Skip to ContentGo to accessibility pageKeyboard shortcuts menu
OpenStax Logo
Organic Chemistry

14.5 Characteristics of the Diels–Alder Reaction

Organic Chemistry14.5 Characteristics of the Diels–Alder Reaction
Search for key terms or text.

14.5 • Characteristics of the Diels–Alder Reaction

The Dienophile

The Diels–Alder cycloaddition reaction occurs most rapidly if the alkene component, called the dienophile (“diene lover”), has an electron-withdrawing substituent group. Thus, ethylene itself reacts sluggishly, but propenal, ethyl propenoate, maleic anhydride, benzoquinone, propenenitrile, and similar compounds are highly reactive. Note also that alkynes, such as methyl propynoate, can act as Diels–Alder dienophiles.

The structures and names of some Diels–Alder dienophiles. Ethylene: unreactive, propenal (acrolein), ethyl propenoate (ethyl acrylate), maleic anhydride, benzoquinone, propenenitrile (acrylonitrile), and methyl propynoate.

In all cases, the double or triple bond of the dienophile is adjacent to the positively polarized carbon of an electron-withdrawing substituent. As a result, the double-bond carbons in these substances are substantially less electron-rich than the carbons in ethylene, as indicated by the electrostatic potential maps in Figure 14.9.

Electrostatic potential maps along with the ball-and-stick models of ethylene, propenal, and propenenitrile each with an arrow pointing toward carbon-carbon double bonds.
Figure 14.9 Electrostatic potential maps of ethylene, propenal, and propenenitrile show that electron-withdrawing groups make the double-bond carbons less electron-rich.

One of the most useful features of the Diels–Alder reaction is that it is stereospecific, meaning that a single product stereoisomer is formed. Furthermore, the stereochemistry of the dienophile is retained. If we carry out cycloaddition with methyl cis-2-butenoate, only the cis-substituted cyclohexene product is formed. With methyl trans-2-butenoate, only the trans-substituted cyclohexene product is formed.

The first reaction shows 1,3-butadiene reacting with methyl (Z)-2-butenoate to yield a cis product. The second reaction shows 1,3-butadiene reacting with methyl (E)-2-butenoate to yield trans product.

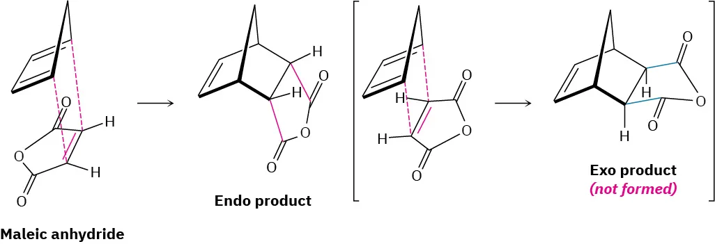
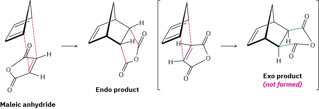
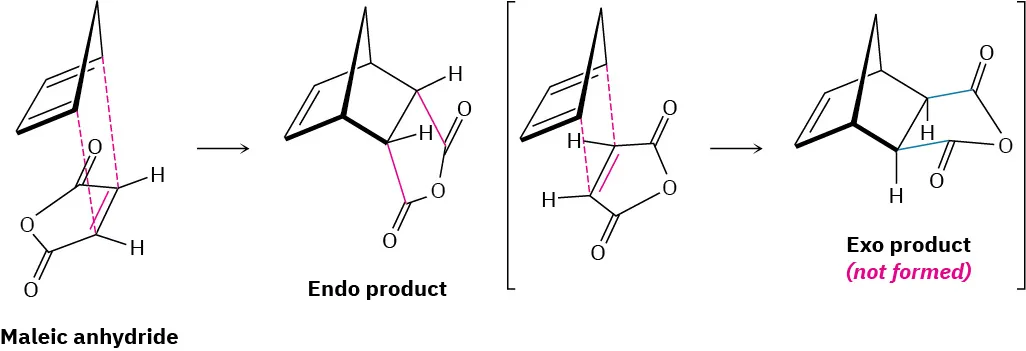
Another stereochemical feature of the Diels–Alder reaction is that the diene and dienophile partners orient so that the endo product, rather than the alternative exo product, is formed. The words endo and exo are used to indicate relative stereochemistry when referring to bicyclic structures like substituted norbornanes (Section 4.9). A substituent on one bridge is said to be endo if it is syn (cis) to the larger of the other two bridges and is said to be exo if it is anti (trans) to the larger of the other two.

A 7-membered bicyclic ring with C 2 bonded to an axial R group (endo) and an equatorial R group (exo).. To the right, the ball-and-stick model of 7-membered bicyclic ring is depicted.

Endo products result from Diels–Alder reactions because the amount of orbital overlap between diene and dienophile is greater when the reactants lie directly on top of one another, so that the electron-withdrawing substituent on the dienophile is underneath the diene double bonds. In the reaction of 1,3-cyclopentadiene with maleic anhydride, for instance, the following result is obtained:

A reaction shows 1,3-cyclopentadiene reacting with maleic anhydride to form endo product. Exo product is not formed.

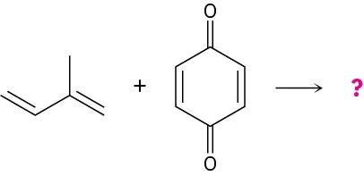
Worked Example 14.2

Predicting the Product of a Diels–Alder Reaction

Predict the product of the following Diels–Alder reaction:

A 4-carbon chain with two alternate double bonds and methyl at C 2 reacts with cyclohexadiene with carbonyl groups at C 1 and C 4. Question mark represents the product.

Strategy

Draw the diene so that the ends of its two double bonds are near the dienophile double bond. Then form two single bonds between the partners, convert the three double bonds into single bonds, and convert the former single bond of the diene into a double bond. Because the dienophile double bond is cis to begin with, the two attached hydrogens must remain cis in the product.

Solution

A 4-carbon chain with two mutually cis double bonds and methyl at C 2 reacts with cyclohexadiene with two carbonyl groups at C 1 and C 4. The product has two cis hydrogens.
Problem 14-7

Predict the product of the following Diels–Alder reaction:

Four-carbon chain with methyl groups at C 2 and C 3 reacts with 4-carbon chain in which C 1 is acetate group, C 2 is double bonded to C 3.  Question mark represents the product.

The Diene

Just as the dienophile component has certain constraints that affect its reactivity, so too does the conjugated diene component. The diene must adopt what is called an s-cis conformation, meaning “cis-like” about the single bond, to undergo a Diels–Alder reaction. Only in the s-cis conformation are carbons 1 and 4 of the diene close enough to react through a cyclic transition state.

A four-carbon chain with two alternate double bonds having s-cis conformation undergoes bond rotation at C 2-C 3 to form s-trans conformation.

In the alternative s-trans conformation, the ends of the diene partner are too far apart to overlap with the dienophile p orbitals.

The orientations of 1,3-butadiene and ethene for successful reaction and no reaction (ends too far apart). The interactions between the two structures are represented by dashed lines.

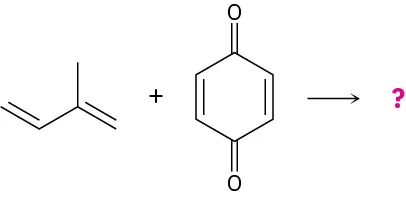
Two examples of dienes that can’t adopt an s-cis conformation, and thus don’t undergo Diels–Alder reactions, are shown in Figure 14.10. In the bicyclic diene, the double bonds are rigidly fixed in an s-trans arrangement by geometric constraints of the rings. In (2Z,4Z)-2,4-hexadiene, steric strain between the two methyl groups prevents the molecule from adopting s-cis geometry.

The structure of bicyclic diene (rigid s-trans diene). To the right, a structure with severe steric strain in s-cis form reversibly converts to (2 Z, 4 Z)-2,4-hexadiene (s-trans, more stable).
Figure 14.10 Two dienes that can’t achieve an s-cis conformation and thus can’t undergo Diels–Alder reactions.

In contrast to these unreactive dienes that can’t achieve an s-cis conformation, other dienes are fixed only in the correct s-cis geometry and are therefore highly reactive in Diels–Alder cycloaddition. 1,3-Cyclopentadiene, for example, is so reactive that it reacts with itself. At room temperature, 1,3-cyclopentadiene dimerizes. One molecule acts as diene and a second molecule acts as dienophile in a self-Diels–Alder reaction.

Two molecules of 1,3-cyclopentadiene joined by dash lines (s-cis)  form bicyclopentadiene as the product at 25 degrees Celsius.

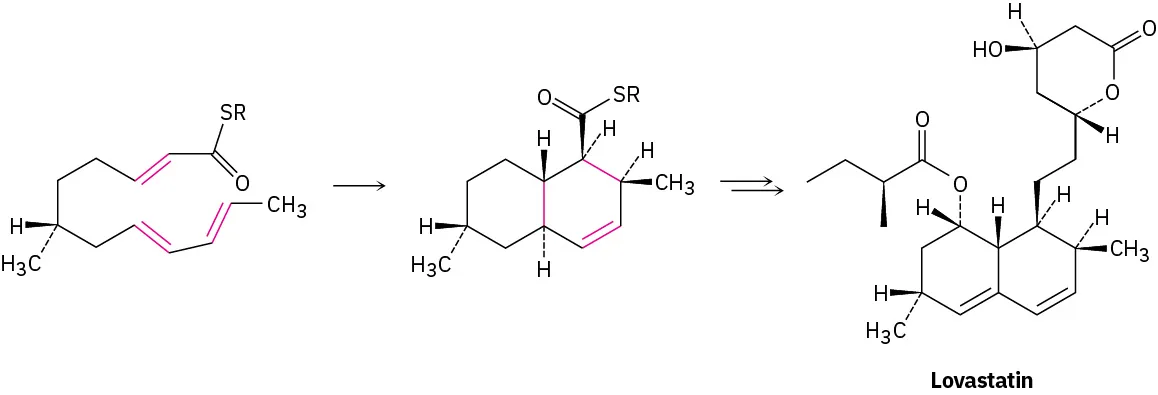
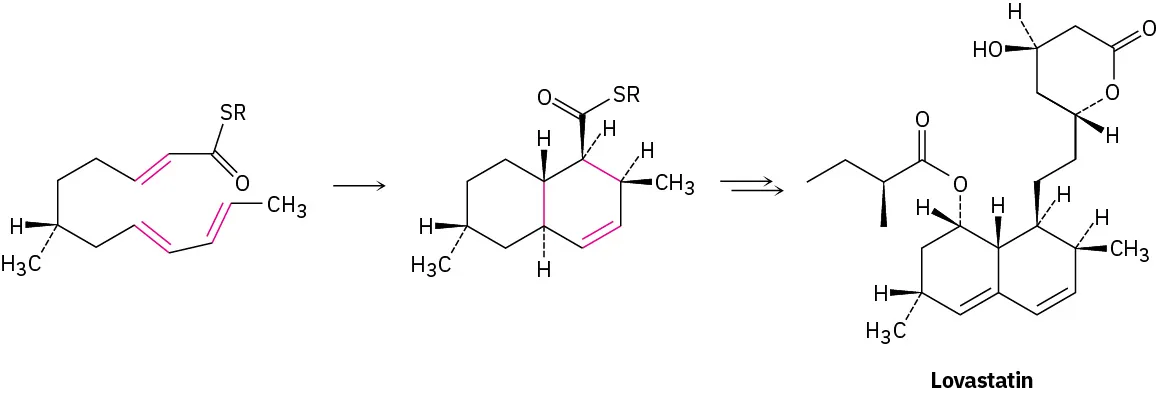
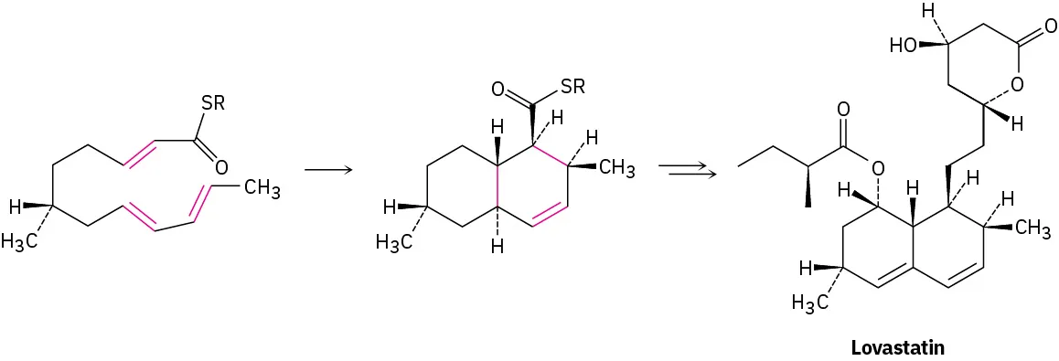
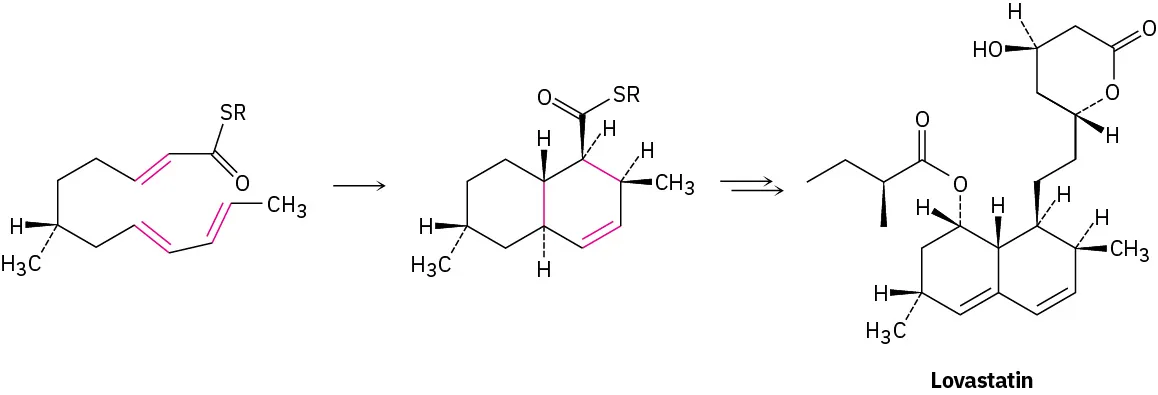
Biological Diels–Alder reactions are also known but are uncommon. One example occurs in the biosynthesis of the cholesterol-lowering drug lovastatin (trade name Mevacor) isolated from the fungus Aspergillus terreus. The key step is the intramolecular Diels–Alder reaction of a triene, in which the diene and dienophile components are within the same molecule.

Biological Diels–Alder reaction shows the formation of Lovastatin. The reactant having three double bonds forms an intermediate in which a cyclohexane ring is fused with a cyclohexene ring. It further forms Lovastatin.
Problem 14-8

Which of the following alkenes would you expect to be good Diels–Alder dienophiles?

(a)The condensed structural formula reads, H 2 C double bonded to C H C (double bonded to O) C l.(b)The condensed structural formula reads, H 2 C double bonded to C H C H 2 C H 2 C (double bonded to O) O C H 3.(c)A cyclohexane ring has a double bond between C 1 and C 2.(d)In a cyclohexane ring, C 1 is a carbonyl group. C 2 is double bonded to C 3.(e)In a cyclohexane ring, C 1 is a carbonyl group. C 3 is double bonded to C 4.

Problem 14-9

Which of the following dienes have an s-cis conformation, and which have an s-trans conformation? Of the s-trans dienes, which can readily rotate to s-cis?

(a)A cyclohexadiene ring with double bonds between C 1-C 2 and C 3-C 4 fused to a cyclohexane ring.(b)A cyclohexene ring with the double bond at bottom right is fused to another cyclohexene with the double bond at top left.(c)In a 5-carbon chain, C 1 is double bonded to C 2. C 3 is double bonded to C 4, which itself is single bonded to a methyl group.

Problem 14-10

Predict the product of the following Diels–Alder reaction:

Ball-and-stick model of cyclohexene bonded to C 2 of propene reacts with 4-carbon chain with double bond at C 2. C 1 and C 4 are carbonyls bonded to methoxy.groups
Citation/Attribution

This book may not be used in the training of large language models or otherwise be ingested into large language models or generative AI offerings without OpenStax's permission.

Want to cite, share, or modify this book? This book uses the Creative Commons Attribution-NonCommercial-ShareAlike License and you must attribute OpenStax.

Attribution information
  • If you are redistributing all or part of this book in a print format, then you must include on every physical page the following attribution:

    Access for free at https://openstax.org/books/organic-chemistry/pages/1-why-this-chapter

  • If you are redistributing all or part of this book in a digital format, then you must include on every digital page view the following attribution:

    Access for free at https://openstax.org/books/organic-chemistry/pages/1-why-this-chapter

Citation information

© Jul 9, 2025 OpenStax. Textbook content produced by OpenStax is licensed under a Creative Commons Attribution-NonCommercial-ShareAlike License . The OpenStax name, OpenStax logo, OpenStax book covers, OpenStax CNX name, and OpenStax CNX logo are not subject to the Creative Commons license and may not be reproduced without the prior and express written consent of Rice University.