Skip to ContentGo to accessibility pageKeyboard shortcuts menu
OpenStax Logo
Organic Chemistry

29.6 Conversion of Pyruvate to Acetyl CoA

Organic Chemistry29.6 Conversion of Pyruvate to Acetyl CoA
Search for key terms or text.

29.6 • Conversion of Pyruvate to Acetyl CoA

Pyruvate, produced by catabolism of glucose (and by degradation of several amino acids), can undergo several further transformations depending on the conditions and on the organism. In the absence of oxygen, pyruvate can either be reduced by NADH to yield lactate [CH3CH(OH)CO2] or, in yeast, fermented to give ethanol. Under typical aerobic conditions in mammals, however, pyruvate is converted by a process called oxidative decarboxylation to give acetyl CoA plus CO2. (Oxidative because the oxidation state of the carbonyl carbon rises from that of a ketone to that of a thioester.)

The conversion occurs through a multistep sequence of reactions catalyzed by a complex of enzymes and cofactors called the pyruvate dehydrogenase complex. The process occurs in three stages, each catalyzed by one of the enzymes in the complex, as outlined in Figure 29.13. Acetyl CoA, the ultimate product, then acts as fuel for the final stage of catabolism, the citric acid cycle.

Step 1 of Figure 29.13: Addition of Thiamin Diphosphate

The conversion of pyruvate to acetyl CoA begins by reaction of pyruvate with thiamin diphosphate, a derivative of vitamin B1. Formerly called thiamin pyrophosphate, thiamin diphosphate is usually abbreviated as TPP. The spelling thiamine is also correct and frequently used.

The key structural element in thiamin diphosphate is the thiazolium ring—a five-membered, unsaturated heterocycle containing a sulfur atom and a positively charged nitrogen atom. The thiazolium ring is weakly acidic, with a pKa of approximately 18 for the ring hydrogen between N and S. Bases can therefore deprotonate thiamin diphosphate, leading to formation of an ylide much like the phosphonium ylides used in Wittig reactions (Section 19.11). As in the Wittig reaction, the TPP ylide is a nucleophile and adds to the ketone carbonyl group of pyruvate to yield an alcohol addition product.

Thiamin diphosphate reacts with base to form thiamin diphosphate ylide. The thiazolium ring's p K a is 18. Pyruvate and yilde consolidation  yields an alpha hydroxyl acid thiamin diphosphate.
Figure 29.13 MECHANISM
Mechanism for the conversion of pyruvate to acetyl CoA through a multistep sequence of reactions that requires three different enzymes and four different coenzymes. The individual steps are explained in the text.
The conversion of pyruvate to acetyl-coenzyme A involves thiamin diphosphate ylide condensation, decarboxylation, addition of lipoamide, and coenzyme A nucleophilic acyl substitution.

Step 2 of Figure 29.13: Decarboxylation

The TPP addition product, which contains an iminium ion β to a carboxylate anion, undergoes decarboxylation in much the same way that a β-keto acid decarboxylates in the acetoacetic ester synthesis (Section 22.7). The CN+CN+ bond of the pyruvate addition product acts like the COCO bond of a β-keto acid to accept electrons as CO2 leaves, giving hydroxyethylthiamin diphosphate (HETPP).

Thiamin addition product undergoes decarboxylation reaction that leads to the formation of hydroxyethylthiamin diphosphate and carbon dioxide as the product.

Step 3 of Figure 29.13: Reaction with Lipoamide

Hydroxyethylthiamin diphosphate is an enamine (R2NCCR2NCC), which, like all enamines, is nucleophilic (Section 23.11). It therefore reacts with the enzyme-bound disulfide lipoamide by nucleophilic attack on a sulfur atom, displacing the second sulfur in an SN2-like process.

Hydroxyethylthiamin diphosphate reacts with lipoamide to form a hemithioacetal product. The square bracket parentheses show the lipoamide structure in which lipoic acid and lysine are labeled.

Step 4 of Figure 29.13: Elimination of Thiamin Diphosphate

The product of the HETPP reaction with lipoamide is a hemithioacetal, which eliminates thiamin diphosphate ylide. This elimination is the reverse of the ketone addition in step 1 and generates acetyl dihydrolipoamide.

Base deprotonation of a hemithioacetal decomposes to form acetyl dihydrolipoamide and T P P ylide.

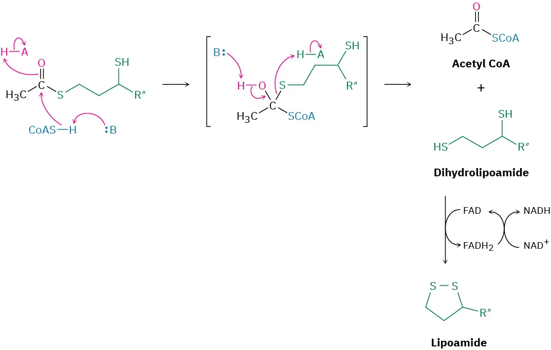
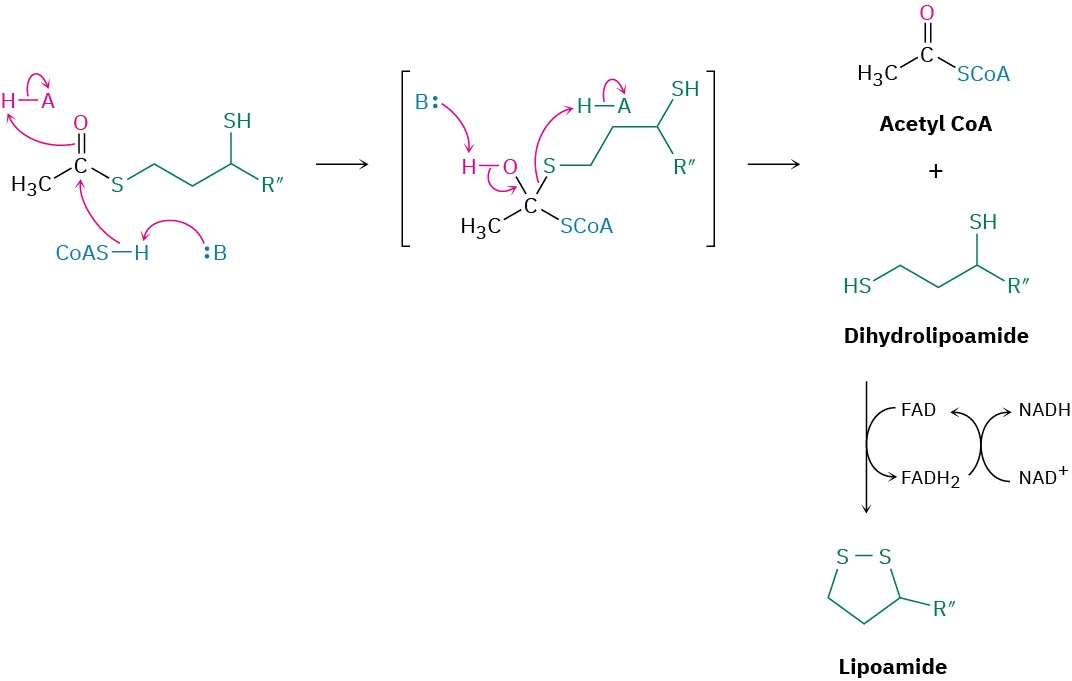
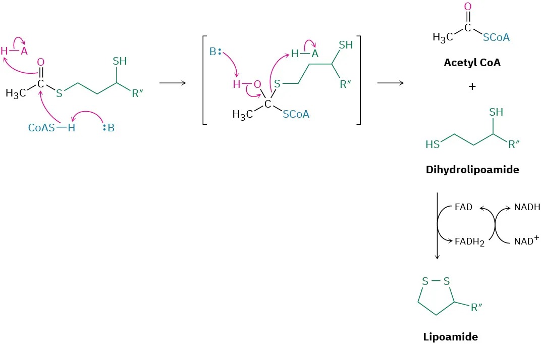
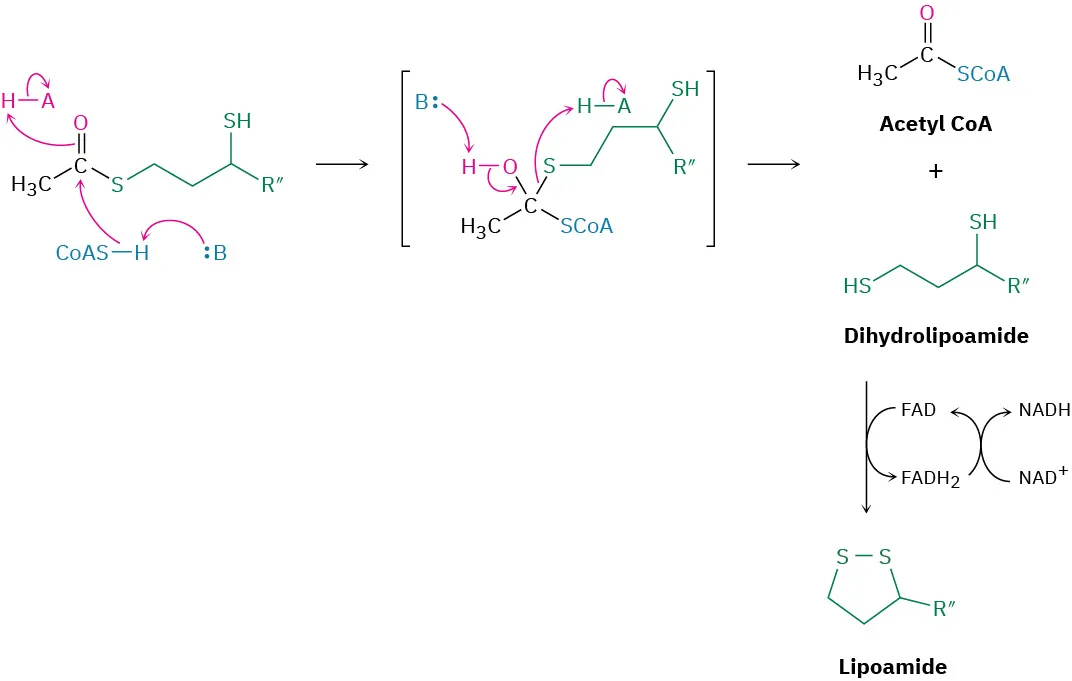
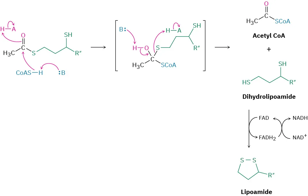
Step 5 of Figure 29.13: Acyl Transfer

Acetyl dihydrolipoamide, a thioester, undergoes a nucleophilic acyl substitution reaction with coenzyme A to yield acetyl CoA plus dihydrolipoamide. The dihydrolipoamide is then oxidized back to lipoamide by FAD (Section 29.3), and the FADH2 that results is in turn oxidized back to FAD by NAD+, completing the catalytic cycle.

Acetyldihydrolipamide undergoes nucleophilic acyl substitution with coenzyme A to yield acetyl CoA and dihydrolipoamide. Dihydrolipoamide is then reduced by flavin adenine dinucleotide to a lipoamide.
Problem 29-9
Which carbon atoms in glucose end up as  –CH3 carbons in acetyl CoA? Which carbons end up as CO2?
Citation/Attribution

This book may not be used in the training of large language models or otherwise be ingested into large language models or generative AI offerings without OpenStax's permission.

Want to cite, share, or modify this book? This book uses the Creative Commons Attribution-NonCommercial-ShareAlike License and you must attribute OpenStax.

Attribution information
  • If you are redistributing all or part of this book in a print format, then you must include on every physical page the following attribution:

    Access for free at https://openstax.org/books/organic-chemistry/pages/1-why-this-chapter

  • If you are redistributing all or part of this book in a digital format, then you must include on every digital page view the following attribution:

    Access for free at https://openstax.org/books/organic-chemistry/pages/1-why-this-chapter

Citation information

© Jul 9, 2025 OpenStax. Textbook content produced by OpenStax is licensed under a Creative Commons Attribution-NonCommercial-ShareAlike License . The OpenStax name, OpenStax logo, OpenStax book covers, OpenStax CNX name, and OpenStax CNX logo are not subject to the Creative Commons license and may not be reproduced without the prior and express written consent of Rice University.