Skip to ContentGo to accessibility pageKeyboard shortcuts menu
OpenStax Logo
Organic Chemistry

2.3 Formal Charges

Organic Chemistry2.3 Formal Charges
Search for key terms or text.

2.3 • Formal Charges

Closely related to the ideas of bond polarity and dipole moment is the assignment of formal charges to specific atoms within a molecule, particularly atoms that have an apparently “abnormal” number of bonds. Look at dimethyl sulfoxide (CH3SOCH3), for instance, a solvent commonly used for preserving biological cell lines at low temperature. The sulfur atom in dimethyl sulfoxide has three bonds rather than the usual two and has a formal positive charge. The oxygen atom, by contrast, has one bond rather than the usual two and has a formal negative charge. Note that an electrostatic potential map of dimethyl sulfoxide shows the oxygen as negative (red) and the sulfur as relatively positive (blue), in accordance with the formal charges.

Chemical structure and ball-and-stick model in electron potental map of dimethylsulfoxide. Central S has two methyl groups, oxygen, and a nonbonding pair. Sulfur is formal positive, oxygen is formal negative.

Formal charges, as the name suggests, are a formalism and don’t imply the presence of actual ionic charges in a molecule. Instead, they’re a device for electron “bookkeeping” and can be thought of in the following way: A typical covalent bond is formed when each atom donates one electron. Although the bonding electrons are shared by both atoms, each atom can still be considered to “own” one electron for bookkeeping purposes. In methane, for instance, the carbon atom owns one electron in each of the four C–H bonds. Because a neutral, isolated carbon atom has four valence electrons, and because the carbon atom in methane still owns four, the methane carbon atom is neutral and has no formal charge.

Lewis structure of carbon with text reading carbon atom owns four electrons. Lewis structure of methane with text reading this carbon atom also owns 8 over 2 equals 4 electrons.

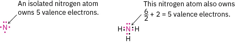
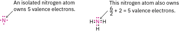
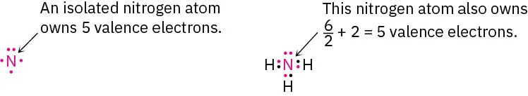
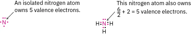
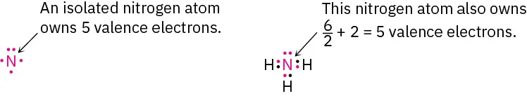
The same is true for the nitrogen atom in ammonia, which has three covalent N–H bonds and two nonbonding electrons (a lone pair). Atomic nitrogen has five valence electrons, and the ammonia nitrogen also has five—one in each of three shared N–H bonds plus two in the lone pair. Thus, the nitrogen atom in ammonia has no formal charge.

Lewis structure of nitrogen showing five valence electrons. Lewis structure of ammonia with text reading this nitrogen atom also owns 6 over 2 plus 2 equals 5 electrons.

The situation is different in dimethyl sulfoxide. Atomic sulfur has six valence electrons, but the dimethyl sulfoxide sulfur owns only five—one in each of the two S–C single bonds, one in the S–O single bond, and two in a lone pair. Thus, the sulfur atom has formally lost an electron and therefore has a positive formal charge. A similar calculation for the oxygen atom shows that it has formally gained an electron and has a negative charge. Atomic oxygen has six valence electrons, but the oxygen in dimethyl sulfoxide has seven—one in the O–S bond and two in each of three lone pairs. Thus, the oxygen has formally gained an electron and has a negative formal charge.

Lewis structure of dimethyl sulfoxide with breakdown of valence, bonding, and nonbonding electrons. Sulfur owns five electrons in structure, formal positive. Oxygen owns seven electrons in structure, formal negative.

To express the calculations in a general way, the formal charge on an atom is equal to the number of valence electrons in a neutral, isolated atom minus the number of electrons owned by that bonded atom in a molecule. The number of electrons in the bonded atom, in turn, is equal to half the number of bonding electrons plus the nonbonding, lone-pair electrons.

Text image says formal charge equals number of free atom valence electrons minus number of bonded atom valence electrons (latter is half of bonding plus all nonbonding electrons).

A summary of commonly encountered formal charges and the bonding situations in which they occur is given in Table 2.2. Although only a bookkeeping device, formal charges often give clues about chemical reactivity, so it’s helpful to be able to identify and calculate them correctly.

Table 2.2 A Summary of Common Formal Charges
Atom C N O S P
Structure Structure showing carbon with three open bonds and a radical (single electron). Structure showing carbon with three open bonds and a positive charge. Structure showing carbon with three open bonds and a positive charge. Structure showing nitrogen with four open bonds and a positive charge. Structure showing nitrogen with two open bonds, two nonbonding pairs, and a negative charge. Structure showing oxygen with three open bonds, a nonbonding pair, and a positive charge. Structure showing oxygen with one open bond, three nonbonding pairs, and a negative charge. Structure showing sulfur with three open bonds, a nonbonding pair, and a positive charge. Structure showing sulfur with one open bond, three nonbonding pairs, and a negative charge. Structure showing phosphorus with four open bonds and a positive charge.
Valence electrons 4 4 4 5 5 6 6 6 6 5
Number of bonds 3 3 3 4 2 3 1 3 1 4
Number of nonbonding electrons 1 0 2 0 4 2 6 2 6 0
Formal charge 0 +1 –1 +1 –1 +1 –1 +1 –1 +1
Problem 2-7
Calculate formal charges for the nonhydrogen atoms in the following molecules:
(a)
Text reading diazomethane and a condensed structure of C H 2 double bonded to N double bonded to another N. There are two nonbonding pairs on the final N.
(b)
Text reading acetonitrile oxide and a condensed structure of C H 3 C N O, with a triple bond between C and N and three nonbonding pairs on O.
(c)
Text reading methyl isocyanide and a condensed structure of C H 3 N C, with a triple bond between N and C and a nonbonding pair on the triple-bonded carbon.
Problem 2-8

Organic phosphate groups occur commonly in biological molecules. Calculate formal charges on the four O atoms in the methyl phosphate dianion.

Structure of phosphorus with double bond to oxygen, two single bonds to oxygen, and single bond to O C H 3, all in brackets with a negative 2 charge overall.
Citation/Attribution

This book may not be used in the training of large language models or otherwise be ingested into large language models or generative AI offerings without OpenStax's permission.

Want to cite, share, or modify this book? This book uses the Creative Commons Attribution-NonCommercial-ShareAlike License and you must attribute OpenStax.

Attribution information
  • If you are redistributing all or part of this book in a print format, then you must include on every physical page the following attribution:

    Access for free at https://openstax.org/books/organic-chemistry/pages/1-why-this-chapter

  • If you are redistributing all or part of this book in a digital format, then you must include on every digital page view the following attribution:

    Access for free at https://openstax.org/books/organic-chemistry/pages/1-why-this-chapter

Citation information

© Jul 9, 2025 OpenStax. Textbook content produced by OpenStax is licensed under a Creative Commons Attribution-NonCommercial-ShareAlike License . The OpenStax name, OpenStax logo, OpenStax book covers, OpenStax CNX name, and OpenStax CNX logo are not subject to the Creative Commons license and may not be reproduced without the prior and express written consent of Rice University.