Skip to ContentGo to accessibility pageKeyboard shortcuts menu
OpenStax Logo
Organic Chemistry

2.11 Acids and Bases: The Lewis Definition

Organic Chemistry2.11 Acids and Bases: The Lewis Definition
Search for key terms or text.

2.11 • Acids and Bases: The Lewis Definition

The Lewis definition of acids and bases is more encompassing than the Brønsted–Lowry definition because it’s not limited to substances that donate or accept just protons. A Lewis acid is a substance that accepts an electron pair, and a Lewis base is a substance that donates an electron pair. The donated electron pair is shared between the acid and the base in a covalent bond.

In a reaction, Lewis base B, with a filled orbital, and Lewis acid A, with a vacant orbital, form the product molecule BA.

Lewis Acids and the Curved Arrow Formalism

The fact that a Lewis acid is able to accept an electron pair means that it must have either a vacant, low-energy orbital or a polar bond to hydrogen so that it can donate H+ (which has an empty 1s orbital). Thus, the Lewis definition of acidity includes many species in addition to H+. For example, various metal cations, such as Mg2+, are Lewis acids because they accept a pair of electrons when they form a bond to a base. We’ll also see in later chapters that certain metabolic reactions begin with an acid–base reaction between Mg2+ as a Lewis acid and an organic diphosphate or triphosphate ion as the Lewis base.

A reaction shows Lewis acid (M g 2 positive) reacting with Lewis base (an organodiphosphate ion) to form an acid-base complex.

In the same way, compounds of group 3A elements, such as BF3 and AlCl3, are Lewis acids because they have unfilled valence orbitals and can accept electron pairs from Lewis bases, as shown in Figure 2.6. Similarly, many transition-metal compounds, such as TiCl4, FeCl3, ZnCl2, and SnCl4, are Lewis acids.

A reversible reaction shows boron trifluoride (Lewis acid) reacting with dimethyl ether (Lewis base) to form an acid-base complex. Electrostatic potential maps of reactants and product are shown above.
Figure 2.6 The reaction of boron trifluoride, a Lewis acid, with dimethyl ether, a Lewis base. The Lewis acid accepts a pair of electrons, and the Lewis base donates a pair of nonbonding electrons. Note how the movement of electrons from the Lewis base to the Lewis acid is indicated by a curved arrow. Note also how, in electrostatic potential maps, the boron becomes more negative (red) after reaction because it has gained electrons and the oxygen atom becomes more positive (blue) because it has donated electrons.

Look closely at the acid–base reaction in Figure 2.6, and notice how it's shown. Dimethyl ether, the Lewis base, donates an electron pair to a vacant valence orbital of the boron atom in BF3, a Lewis acid. The direction of electron-pair flow from base to acid is shown using a curved arrow, just as the direction of electron flow from one resonance structure to another was shown using curved arrows in Section 2.5. We’ll use this curved-arrow notation throughout the remainder of this text to indicate electron flow during reactions, so get used to seeing it.

Some further examples of Lewis acids follow:

Some neutral proton donors, such as water, carboxylic acid, phenol, as well as some cations like lithium ions, and some metal compounds like aluminum chloride, are collectively labeled Lewis acids.

Lewis Bases

The Lewis definition of a base—a compound with a pair of nonbonding electrons that it can use to bond to a Lewis acid—is similar to the Brønsted–Lowry definition. Thus, H2O, with its two pairs of nonbonding electrons on oxygen, acts as a Lewis base by donating an electron pair to an H+ in forming the hydronium ion, H3O+.

In a reversible reaction, hydrogen chloride acting as an acid reacts with water acting as a base, to form a hydronium ion and chloride ion.

In a more general sense, most oxygen- and nitrogen-containing organic compounds can act as Lewis bases because they have lone pairs of electrons. A divalent oxygen compound has two lone pairs of electrons, and a trivalent nitrogen compound has one lone pair. Note in the following examples that some compounds can act as both acids and bases, just as water can. Alcohols and carboxylic acids, for instance, act as acids when they donate an H+ but as bases when their oxygen atom accepts an H+.

Some Lewis bases are alcohol, ether, aldehyde, ketone, acid chloride, carboxylic acid, ester, amide, amine, sulfide, and organotriphosphate ion.

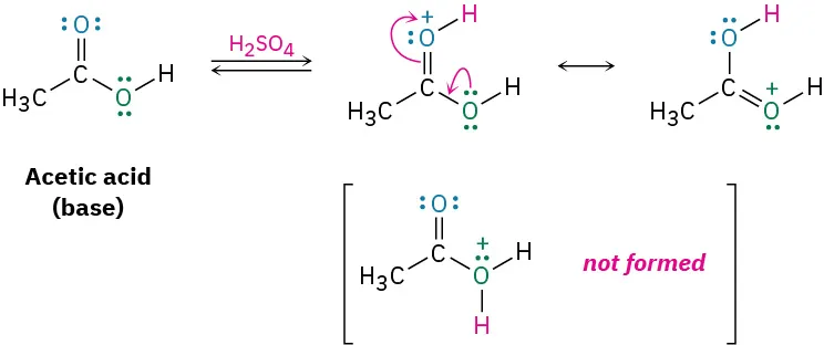
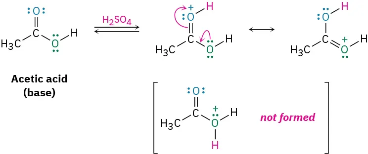
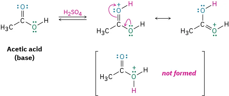
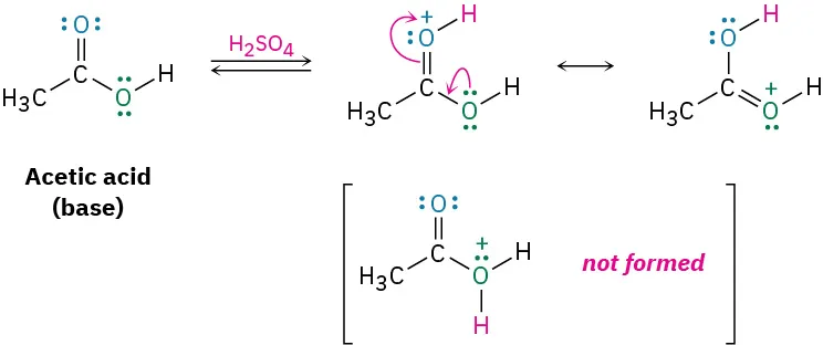
Note also that some Lewis bases, such as carboxylic acids, esters, and amides, have more than one atom with a lone pair of electrons and can therefore react at more than one site. Acetic acid, for example, can be protonated either on the doubly bonded oxygen atom or on the singly bonded oxygen atom. Reaction normally occurs only once in such instances, and the more stable of the two possible protonation products is formed. For acetic acid, protonation by reaction with sulfuric acid occurs on the doubly bonded oxygen because that product is stabilized by two resonance forms.

In a reversible reaction, acetic acid (base) reacts with sulfuric acid to form two resonance structures of a protonated product. The not formed product shows protonation on single bonded oxygen.

Worked Example 2.6

Using Curved Arrows to Show Electron Flow

Using curved arrows, show how acetaldehyde, CH3CHO, can act as a Lewis base.

Strategy

A Lewis base donates an electron pair to a Lewis acid. We therefore need to locate the electron lone pairs on acetaldehyde and use a curved arrow to show the movement of a pair toward the H atom of the acid.

Solution

In a reversible reaction, acetaldehyde reacts with H A to form a protonated product and an anion.
Problem 2-17
Using curved arrows, show how the species in part (a) can act as Lewis bases in their reactions with HCl, and show how the species in part (b) can act as Lewis acids in their reaction with OH.
(a)
CH3CH2OH, HN(CH3)2, P(CH3)3
(b)
H3C+, B(CH3)3, MgBr2
Problem 2-18

Imidazole, which forms part of amino acid histidine, can act as both an acid and a base.

Line-angle structure, ball-and-stick model, and electrostatic potential map of imidazole along with line-angle structure of histidine.
(a)
Look at the electrostatic potential map of imidazole, and identify the most acidic hydrogen atom and the most basic nitrogen atom.
(b)
Draw structures for the resonance forms of the products that result when imidazole is protonated by an acid and deprotonated by a base.
Citation/Attribution

This book may not be used in the training of large language models or otherwise be ingested into large language models or generative AI offerings without OpenStax's permission.

Want to cite, share, or modify this book? This book uses the Creative Commons Attribution-NonCommercial-ShareAlike License and you must attribute OpenStax.

Attribution information
  • If you are redistributing all or part of this book in a print format, then you must include on every physical page the following attribution:

    Access for free at https://openstax.org/books/organic-chemistry/pages/1-why-this-chapter

  • If you are redistributing all or part of this book in a digital format, then you must include on every digital page view the following attribution:

    Access for free at https://openstax.org/books/organic-chemistry/pages/1-why-this-chapter

Citation information

© Jul 9, 2025 OpenStax. Textbook content produced by OpenStax is licensed under a Creative Commons Attribution-NonCommercial-ShareAlike License . The OpenStax name, OpenStax logo, OpenStax book covers, OpenStax CNX name, and OpenStax CNX logo are not subject to the Creative Commons license and may not be reproduced without the prior and express written consent of Rice University.