Skip to ContentGo to accessibility pageKeyboard shortcuts menu
OpenStax Logo
Organic Chemistry

19.11 Nucleophilic Addition of Phosphorus Ylides: The Wittig Reaction

Organic Chemistry19.11 Nucleophilic Addition of Phosphorus Ylides: The Wittig Reaction
Search for key terms or text.

19.11 • Nucleophilic Addition of Phosphorus Ylides: The Wittig Reaction

Aldehydes and ketones are converted into alkenes by means of a nucleophilic addition called the Wittig reaction, after the German chemist Georg Wittig who won the 1979 Nobel Prize in Chemistry. The reaction has no direct biological counterpart but is important both because of its wide use in drug manufacture and because of its mechanistic similarity to reactions of the coenzyme thiamin diphosphate, which we’ll see in Section 29.6.

In the Wittig reaction, a triphenylphosphorus ylide, R2CP+Ph3R2CP+Ph3 also called a phosphorane and sometimes written in the resonance form R2C═P(Ph)3R2C═P(Ph)3, adds to an aldehyde or ketone to yield a four-membered cyclic intermediate called an oxaphosphetane. The oxaphosphetane is not isolated, but instead spontaneously decomposes to give an alkene plus triphenylphosphine oxide, O═PPh3O═PPh3. In effect, the oxygen atom of the aldehyde or ketone and the R2C= bonded to phosphorus exchange places. (An ylide—pronounced ill-id—is a neutral, dipolar compound with adjacent positive and negative charges.)

An aldehyde or ketone reacts with ylide to form an oxaphosphetane. This further forms alkene plus triphenylphosphine oxide.

The initial addition takes place by different pathways depending on the structure of the reactants and the exact experimental conditions. One pathway involves a one-step cycloaddition process analogous to the Diels–Alder cycloaddition reaction (Section 14.4). The other pathway involves a nucleophilic addition reaction to give a dipolar intermediate called a betaine (bay-ta-een), which undergoes ring closure.

A cyclic reversible reaction where aldehyde or ketone reacts with ylide, to form betaine (intermediate), which further forms oxaphosphetane. This transforms back to the reactants, aldehyde or ketone and ylide.

The phosphorus ylides necessary for Wittig reaction are easily prepared by SN2 reaction of primary (and some secondary) alkyl halides with triphenylphosphine, (Ph)3P, followed by treatment with base. Triphenylphosphine is a good nucleophile in SN2 reactions, and yields of the resultant alkyltriphenylphosphonium salts are high. Because of the positive charge on phosphorus, the hydrogen on the neighboring carbon is weakly acidic and can be removed by a strong base such as butyllithium (BuLi) to generate the neutral ylide. For example:

Triphenylphosphine reacts with bromomethane via an S N 2 reaction to produce methyltriphenylphosphonium bromide, which then reacts with B u L i and T H F to form methylenetriphenylphosphorane.

The Wittig reaction is extremely general, and a great many monosubstituted, disubstituted, and trisubstituted alkenes can be prepared from the appropriate combination of phosphorane and aldehyde or ketone. Tetrasubstituted alkenes, however, can’t be prepared this way because of steric hindrance.

The real value of the Wittig reaction is that it yields a pure alkene of predictable structure. The C═CC═C bond in the product is always exactly where the C═OC═O group was in the reactant, and no alkene isomers (except E,Z isomers) are formed. For example, Wittig reaction of cyclohexanone with methylenetriphenylphosphorane yields only the single alkene product methylenecyclohexane. By contrast, addition of methylmagnesium bromide to cyclohexanone, followed by dehydration with POCl3, yields a roughly 9 : 1 mixture of two alkenes.

Cyclohexanone reacts with methylmagnesium bromide, then phosphoryl trichloride, forming1-methylcyclohexene and methylenecyclohexane in 9: 1 ratio. It also reacts with methylenenetriphenylphosphorane and tetrahydrofuran to form methylenecyclohexane and Ph 3 P O.

Wittig reactions are used commercially in the synthesis of numerous pharmaceutical products. For example, the German chemical company BASF prepares vitamin A by using a Wittig reaction between a 15-carbon ylide and a 5-carbon aldehyde.

A reaction where fifteen-carbon ylide, carbon-carbon aldehyde react in the presence of methanol, and sodium methoxide form vitamin A acetate.

Worked Example 19.3

Synthesizing an Alkene Using a Wittig Reaction

What carbonyl compound and what phosphorus ylide might you use to prepare 3-ethyl-2-pentene?

Strategy

An aldehyde or ketone reacts with a phosphorus ylide to yield an alkene in which the oxygen atom of the carbonyl reactant is replaced by the ═CR2 of the ylide. Preparation of the phosphorus ylide itself usually involves SN2 reaction of a primary alkyl halide with triphenylphosphine, so the ylide is typically primary, RCH═P(Ph)3RCH═P(Ph)3. This means that the disubstituted alkene carbon in the product comes from the carbonyl reactant, while the monosubstituted alkene carbon comes from the ylide.

Solution

3-pentanone reacts with a compound containing (P h) 3 P cation bonded to C H negative C H 3 and T H F, to form 3-ethyl-2-pentene.
Problem 19-16
What carbonyl compound and what phosphorus ylide might you use to prepare each of the following compounds?
(a)
A cyclohexane with a double bond from C 1 to a C H C H 3 group.
(b)
A structure of vinylcyclohexane.
(c)
A structure of 2-methyl-2-hexene.
(d)
Ethene with two methyl groups on one carbon and a phenyl on the other carbon.
(e)
Ethene with methyl (up) and phenyl on one carbon, and ethyl (up) and hydrogen on the other carbon.
(f)
A structure of 3-methylenecyclohexene.
Problem 19-17

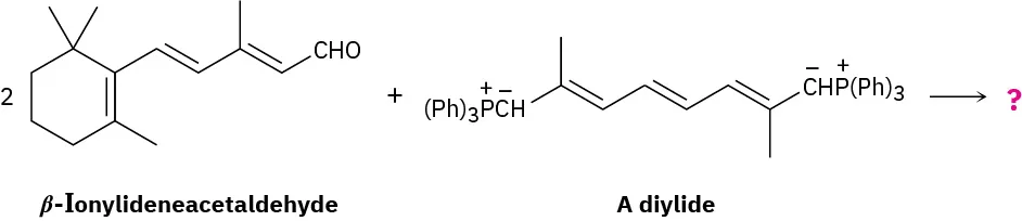
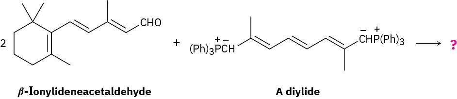
β-Carotene, a yellow food-coloring agent and dietary source of vitamin A can be prepared by a double Wittig reaction between 2 equivalents of β-ionylideneacetaldehyde and a diylide. Show the structure of the β-carotene product.

Two moles of beta-ionylideneacetaldehyde reacts with a diylide to form unknown product represented by a question mark.
Citation/Attribution

This book may not be used in the training of large language models or otherwise be ingested into large language models or generative AI offerings without OpenStax's permission.

Want to cite, share, or modify this book? This book uses the Creative Commons Attribution-NonCommercial-ShareAlike License and you must attribute OpenStax.

Attribution information
  • If you are redistributing all or part of this book in a print format, then you must include on every physical page the following attribution:

    Access for free at https://openstax.org/books/organic-chemistry/pages/1-why-this-chapter

  • If you are redistributing all or part of this book in a digital format, then you must include on every digital page view the following attribution:

    Access for free at https://openstax.org/books/organic-chemistry/pages/1-why-this-chapter

Citation information

© Jul 9, 2025 OpenStax. Textbook content produced by OpenStax is licensed under a Creative Commons Attribution-NonCommercial-ShareAlike License . The OpenStax name, OpenStax logo, OpenStax book covers, OpenStax CNX name, and OpenStax CNX logo are not subject to the Creative Commons license and may not be reproduced without the prior and express written consent of Rice University.