Skip to ContentGo to accessibility pageKeyboard shortcuts menu
OpenStax Logo
Organic Chemistry

4.8 Conformations of Disubstituted Cyclohexanes

Organic Chemistry4.8 Conformations of Disubstituted Cyclohexanes
Search for key terms or text.

4.8 • Conformations of Disubstituted Cyclohexanes

Monosubstituted cyclohexanes are always more stable with their substituent in an equatorial position, but the situation with disubstituted cyclohexanes is more complex because the steric effects of both substituents must be taken into account. All steric interactions for both possible chair conformations must be analyzed before deciding which conformation is favored.

Let’s look at 1,2-dimethylcyclohexane as an example. There are two isomers, cis-1,2-dimethylcyclohexane and trans-1,2-dimethylcyclohexane, which must be considered separately. In the cis isomer, both methyl groups are on the same face of the ring and the compound can exist in either of the two chair conformations shown in Figure 4.16. (It may be easier for you to see whether a compound is cis- or trans-disubstituted by first drawing the ring as a flat representation and then converting it to a chair conformation.)

The structure and ball and stick model of cis-1,2-dimethylcyclohexane undergo ring-flip to form products featuring one gauche and two methyl-hydrogen diaxial interactions with total strain of 11.4 kilojoules per mole.
Figure 4.16 Conformations of cis-1,2-dimethylcyclohexane. The two chair conformations are equal in energy because each has one axial methyl group and one equatorial methyl group.

Both chair conformations of cis-1,2-dimethylcyclohexane have one axial methyl group and one equatorial methyl group. The top conformation in Figure 4.16 has an axial methyl group at C2, which has 1,3-diaxial interactions with hydrogens on C4 and C6. The ring-flipped conformation has an axial methyl group at C1, which has 1,3-diaxial interactions with hydrogens on C3 and C5. In addition, both conformations have gauche butane interactions between the two methyl groups. The two conformations are equal in energy, with a total steric strain of 3 × 3.8 kJ/mol = 11.4 kJ/mol (2.7 kcal/mol).

In trans-1,2-dimethylcyclohexane, the two methyl groups are on opposite sides of the ring and the compound can exist in either of the two chair conformations shown in Figure 4.17. The situation here is quite different from that of the cis isomer. The top conformation in Figure 4.17 has both methyl groups equatorial with only a gauche butane interaction between them (3.8 kJ/mol) but no 1,3-diaxial interactions. The ring-flipped conformation, however, has both methyl groups axial. The axial methyl group at C1 interacts with axial hydrogens at C3 and C5, and the axial methyl group at C2 interacts with axial hydrogens at C4 and C6. These four 1,3-diaxial interactions produce a steric strain of 4 × 3.8 kJ/mol = 15.2 kJ/mol and make the diaxial conformation 15.2 − 3.8 = 11.4 kJ/mol less favorable than the diequatorial conformation. We therefore predict that trans-1,2-dimethylcyclohexane will exist almost exclusively in the diequatorial conformation.

Trans-1,2-dimethylcyclohexane structure and ball and stick model with one gauche interaction undergoes ring-flip to form alternative structure and model with four methyl-hydrogen diaxial interactions.
Figure 4.17 Conformations of trans-1,2-dimethylcyclohexane. The conformation with both methyl groups equatorial (top) is favored by 11.4 kJ/mol (2.7 kcal/mol) over the conformation with both methyl groups axial (bottom).

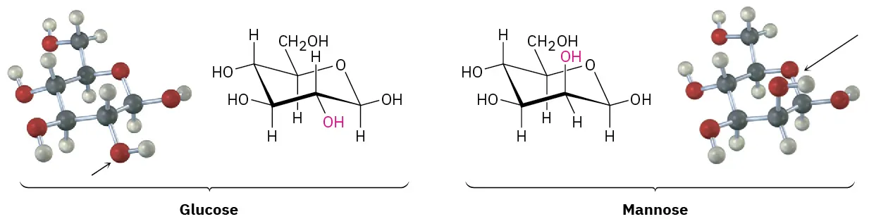
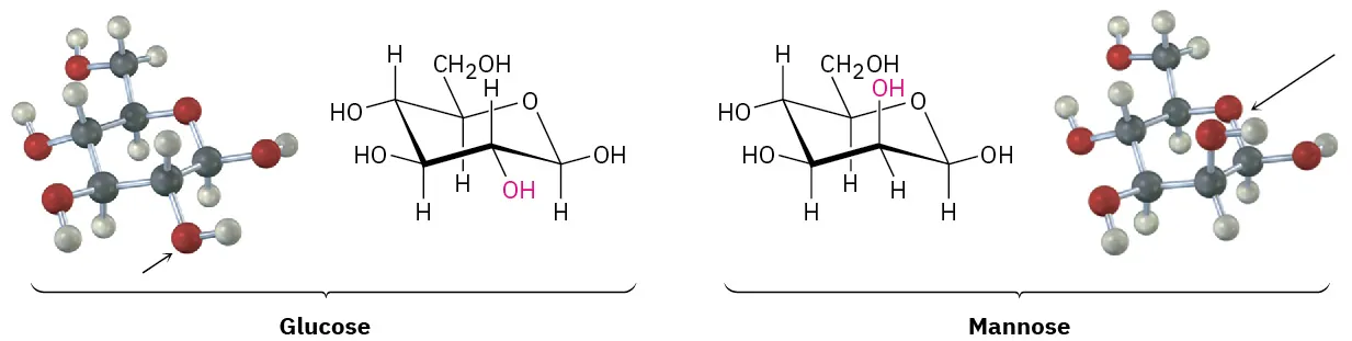
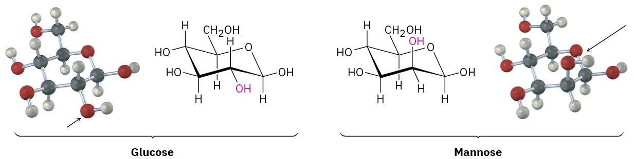
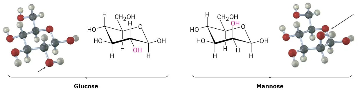
The same kind of conformational analysis just carried out for cis- and trans-1,2-dimethylcyclohexane can be done for any substituted cyclohexane, such as cis-1-tert-butyl-4-chlorocyclohexane (see Worked Example 4.3). As you might imagine, though, the situation becomes more complex as the number of substituents increases. For instance, compare glucose with mannose, a carbohydrate present in seaweed. Which do you think is more strained? In glucose, all substituents on the six-membered ring are equatorial, while in mannose, one of the −OH groups is axial, making it more strained.

The ball and stick models and Haworth projections of glucose and mannose. In glucose and mannose, the hydroxyl group at C2 is bonded at bottom and at top, respectively.

A summary of the various axial and equatorial relationships among substituent groups in the different possible cis and trans substitution patterns for disubstituted cyclohexanes is given in Table 4.2.

Table 4.2 Axial and Equatorial Relationships in Cis- and Trans-Disubstituted Cyclohexanes
Cis/trans substitution pattern Axial/equatorial relationships
1,2-Cis disubstituted a,e   or   e,a
1,2-Trans disubstituted a,a   or   e,e
1,3-Cis disubstituted a,a   or   e,e
1,3-Trans disubstituted a,e   or   e,a
1,4-Cis disubstituted a,e   or   e,a
1,4-Trans disubstituted a,a   or   e,e

Worked Example 4.3

Drawing the Most Stable Conformation of a Substituted Cyclohexane

Draw the more stable chair conformation of cis-1-tert-butyl-4-chlorocyclohexane. By how much is it favored?

Strategy

Draw the two possible chair conformations, and calculate the strain energy in each. Remember that equatorial substituents cause less strain than axial substituents.

Solution

First draw the two chair conformations of the molecule:
Two reversible chair conformations of 1,4 substituted cyclohexane arising from a ring-flip. The first and second conformations have 2.0 and 22.8 kilojoules per mol of steric strain, respectively.

In the conformation on the left, the tert-butyl group is equatorial and the chlorine is axial. In the conformation on the right, the tert-butyl group is axial and the chlorine is equatorial. These conformations aren’t of equal energy because an axial tert-butyl substituent and an axial chloro substituent produce different amounts of steric strain. Table 4.1 shows that the 1,3-diaxial interaction between a hydrogen and a tert-butyl group costs 11.4 kJ/mol (2.7 kcal/mol), whereas the interaction between a hydrogen and a chlorine costs only 1.0 kJ/mol (0.25 kcal/mol). An axial tert-butyl group therefore produces (2 × 11.4 kJ/mol) − (2 × 1.0 kJ/mol) = 20.8 kJ/mol (4.9 kcal/mol) more steric strain than an axial chlorine, and the compound preferentially adopts the conformation with the chlorine axial and the tert-butyl equatorial.

Problem 4-18
Draw the more stable chair conformation of the following molecules, and estimate the amount of strain in each:
(a)
trans-1-Chloro-3-methylcyclohexane
(b)
cis-1-Ethyl-2-methylcyclohexane
(c)
cis-1-Bromo-4-ethylcyclohexane
(d)
cis-1-tert-Butyl-4-ethylcyclohexane
Problem 4-19

Identify each substituent in the following compound as axial or equatorial, and tell whether the conformation shown is the more stable or less stable chair form (green = Cl):

Ball and stick model of substituted cyclohexane. C1 is bonded to green sphere. Black and gray spheres represent carbon and hydrogen, respectively.
Citation/Attribution

This book may not be used in the training of large language models or otherwise be ingested into large language models or generative AI offerings without OpenStax's permission.

Want to cite, share, or modify this book? This book uses the Creative Commons Attribution-NonCommercial-ShareAlike License and you must attribute OpenStax.

Attribution information
  • If you are redistributing all or part of this book in a print format, then you must include on every physical page the following attribution:

    Access for free at https://openstax.org/books/organic-chemistry/pages/1-why-this-chapter

  • If you are redistributing all or part of this book in a digital format, then you must include on every digital page view the following attribution:

    Access for free at https://openstax.org/books/organic-chemistry/pages/1-why-this-chapter

Citation information

© Jul 9, 2025 OpenStax. Textbook content produced by OpenStax is licensed under a Creative Commons Attribution-NonCommercial-ShareAlike License . The OpenStax name, OpenStax logo, OpenStax book covers, OpenStax CNX name, and OpenStax CNX logo are not subject to the Creative Commons license and may not be reproduced without the prior and express written consent of Rice University.