Skip to ContentGo to accessibility pageKeyboard shortcuts menu
OpenStax Logo
Organic Chemistry

14.4 The Diels–Alder Cycloaddition Reaction

Organic Chemistry14.4 The Diels–Alder Cycloaddition Reaction
Search for key terms or text.

14.4 • The Diels–Alder Cycloaddition Reaction

Perhaps the most striking difference between conjugated and nonconjugated dienes is that conjugated dienes undergo an addition reaction with alkenes to yield substituted cyclohexene products. For example, 1,3-butadiene and 3-buten-2-one give 3-cyclohexenyl methyl ketone.

When heated, 1,3-butadiene reacts with 3-buten-2-one in toluene to yield 3-cyclohexenyl methyl ketone (96 percent).

This process, named the Diels–Alder cycloaddition reaction after its discoverers, is extremely useful in the laboratory because it forms two carbon–carbon bonds in a single step and is one of the few general methods available for making cyclic molecules. (As the name implies, a cycloaddition reaction is one in which two reactants add together to give a cyclic product.) The 1950 Nobel Prize in Chemistry was awarded to Otto Diels and Kurt Alder in recognition of the importance of their discovery.

The mechanism of Diels–Alder cycloaddition is different from that of other reactions we’ve studied because it is neither polar nor radical. Rather, the Diels–Alder reaction is a pericyclic process. Pericyclic reactions, which we’ll discuss in more detail in Chapter 30, take place in a single step by a cyclic redistribution of bonding electrons. The two reactants simply join together through a cyclic transition state in which the two new C–C bonds form at the same time.

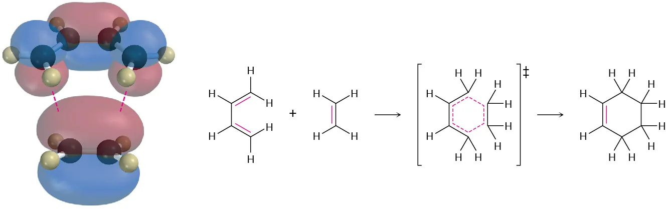
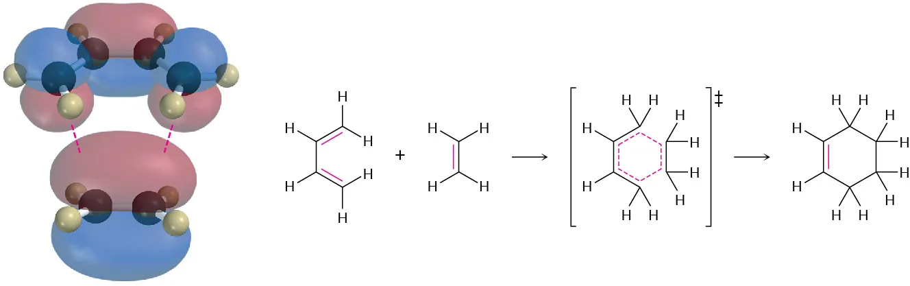
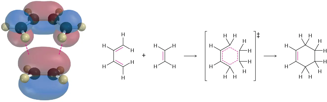
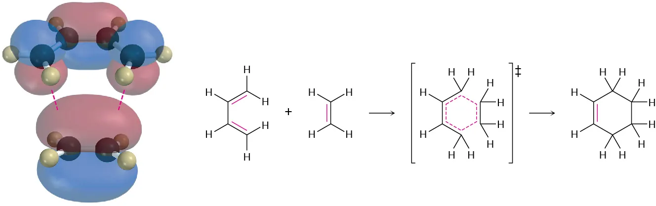
We can picture a Diels–Alder addition as occurring by head-on (σ) overlap of the two alkene p orbitals with the two p orbitals on carbons 1 and 4 of the diene (Figure 14.8). This is, of course, a cyclic orientation of the reactants.

The orbital representations of 1,3-butadiene and ethene. To the right, 1,3-butadiene and ethene react to form cyclohexene via a six-membered transition state
Figure 14.8 Mechanism of the Diels–Alder cycloaddition reaction. The reaction occurs in a single step through a cyclic transition state in which the two new C−C bonds form simultaneously.

In the Diels–Alder transition state, the two alkene carbons and carbons 1 and 4 of the diene rehybridize from sp2 to sp3 to form two new single bonds, while carbons 2 and 3 of the diene remain sp2-hybridized to form the new double bond in the cyclohexene product. We’ll study this mechanism in more detail in Section 30.5 but will concentrate for the present on learning about the characteristics and uses of the Diels–Alder reaction.

Citation/Attribution

This book may not be used in the training of large language models or otherwise be ingested into large language models or generative AI offerings without OpenStax's permission.

Want to cite, share, or modify this book? This book uses the Creative Commons Attribution-NonCommercial-ShareAlike License and you must attribute OpenStax.

Attribution information
  • If you are redistributing all or part of this book in a print format, then you must include on every physical page the following attribution:

    Access for free at https://openstax.org/books/organic-chemistry/pages/1-why-this-chapter

  • If you are redistributing all or part of this book in a digital format, then you must include on every digital page view the following attribution:

    Access for free at https://openstax.org/books/organic-chemistry/pages/1-why-this-chapter

Citation information

© Jul 9, 2025 OpenStax. Textbook content produced by OpenStax is licensed under a Creative Commons Attribution-NonCommercial-ShareAlike License . The OpenStax name, OpenStax logo, OpenStax book covers, OpenStax CNX name, and OpenStax CNX logo are not subject to the Creative Commons license and may not be reproduced without the prior and express written consent of Rice University.