbon: FC = 4 − 8/2 − 0 = 0 For the middle nitrogen: FC = 5 − 8/2 − 0 = +1 For the end nitrogen: FC = 5 − 4/2 − 4 = −1
(b)
For nitrogen: FC = 5 − 8/2 − 0 = +1 For oxygen: FC = 6 − 2/2 − 6 = −1
(c)
For nitrogen: FC = 5 − 8/2 − 0 = +1 For the triply bonded carbon: FC = 4 − 6/2 − 2 = −1
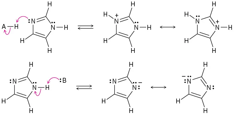
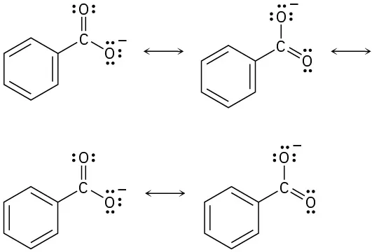
Problem 2-9
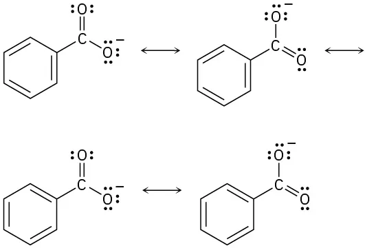
The structures in (a) are resonance forms.
Problem 2-12
Phenylalanine is stronger.
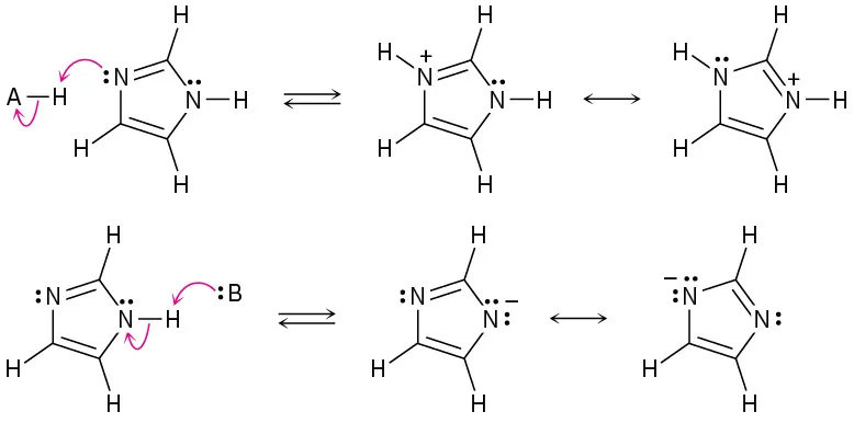
Problem 2-13
Water is a stronger acid.
Problem 2-14
Neither reaction will take place.
Problem 2-15
Reaction will take place.
Problem 2-16
Ka = 4.9 × 10–10
Problem 2-19
Vitamin C is water-soluble (hydrophilic); vitamin A is fat-soluble (hydrophobic).
Citation/Attribution

This book may not be used in the training of large language models or otherwise be ingested into large language models or generative AI offerings without OpenStax's permission.

Want to cite, share, or modify this book? This book uses the Creative Commons Attribution-NonCommercial-ShareAlike License and you must attribute OpenStax.

Attribution information
  • If you are redistributing all or part of this book in a print format, then you must include on every physical page the following attribution:

    Access for free at https://openstax.org/books/organic-chemistry/pages/1-why-this-chapter

  • If you are redistributing all or part of this book in a digital format, then you must include on every digital page view the following attribution:

    Access for free at https://openstax.org/books/organic-chemistry/pages/1-why-this-chapter

Citation information

© Jul 9, 2025 OpenStax. Textbook content produced by OpenStax is licensed under a Creative Commons Attribution-NonCommercial-ShareAlike License . The OpenStax name, OpenStax logo, OpenStax book covers, OpenStax CNX name, and OpenStax CNX logo are not subject to the Creative Commons license and may not be reproduced without the prior and express written consent of Rice University.