Skip to ContentGo to accessibility pageKeyboard shortcuts menu
OpenStax Logo
Organic Chemistry

29.5 Catabolism of Carbohydrates: Glycolysis

Organic Chemistry29.5 Catabolism of Carbohydrates: Glycolysis
Search for key terms or text.

29.5 • Catabolism of Carbohydrates: Glycolysis

Glucose is the body’s primary short-term energy source. Its catabolism begins with glycolysis, a series of ten enzyme-catalyzed reactions that break down glucose into 2 equivalents of pyruvate, CH3COCO2. The steps of glycolysis, also called the Embden–Meyerhoff pathway after its discoverers, are summarized in Figure 29.8.

Figure 29.8 MECHANISM
The ten-step glycolysis pathway for catabolizing glucose to two molecules of pyruvate. Individual steps are described in the text.
The catabolism of alpha-glucose to glyceraldehyde-3-phosphate via five steps. Adenosine triphosphate converts to adenosine diphosphate in this process.
Figure 29.9 MECHANISM
(Continued)
The remaining five steps of glucose catabolism. Glyceraldehyde-3-phosphate converts to 1,3-bisphosphoglycerate. 3-phosphoglycerate, 2-phosphoglycerate, phosphoenolpyruvate and pyruvate are formed in seventh, eighth, ninth and tenth steps, repectively.

Steps 12 of Figure 29.8: Phosphorylation and Isomerization

Glucose, produced by the digestion of dietary carbohydrates, is phosphorylated at the C6 hydroxyl group by reaction with ATP in a process catalyzed by hexokinase. As noted in Section 29.1, the reaction requires Mg2+ as a cofactor to complex with the negatively charged phosphate oxygens. The glucose 6-phosphate that results is then isomerized by glucose 6-phosphate isomerase to give fructose 6-phosphate. This isomerization takes place by initial opening of the glucose hemiacetal ring to its open-chain form, followed by keto–enol tautomerization to a cis enediol, HOCCOHHOCCOH. But because glucose and fructose share a common enediol, further tautomerization to a different keto form produces open-chain fructose, and cyclization completes the process (Figure 29.10).

The isomerization of glucose-6-phosphate. Alpha-glucose-6-phosphate undergoes a reversible reaction to form an enediol that leads to an intermediate followed by the final product alpha-fructose-6-phosphate.
Figure 29.10 Mechanism of step 2 in glycolysis, the isomerization of glucose 6-phosphate to fructose 6-phosphate.

Step 3 of Figure 29.8: Phosphorylation

Fructose 6-phosphate is converted in step 3 to fructose 1,6-bisphosphate (FBP) by a phosphofructokinase-catalyzed reaction with ATP (recall that the prefix bis- means two). The mechanism is similar to that in step 1, with Mg2+ ion again required as cofactor. Interestingly, the product of step 2 is the α anomer of fructose 6-phosphate, but it is the β anomer that is phosphorylated in step 3, implying that the two anomers equilibrate rapidly through the open-chain form. The result is a molecule ready to be split into the two three-carbon intermediates that will ultimately become two molecules of pyruvate.

Alpha-fructose-6-phosphate isomerizes to beta-fructose-6-phosphate.  Condensation with adenosine triphosphate provides  beta-fructose 1,6-bisphosphate and adenosine diphosphate.

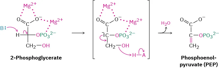
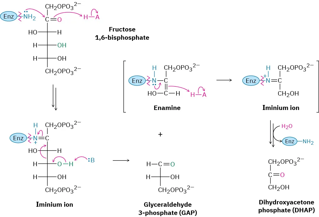
Step 4 of Figure 29.8: Cleavage

Fructose 1,6-bisphosphate is cleaved in step 4 into two 3-carbon pieces, dihydroxyacetone phosphate (DHAP) and glyceraldehyde 3-phosphate (GAP). The bond between C3 and C4 of fructose 1,6-bisphosphate breaks, and a COCO group is formed at C4. Mechanistically, the cleavage is the reverse of an aldol reaction (Section 23.1) and is catalyzed by an aldolase. A forward aldol reaction joins two aldehydes or ketones to give a β-hydroxy carbonyl compound, while a retro-aldol reaction, as in this case, cleaves a β-hydroxy carbonyl compound into two aldehydes or ketones.

Fructose-1,6-bisphosphate reacts reversibly to form glyceraldehyde-3-phosphate and another intermediate compound. The intermediate further reacts with base and forms dihydroxyacetone phosphate.

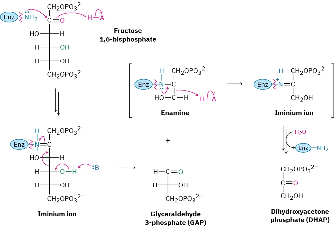
Two classes of aldolases are used by organisms for catalysis of the retro-aldol reaction. In fungi, algae, and some bacteria, the retro-aldol reaction is catalyzed by class II aldolases, which function by coordination of the fructose carbonyl group with Zn2+ as Lewis acid. In plants and animals, the reaction is catalyzed by class I aldolases and does not take place on the free ketone. Instead, fructose 1,6-bisphosphate undergoes reaction with the side-chain  –NH2 group of a lysine residue on the aldolase to yield a protonated enzyme-bound imine (Section 19.8), which is often called a Schiff base in biochemistry.

Because of its positive charge, the iminium ion is a better electron acceptor than a ketone carbonyl group. Retro-aldol reaction ensues, giving glyceraldehyde 3-phosphate and an enamine, which is protonated to give another iminium ion that is hydrolyzed to yield dihydroxyacetone phosphate (Figure 29.11).

Fructose-1,6-bisphosphate forms an iminium ion that leads to glyceraldehyde-3-phosphate and an enamine, the enamine isomerizes to an iminium ion , which is protonated  by H-A to form dihydroxyacetone phosphate.
Figure 29.11 Mechanism of step 4 in Figure 29.8, the cleavage of fructose 1,6-bisphosphate to yield glyceraldehyde 3-phosphate and dihydroxyacetone phosphate. The reaction occurs through an iminium ion formed by reaction with a lysine residue in the enzyme.

Step 5 of Figure 29.8: Isomerization

Dihydroxyacetone phosphate is isomerized in step 5 by triose phosphate isomerase to form a second equivalent of glyceraldehyde 3-phosphate. As in the conversion of glucose 6-phosphate to fructose 6-phosphate in step 2, the isomerization takes place by keto–enol tautomerization through a common enediol intermediate. A base deprotonates C1 and then reprotonates C2 using the same hydrogen. The net result of steps 4 and 5 together is the production of two glyceraldehyde 3-phosphate molecules, both of which pass down the rest of the pathway. Thus, each of the remaining five steps of glycolysis takes place twice for every glucose molecule entering at step 1.

Dihydroxyacetone phosphate is protonated to form cis enediol which isomerizes to glyceraldehyde-3-phosphate. The carbon in dihydroxyacetone phosphate is numbered from bottom to top.

Steps 67 of Figure 29.9: Oxidation, Phosphorylation, and Dephosphorylation

Glyceraldehyde 3-phosphate is oxidized and phosphorylated in step 6 to give 1,3-bisphosphoglycerate (Figure 29.12). The reaction is catalyzed by glyceraldehyde 3-phosphate dehydrogenase and begins by nucleophilic addition of the  –SH group of a cysteine residue in the enzyme to the aldehyde carbonyl group to yield a hemithioacetal (Section 19.10), the sulfur analog of a hemiacetal. Oxidation of the hemithioacetal  –OH group by NAD+ then yields a thioester, which reacts with phosphate ion in a nucleophilic acyl substitution step to yield 1,3-bisphosphoglycerate, a mixed anhydride derived from a carboxylic acid and a phosphoric acid.

Glyceraldehyde-3-phosphate is converted to 1,3-bisphosphoglycerate via a nicotinamide adenine dinucleotide phosphate cation-mediated oxidation of a hemithioacetal intermediate,  which undergoes a thioester condensation, and elimination to provide  1,3-bisphosphoglycerate.
Figure 29.12 Mechanism of step 6 in Figure 29.9, the oxidation and phosphorylation of glyceraldehyde 3-phosphate to give 1,3-bisphosphoglycerate. The process occurs through initial formation of a hemiacetal that is oxidized to a thioester and converted into an acyl phosphate.

Like all anhydrides (Section 21.5), the mixed carboxylic–phosphoric anhydride is a reactive substrate in nucleophilic acyl (or phosphoryl) substitution reactions. Reaction of 1,3-bisphosphoglycerate with ADP occurs in step 7 by substitution on phosphorus, resulting in transfer of a phosphate group to ADP and giving ATP plus 3-phosphoglycerate. The process is catalyzed by phosphoglycerate kinase and requires Mg2+ as cofactor. Together, steps 6 and 7 accomplish the oxidation of an aldehyde to a carboxylic acid.

1,3-Bisphosphoglycerate is mono-dephosphorylated via the condensation with magnesium adenosine diphosphate to form a phosphorated ester intermediate that undergoes elimination of adenosine triphosphate and 3-phosphoglycerate.

Step 8 of Figure 29.9: Isomerization

3-Phosphoglycerate isomerizes to 2-phosphoglycerate in a step catalyzed by phosphoglycerate mutase. In plants, 3-phosphoglycerate transfers its phosphoryl group from its C3 oxygen to a histidine residue on the enzyme in one step and then accepts the same phosphoryl group back onto the C2 oxygen in a second step. In animals and yeast, however, the enzyme contains a phosphorylated histidine, which transfers its phosphoryl group to the C2 oxygen of 3-phosphoglycerate and forms 2,3-bisphosphoglycerate as intermediate. The same histidine then accepts a phosphoryl group from the C3 oxygen to yield the isomerized product plus the regenerated enzyme. As explained in Section 29.4, we’ll occasionally use an abbreviated mechanism for nucleophilic acyl substitution reactions to save space.

3-Phosphoglycerate is phosphorylated by a phosphoglycerate mutase to provide a 2,3-bisphosphoglycerate intermediate, which  is enzymatically dephosphorylated to  2-phosphoglycerate, and the rephosphorylated mutase.

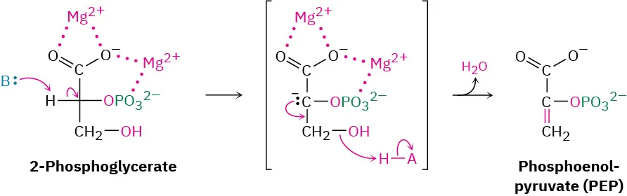
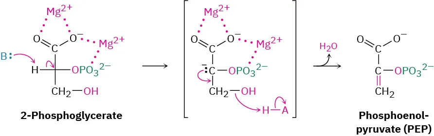
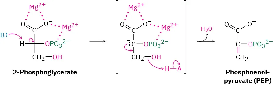
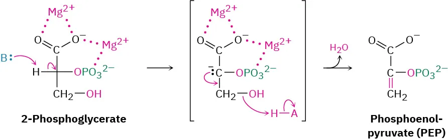
Steps 910 of Figure 29.9: Dehydration and Dephosphorylation

Like most β-hydroxy carbonyl compounds, 2-phosphoglycerate undergoes a ready dehydration in step 9 by an E1cB mechanism (Section 23.3). The process is catalyzed by enolase, and the product is phosphoenolpyruvate, abbreviated PEP. Two Mg2+ ions are associated with the 2-phosphoglycerate to neutralize the negative charges.

The magnesium salt of 2-phosphoglycerate  reacts with a base to form a phosphoglycerate anion which is dehydrated to provide phosphoenol pyruvate and water.

Transfer of the phosphoryl group to ADP in step 10 then generates ATP and gives enolpyruvate, which tautomerizes to pyruvate. The reaction is catalyzed by pyruvate kinase and requires that a molecule of fructose 1,6-bisphosphate also be present, as well as 2 equivalents of Mg2+. One Mg2+ ion coordinates to ADP, and the other increases the acidity of a water molecule necessary for protonation of the enolate ion.

Phosphoenol pyruvate reacts with the magnesium salt of adenosine diphosphate and water to form an enol pyruvate which isomerizes  to  pyruvate and  adenosine triphosphate.

The overall result of glycolysis can be summarized by the following equation:

Glucose reacts with two moles  each of nicotinamide adenine dinucleotide cation, phosphate and adenosine diphosphate to form two moles of pyruvate, nicotinamide adenine dinucleotide phosphate hydride, adenosine triphosphate, and water.
Problem 29-7
Identify the two steps of glycolysis in which ATP is produced.
Problem 29-8
Look at the entire glycolysis pathway, and make a list of the kinds of organic reactions that take place—nucleophilic acyl substitutions, aldol reactions, E1cB reactions, and so forth.
Citation/Attribution

This book may not be used in the training of large language models or otherwise be ingested into large language models or generative AI offerings without OpenStax's permission.

Want to cite, share, or modify this book? This book uses the Creative Commons Attribution-NonCommercial-ShareAlike License and you must attribute OpenStax.

Attribution information
  • If you are redistributing all or part of this book in a print format, then you must include on every physical page the following attribution:

    Access for free at https://openstax.org/books/organic-chemistry/pages/1-why-this-chapter

  • If you are redistributing all or part of this book in a digital format, then you must include on every digital page view the following attribution:

    Access for free at https://openstax.org/books/organic-chemistry/pages/1-why-this-chapter

Citation information

© Jul 9, 2025 OpenStax. Textbook content produced by OpenStax is licensed under a Creative Commons Attribution-NonCommercial-ShareAlike License . The OpenStax name, OpenStax logo, OpenStax book covers, OpenStax CNX name, and OpenStax CNX logo are not subject to the Creative Commons license and may not be reproduced without the prior and express written consent of Rice University.