Skip to ContentGo to accessibility pageKeyboard shortcuts menu
OpenStax Logo
Organic Chemistry

Summary of Reactions

Organic ChemistrySummary of Reactions
Search for key terms or text.

8 • Summary of Reactions

8 • Summary of Reactions

No stereochemistry is implied unless specifically indicated with wedged, solid, and dashed lines.

  1. Addition reactions of alkenes
    1. Addition of HCl, HBr, and HI (Section 7.7 and Section 7.8)
      Markovnikov regiochemistry occurs, with H adding to the less highly substituted alkene carbon and halogen adding to the more highly substituted carbon.
      An alkene reacts with hydrogen halide in the presence of ether to form a product, in which C1 is bonded to a hydrogen to C2 and a halogen atom.
    2. Addition of halogens Cl2 and Br2 (Section 8.2)
      Anti addition is observed through a halonium ion intermediate.
      A reaction shows an alkene reacting with dihalide in dichloromethane to form a product, in which each carbon is bonded to a halogen group.
    3. Halohydrin formation (Section 8.3)
      Markovnikov regiochemistry and anti stereochemistry occur.
      An alkene reacts with dihalogen in presence of water to form product and hydrogen halide. In product, C1 is bonded to hydroxyl group. C2 is bonded to halogen.
    4. Addition of water by oxymercuration–demercuration (Section 8.4)
      Markovnikov regiochemistry occurs.
      Alkene reacts with mercury (II) acetate, water in tetrahydrofuran in first step, and sodium borohydride in second step to form a product, in which C1 is bonded to hydroxyl group.
    5. Addition of water by hydroboration–oxidation (Section 8.5)
      Non-Markovnikov syn addition occurs.
      Alkene reacts with borane in tetrahydrofuran and hydrogen peroxide in hydroxide ion to form a product, in which C1 is bonded to a hydroxyl group.
    6. Catalytic hydrogenation (Section 8.6)
      Syn addition occurs.
      Alkene reacts with hydrogen in the presence of palladium on carbon  or platinum dioxide to form an alkane.
    7. Epoxidation with a peroxyacid (Section 8.7)
      Syn addition occurs.
      Alkene reacts with peroxyacid to form an epoxide.
    8. Hydroxylation with OsO4 (Section 8.7)
      Syn addition occurs.
      Alkene reacts with osmium tetroxide in the first step, sodium bisulfite water or osmium tetroxide, and N M O in the second step to form a diol.
    9. Addition of carbenes to yield cyclopropanes (Section 8.9)

      (1) Dichlorocarbene addition

      A reaction shows an alkene reacting with trichloromethane in the presence of potassium hydroxide to form a cyclopropane, in which C 1 is bonded to two chlorine atoms.

      (2) Simmons–Smith reaction

      A reaction shows an alkene reacting with diiodomethane in the presence of zinc-copper and ether to form cyclopropane.
  2. Hydroxylation by acid-catalyzed epoxide hydrolysis (Section 8.7)
    Anti stereochemistry occurs.
    A reaction shows an epoxide reacting with hydronium ion to form a trans-1,2-diol.
  3. Oxidative cleavage of alkenes (Section 8.8)
    1. Reaction with ozone followed by zinc in acetic acid
      Alkene with two R groups on each carbon reacts with ozone and zinc-hydronium to form two ketones, each with a carbonyl group bonded to two R groups.
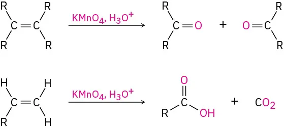
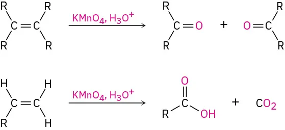
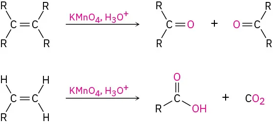
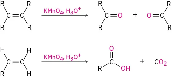
    2. Reaction with KMnO4 in acidic solution
      Alkene with two R groups on each carbon reacts with potassium permanganate and hydronium ion, yielding two ketones. Alkene with one R converts to carboxylic acid and carbon dioxide.
  4. Cleavage of 1,2-diols (Section 8.8)
    The figure shows 1,2-diol reacts with periodic acid in the presence of water to form two carbonyl compounds.
Citation/Attribution

This book may not be used in the training of large language models or otherwise be ingested into large language models or generative AI offerings without OpenStax's permission.

Want to cite, share, or modify this book? This book uses the Creative Commons Attribution-NonCommercial-ShareAlike License and you must attribute OpenStax.

Attribution information
  • If you are redistributing all or part of this book in a print format, then you must include on every physical page the following attribution:

    Access for free at https://openstax.org/books/organic-chemistry/pages/1-why-this-chapter

  • If you are redistributing all or part of this book in a digital format, then you must include on every digital page view the following attribution:

    Access for free at https://openstax.org/books/organic-chemistry/pages/1-why-this-chapter

Citation information

© Jul 9, 2025 OpenStax. Textbook content produced by OpenStax is licensed under a Creative Commons Attribution-NonCommercial-ShareAlike License . The OpenStax name, OpenStax logo, OpenStax book covers, OpenStax CNX name, and OpenStax CNX logo are not subject to the Creative Commons license and may not be reproduced without the prior and express written consent of Rice University.