Skip to ContentGo to accessibility pageKeyboard shortcuts menu
OpenStax Logo
Organic Chemistry

4.9 Conformations of Polycyclic Molecules

Organic Chemistry4.9 Conformations of Polycyclic Molecules
Search for key terms or text.

4.9 • Conformations of Polycyclic Molecules

The final point we’ll consider about cycloalkane stereochemistry is to see what happens when two or more cycloalkane rings are fused together along a common bond to construct a polycyclic molecule—for example, decalin.

The bond-line structure of decalin featuring two fused cyclohexane rings. All carbon atoms are numbered.

Decalin consists of two cyclohexane rings joined to share two carbon atoms (the bridgehead carbons, C1 and C6) and a common bond. Decalin can exist in either of two isomeric forms, depending on whether the rings are trans fused or cis fused. In cis-decalin, the hydrogen atoms at the bridgehead carbons are on the same side of the rings; in trans-decalin, the bridgehead hydrogens are on opposite sides. Figure 4.18 shows how both compounds can be represented using chair cyclohexane conformations. Note that the two decalin isomers are not interconvertible by ring-flips or other rotations. They are cis–trans stereoisomers and have the same relationship to each other that cis- and trans-1,2-dimethylcyclohexane have.

The wedge-dash structure, chair conformations, and ball and stick models of cis-decalin and trans-decalin.
Figure 4.18 Representations of cis- and trans-decalin. Hydrogen atoms at the bridgehead carbons are on the same face of the rings in the cis isomer but on opposite faces in the trans isomer.

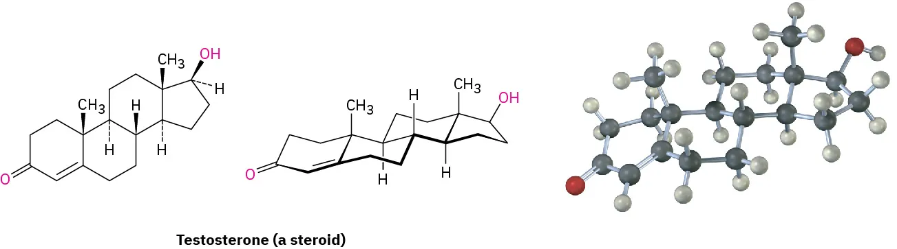
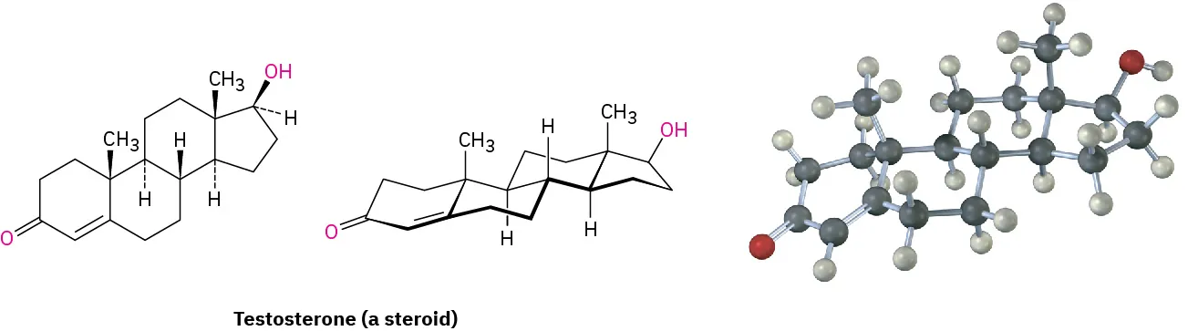
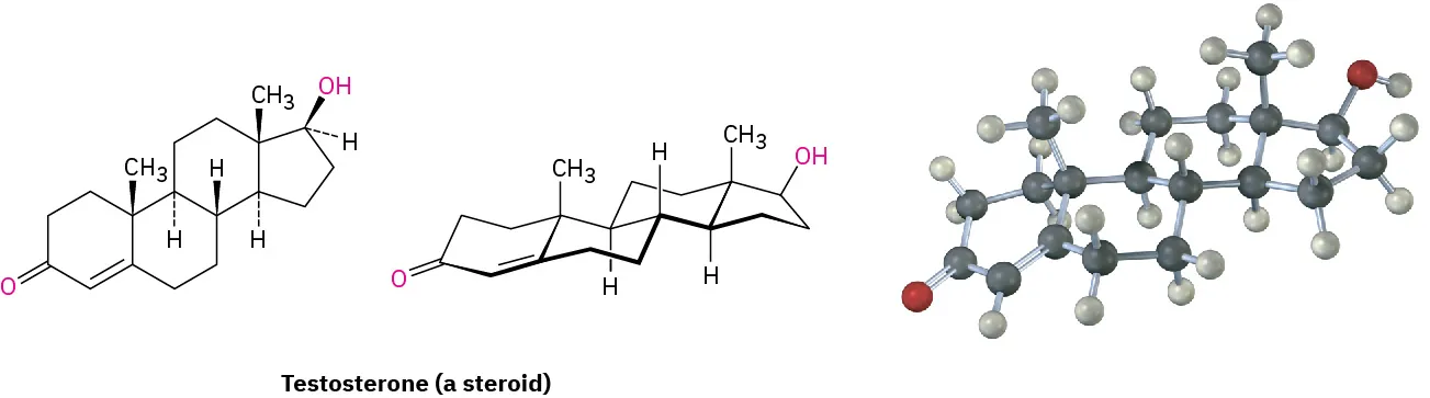
Polycyclic compounds are common in nature, and many valuable substances have fused-ring structures. For example, steroids, such as testosterone, the primary sex hormone in males, have three six-membered rings and one five-membered ring fused together. Although steroids look complicated compared with cyclohexane or decalin, the same principles that apply to the conformational analysis of simple cyclohexane rings apply equally well (and often better) to steroids.

The wedge-dash structure, bond-line structure, and ball and stick model of testosterone (a steroid).

Another common ring system is the norbornane, or bicyclo[2.2.1]heptane, structure. Like decalin, norbornane is a bicycloalkane, so called because two rings would have to be broken open to generate an acyclic structure. Its systematic name, bicyclo[2.2.1]heptane, reflects the fact that the molecule has seven carbons, is bicyclic, and has three “bridges” of 2, 2, and 1 carbon atoms connecting the two bridgehead carbons.

The bond-line structure and ball and stick model of norbornane (bicyclo[2.2.1]heptane). In norbornane, 1-carbon bridge, 2-carbon bridge, and bridgehead carbons are highlighted.

Norbornane has a conformationally locked boat cyclohexane ring (Section 4.5) in which carbons 1 and 4 are joined by an additional CH2 group. In drawing this structure, a break in the rear bond indicates that the vertical bond crosses in front of it. Making a molecular model is particularly helpful when trying to see the three-dimensionality of norbornane.

Substituted norbornanes, such as camphor, are found widely in nature, and many have been important historically in developing organic structural theories.

The bond-line structure and ball and stick model of camphor. In the model, black, gray, red spheres represent carbon, hydrogen, and oxygen atoms, respectively.
Problem 4-20
Which isomer is more stable, cis-decalin or trans-decalin (Figure 4.18)? Explain.
Problem 4-21

Look at the following structure of estrone, the primary sex hormone in females, and tell whether each of the two indicated (red) ring-fusions is cis or trans.

The wedge-dash and bond-line structures of estrone. In the bond-line structures, all rings except benzene are in chair conformations.
Citation/Attribution

This book may not be used in the training of large language models or otherwise be ingested into large language models or generative AI offerings without OpenStax's permission.

Want to cite, share, or modify this book? This book uses the Creative Commons Attribution-NonCommercial-ShareAlike License and you must attribute OpenStax.

Attribution information
  • If you are redistributing all or part of this book in a print format, then you must include on every physical page the following attribution:

    Access for free at https://openstax.org/books/organic-chemistry/pages/1-why-this-chapter

  • If you are redistributing all or part of this book in a digital format, then you must include on every digital page view the following attribution:

    Access for free at https://openstax.org/books/organic-chemistry/pages/1-why-this-chapter

Citation information

© Jul 9, 2025 OpenStax. Textbook content produced by OpenStax is licensed under a Creative Commons Attribution-NonCommercial-ShareAlike License . The OpenStax name, OpenStax logo, OpenStax book covers, OpenStax CNX name, and OpenStax CNX logo are not subject to the Creative Commons license and may not be reproduced without the prior and express written consent of Rice University.