Skip to ContentGo to accessibility pageKeyboard shortcuts menu
OpenStax Logo
Organic Chemistry

2.12 Noncovalent Interactions between Molecules

Organic Chemistry2.12 Noncovalent Interactions between Molecules
Search for key terms or text.

2.12 • Noncovalent Interactions between Molecules

When thinking about chemical reactivity, chemists usually focus their attention on bonds, the covalent interactions between atoms within molecules. Also important, however, particularly in large biomolecules like proteins and nucleic acids, are a variety of interactions between molecules that strongly affect molecular properties. Collectively called either intermolecular forces, van der Waals forces, or noncovalent interactions, they are of several different types: dipole–dipole forces, dispersion forces, and hydrogen bonds.

Dipole–dipole forces occur between polar molecules as a result of electrostatic interactions among dipoles. The forces can be either attractive or repulsive depending on the orientation of the molecules—attractive when unlike charges are together and repulsive when like charges are together. The attractive geometry is lower in energy and therefore predominates (Figure 2.7).

(a) Eight polar molecules arranged closely attract due to proximity of opposite charges. (b) Six polar molecules arranged loosely repel due to proximity of like charges.
Figure 2.7 Dipole–dipole forces cause polar molecules (a) to attract one another when they orient with unlike charges together, but (b) to repel one another when they orient with like charges together.

Dispersion forces occur between all neighboring molecules and arise because the electron distribution within molecules is constantly changing. Although uniform on a time-averaged basis, the electron distribution even in nonpolar molecules is likely to be nonuniform at any given instant. One side of a molecule may, by chance, have a slight excess of electrons relative to the opposite side, giving the molecule a temporary dipole. This temporary dipole in one molecule causes a nearby molecule to adopt a temporarily opposite dipole, resulting in a tiny attraction between the two (Figure 2.8). Temporary molecular dipoles have only a fleeting existence and are constantly changing, but their cumulative effect is often strong enough to hold molecules close together so that a substance is a liquid or solid rather than a gas.

Space-filling models of four pentane molecules arranged vertically, each with partial positive charge (at top left and bottom left) and partial negative charge (at top right and bottom right).
Figure 2.8 Attractive dispersion forces in nonpolar molecules are caused by temporary dipoles, as shown in these models of pentane, C5H12.

Perhaps the most important noncovalent interaction in biological molecules is the hydrogen bond, an attractive interaction between a hydrogen atom bonded to an electronegative O or N atom and an unshared electron pair on another O or N atom. In essence, a hydrogen bond is a very strong dipole–dipole interaction involving polarized O–H or N–H bonds. Electrostatic potential maps of water and ammonia clearly show the positively polarized hydrogens (blue) and the negatively polarized oxygens and nitrogens (red).

Structures and electrostatic plots depict hydrogen bonding shown by a dotted line between two water molecules and two ammonia molecules.

Hydrogen bonding has enormous consequences for living organisms. Hydrogen bonds cause water to be a liquid rather than a gas at ordinary temperatures, they hold enzymes in the shapes necessary for catalyzing biological reactions, and they cause strands of deoxyribonucleic acid (DNA) to pair up and coil into the double helix that stores genetic information.

The space-filling model and chemical structure of a deoxyribonucleic acid segment, featuring hydrogen bonds between both strands.

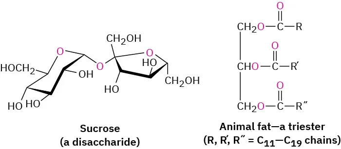
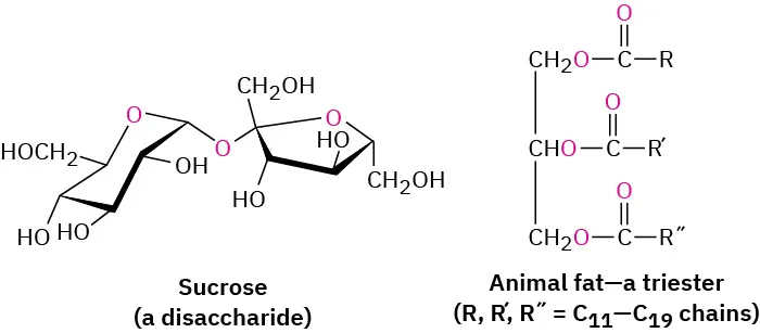
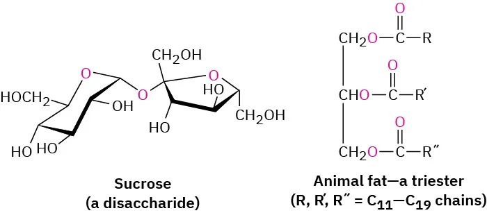
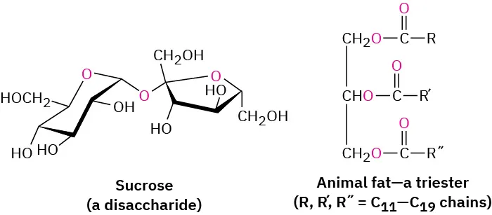
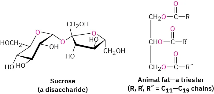
One further point before leaving the subject of noncovalent interactions: biochemists frequently use the term hydrophilic, meaning “water-loving,” to describe a substance that is attracted to water and the term hydrophobic, meaning “water-fearing,” to describe a substance that is not strongly attracted to water. Hydrophilic substances, such as table sugar, often have a number of –OH groups in their structure so they can form hydrogen bonds and dissolve in water, whereas hydrophobic substances, such as vegetable oil, do not have groups that form hydrogen bonds and do not dissolve in water.

Chemical structures of sucrose (a disaccharide), with lots of O H bonds, and animal fat (a triester), with no O H bonds.
Problem 2-19

Of the two vitamins A and C, one is hydrophilic and water-soluble while the other is hydrophobic and fat-soluble. Which is which?

The bond-line structures of vitamin A (retinol) and vitamin C (ascorbic acid).
Citation/Attribution

This book may not be used in the training of large language models or otherwise be ingested into large language models or generative AI offerings without OpenStax's permission.

Want to cite, share, or modify this book? This book uses the Creative Commons Attribution-NonCommercial-ShareAlike License and you must attribute OpenStax.

Attribution information
  • If you are redistributing all or part of this book in a print format, then you must include on every physical page the following attribution:

    Access for free at https://openstax.org/books/organic-chemistry/pages/1-why-this-chapter

  • If you are redistributing all or part of this book in a digital format, then you must include on every digital page view the following attribution:

    Access for free at https://openstax.org/books/organic-chemistry/pages/1-why-this-chapter

Citation information

© Jul 9, 2025 OpenStax. Textbook content produced by OpenStax is licensed under a Creative Commons Attribution-NonCommercial-ShareAlike License . The OpenStax name, OpenStax logo, OpenStax book covers, OpenStax CNX name, and OpenStax CNX logo are not subject to the Creative Commons license and may not be reproduced without the prior and express written consent of Rice University.