Skip to ContentGo to accessibility pageKeyboard shortcuts menu
OpenStax Logo
Organic Chemistry

Chemistry Matters—Molecular Mechanics

Organic ChemistryChemistry Matters—Molecular Mechanics
Search for key terms or text.

4 • Chemistry Matters

4 • Chemistry Matters

All the structural models in this book are computer-drawn. To make sure they accurately represent bond angles, bond lengths, torsional interactions, and steric interactions, the most stable geometry of each molecule has been calculated on a desktop computer using a commercially available molecular mechanics program based on work by Norman Allinger at the University of Georgia.

The idea behind molecular mechanics is to begin with a rough geometry for a molecule and then calculate a total strain energy for that starting geometry, using mathematical equations that assign values to specific kinds of molecular interactions. Bond angles that are too large or too small cause angle strain; bond lengths that are too short or too long cause stretching or compressing strain; unfavorable eclipsing interactions around single bonds cause torsional strain; and nonbonded atoms that approach each other too closely cause steric, or van der Waals, strain.

Etotal= Ebond stretching+ Eangle strain+ Etorsional strain + Evan der WaalsEtotal=Ebond stretching+Eangle strain+Etorsional strain+Evan der Waals
A person views a computer screen showing a 3 D ball and stick model.
Figure 4.19 Computer programs make it possible to accurately represent molecular geometry. (credit: “Molecular geometry” by Jane Whitney/Flickr, CC BY 4.0)

After calculating a total strain energy for the starting geometry, the program automatically changes the geometry slightly in an attempt to lower strain—perhaps by lengthening a bond that is too short or decreasing an angle that is too large. Strain is recalculated for the new geometry, more changes are made, and more calculations are done. After dozens or hundreds of iterations, the calculation ultimately converges on a minimum energy that corresponds to the most favorable, least strained conformation of the molecule.

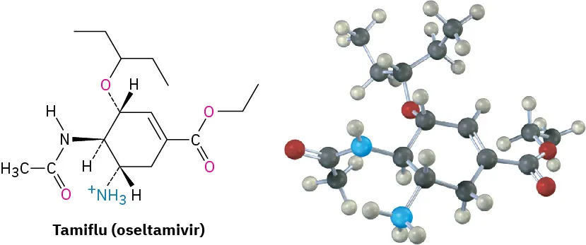
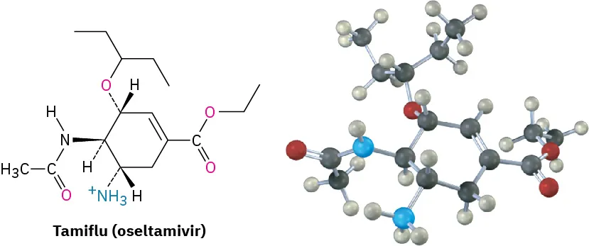
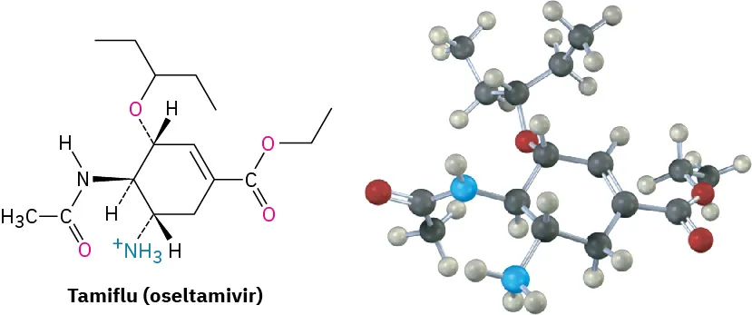
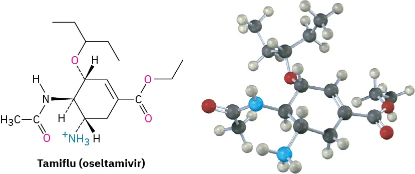
Similar calculations have proven to be particularly useful in pharmaceutical research, where a complementary fit between a drug molecule and a receptor molecule in the body is often the key to designing new pharmaceutical agents (Figure 4.20).

The wedge-dash structure and ball and stick model of Tamiflu (oseltamivir).
Figure 4.20 The structure of Tamiflu (oseltamivir), an antiviral agent active against type A influenza, along with a molecular model of its minimum-energy conformation as calculated by molecular mechanics.
Citation/Attribution

This book may not be used in the training of large language models or otherwise be ingested into large language models or generative AI offerings without OpenStax's permission.

Want to cite, share, or modify this book? This book uses the Creative Commons Attribution-NonCommercial-ShareAlike License and you must attribute OpenStax.

Attribution information
  • If you are redistributing all or part of this book in a print format, then you must include on every physical page the following attribution:

    Access for free at https://openstax.org/books/organic-chemistry/pages/1-why-this-chapter

  • If you are redistributing all or part of this book in a digital format, then you must include on every digital page view the following attribution:

    Access for free at https://openstax.org/books/organic-chemistry/pages/1-why-this-chapter

Citation information

© Jul 9, 2025 OpenStax. Textbook content produced by OpenStax is licensed under a Creative Commons Attribution-NonCommercial-ShareAlike License . The OpenStax name, OpenStax logo, OpenStax book covers, OpenStax CNX name, and OpenStax CNX logo are not subject to the Creative Commons license and may not be reproduced without the prior and express written consent of Rice University.