Skip to ContentGo to accessibility pageKeyboard shortcuts menu
OpenStax Logo
Organic Chemistry

2.6 Drawing Resonance Forms

Organic Chemistry2.6 Drawing Resonance Forms
Search for key terms or text.

2.6 • Drawing Resonance Forms

Look back at the resonance forms of the acetate ion and the acetone anion shown in the previous section. The pattern seen there is a common one that leads to a useful technique for drawing resonance forms. In general, any three-atom grouping with a p orbital on each atom has two resonance forms:

Two resonance forms in a three-atom grouping of X, Y, and Z with one double bond in the structure shown separated by a double-headed arrow.

The atoms X, Y, and Z in the general structure might be C, N, O, P, S, or others, and the asterisk (*) might mean that the p orbital on atom Z is vacant, that it contains a single electron, or that it contains a lone pair of electrons. The two resonance forms differ simply by an exchange in position of the multiple bond and the asterisk from one end of the three-atom grouping to the other.

By learning to recognize such three-atom groupings within larger structures, resonance forms can be systematically generated. Look, for instance, at the anion produced when H+ is removed from 2,4-pentanedione by reaction with a base. How many resonance structures does the resultant anion have?

The chemical reaction of 2,4 – pentanedione with a base.

The 2,4-pentanedione anion has a lone pair of electrons and a formal negative charge on the central carbon atom, next to a C=OC=O bond on the left. The O=C–C:O=C–C: grouping is a typical one for which two resonance structures can be drawn.

An arrow mechanism of resonance in a 2,4-pentanedione anion.

Just as there is a C=OC=O bond to the left of the lone pair, there is a second C=OC=O bond to the right. Thus, we can draw a total of three resonance structures for the 2,4-pentanedione anion.

Three resonance forms of 2,4-pentanedione, separated by two double-headed arrows.

Worked Example 2.2

Drawing Resonance Forms for an Anion

Draw three resonance structures for the carbonate ion, CO32–.

The chemical structure of a carbonate ion.

Strategy

Look for three-atom groupings that contain a multiple bond next to an atom with a p orbital. Then exchange the positions of the multiple bond and the electrons in the p orbital. In the carbonate ion, each singly bonded oxygen atom with three lone pairs and a negative charge is adjacent to the C=OC=O double bond, giving the grouping Condensed structure of O with two nonbonding pairs double-bonded to C, which is single-bonded to another O with three nonbonding pairs and a negative charge..

Solution

Exchanging the position of the double bond and an electron lone pair in each grouping generates three resonance structures.
Three resonance structures of the carbonate ion, featuring the lone pairs and charges on the oxygen atoms in each case and separated by two double-headed arrows.

Worked Example 2.3

Drawing Resonance Forms for a Radical

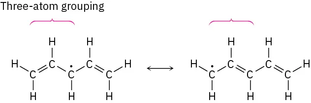
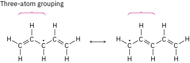
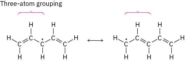
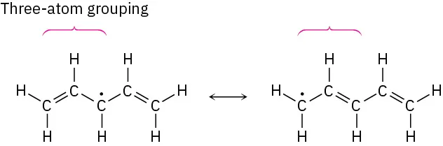
Draw three resonance forms for the pentadienyl radical, where a radical is a substance that contains a single, unpaired electron in one of its orbitals, denoted by a dot (·).

The chemical structure of pentadienyl radical, featuring an unpaired electron on the right-most carbon atom.

Strategy

Find the three-atom groupings that contain a multiple bond next to an atom with a p orbital.

Solution

The unpaired electron is on a carbon atom next to a C=CC=C bond, giving a typical three-atom grouping that has two resonance forms.
Two resonance forms of pentadienyl radical, featuring an unpaired electron on the right-most carbon atom in one case and the central carbon atom in the next, separated by a double-headed arrow.

In the second resonance form, the unpaired electron is next to another double bond, giving another three-atom grouping and leading to another resonance form.

Two resonance forms of pentadienyl radical, featuring an unpaired electron on the central carbon atom in one case and the left-most carbon atom in the next, separated by a double-headed arrow.

Thus, the three resonance forms for the pentadienyl radical are:

All three resonance forms of pentadienyl radical, separated by double-headed arrows.
Problem 2-9

Which of the following pairs of structures represent resonance forms, and which do not? Explain.

(a)Chemical structures of phenylmethylium on the left and 1-methylenecyclohexa-2,5-dien-4-ylium on the right. (b)Chemical structures of 2-methyl-4-ethylhexa-1,3-diene on the left and 2-ethyl-4-methylpenta-1,3-diene on the right.

Problem 2-10
Draw the indicated number of resonance forms for each of the following substances:
(a)
The methyl phosphate anion, CH3OPO32– (3)
(b)
The nitrate anion, NO3 (3)
(c)
The allyl cation, H2C = CH–CH2+ (2)
(d)

The benzoate anion (2)

The chemical structure of benzoate anion where a carboxylate group COO- is attached to a benzene ring.
Citation/Attribution

This book may not be used in the training of large language models or otherwise be ingested into large language models or generative AI offerings without OpenStax's permission.

Want to cite, share, or modify this book? This book uses the Creative Commons Attribution-NonCommercial-ShareAlike License and you must attribute OpenStax.

Attribution information
  • If you are redistributing all or part of this book in a print format, then you must include on every physical page the following attribution:

    Access for free at https://openstax.org/books/organic-chemistry/pages/1-why-this-chapter

  • If you are redistributing all or part of this book in a digital format, then you must include on every digital page view the following attribution:

    Access for free at https://openstax.org/books/organic-chemistry/pages/1-why-this-chapter

Citation information

© Jul 9, 2025 OpenStax. Textbook content produced by OpenStax is licensed under a Creative Commons Attribution-NonCommercial-ShareAlike License . The OpenStax name, OpenStax logo, OpenStax book covers, OpenStax CNX name, and OpenStax CNX logo are not subject to the Creative Commons license and may not be reproduced without the prior and express written consent of Rice University.