Skip to ContentGo to accessibility pageKeyboard shortcuts menu
OpenStax Logo
Organic Chemistry

2.10 Organic Acids and Organic Bases

Organic Chemistry2.10 Organic Acids and Organic Bases
Search for key terms or text.

2.10 • Organic Acids and Organic Bases

Many of the reactions we’ll be seeing in future chapters, including practically all biological reactions, involve organic acids and organic bases. Although it’s too early to go into the details of these processes now, you might keep the following generalities in mind:

Organic Acids

Organic acids are characterized by the presence of a positively polarized hydrogen atom (blue in electrostatic potential maps) and are of two main kinds: acids such as methanol and acetic acid that contain a hydrogen atom bonded to an electronegative oxygen atom (O–H) and those such as acetone (Section 2.5) that contain a hydrogen atom bonded to a carbon atom next to a C=OC=O bond (O=C–C–HO=C–C–H).

Electrostatic potential maps and wedge-dash structures of methanol, acetic acid, and acetone along with their respective p K a values, 15.54, 4.76, and 19.3.

Methanol contains an O–H bond and is a weak acid, while acetic acid also contains an O–H bond and is a somewhat stronger acid. In both cases, acidity is due to the fact that the conjugate base resulting from loss of H+ is stabilized by having its negative charge on a strongly electronegative oxygen atom. In addition, the conjugate base of acetic acid is stabilized by resonance (Section 2.4 and Section 2.5).

Two reactions show the formation of methoxide ion from methanol and two resonance structures of an acetate ion from acetic acid. In both reactions, a hydrogen ion is eliminated.

The acidity of acetone and other compounds with C=OC=O bonds is due to the fact that the conjugate base resulting from loss of H+ is stabilized by resonance. In addition, one of the resonance forms stabilizes the negative charge by placing it on an electronegative oxygen atom.

In a reaction, acetone loses a hydrogen ion to form two resonance structures of acetone enolate, separated by a double-headed arrow.

Electrostatic potential maps of the conjugate bases from methanol, acetic acid, and acetone are shown in Figure 2.5. As you might expect, all three show a substantial amount of negative charge (red) on oxygen.

Electrostatic potential maps and condensed structural formulas of methoxide ion, acetate ion, and acetone enolate, showing high electron density around all oxygen atoms and the carbon atom involved in enolate resonance.
Figure 2.5 Electrostatic potential maps of the conjugate bases of (a) methanol, (b) acetic acid, and (c) acetone. The electronegative oxygen atoms stabilize the negative charge in all three.

Compounds called carboxylic acids, which contain the –CO2H grouping, occur abundantly in all living organisms and are involved in almost all metabolic pathways. Acetic acid, pyruvic acid, and citric acid are examples. You might note that at the typical pH of 7.3 found within cells, carboxylic acids are usually dissociated and exist as their carboxylate anions, –CO2.

The structural formulas of acetic acid, pyruvic acid, and citric acid.

Organic Bases

Organic bases are characterized by the presence of an atom (reddish in electrostatic potential maps) with a lone pair of electrons that can bond to H+. Nitrogen-containing compounds such as methylamine are the most common organic bases and are involved in almost all metabolic pathways, but oxygen-containing compounds can also act as bases when reacting with a sufficiently strong acid. Note that some oxygen-containing compounds can act both as acids and as bases depending on the circumstances, just as water can. Methanol and acetone, for instance, act as acids when they donate a proton but as bases when their oxygen atom accepts a proton.

Electrostatic potential maps and molecular structures of methylamine, methanol, and acetone.

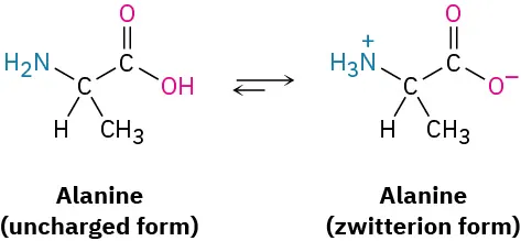
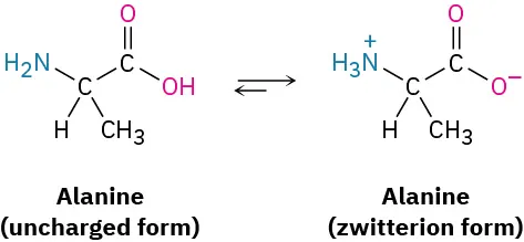
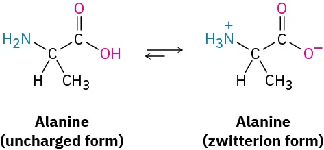
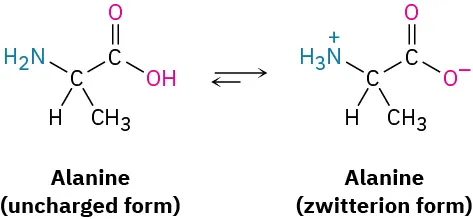
We’ll see in Chapter 26 that substances called amino acids, so-named because they are both amines (–NH2) and carboxylic acids (–CO2H), are the building blocks from which the proteins in all living organisms are made. Twenty different amino acids go into making up proteins—alanine is an example. Interestingly, alanine and other amino acids exist primarily in a doubly charged form called a zwitterion rather than in the uncharged form. The zwitterion form arises because amino acids have both acidic and basic sites within the same molecule and therefore undergo an internal acid–base reaction.

In a reversible conversion, uncharged form of alanine converts to the more favored zwitterion form of alanine.
Citation/Attribution

This book may not be used in the training of large language models or otherwise be ingested into large language models or generative AI offerings without OpenStax's permission.

Want to cite, share, or modify this book? This book uses the Creative Commons Attribution-NonCommercial-ShareAlike License and you must attribute OpenStax.

Attribution information
  • If you are redistributing all or part of this book in a print format, then you must include on every physical page the following attribution:

    Access for free at https://openstax.org/books/organic-chemistry/pages/1-why-this-chapter

  • If you are redistributing all or part of this book in a digital format, then you must include on every digital page view the following attribution:

    Access for free at https://openstax.org/books/organic-chemistry/pages/1-why-this-chapter

Citation information

© Jul 9, 2025 OpenStax. Textbook content produced by OpenStax is licensed under a Creative Commons Attribution-NonCommercial-ShareAlike License . The OpenStax name, OpenStax logo, OpenStax book covers, OpenStax CNX name, and OpenStax CNX logo are not subject to the Creative Commons license and may not be reproduced without the prior and express written consent of Rice University.