Skip to ContentGo to accessibility pageKeyboard shortcuts menu
OpenStax Logo
Organic Chemistry

8.7 Oxidation of Alkenes: Epoxidation and Hydroxylation

Organic Chemistry8.7 Oxidation of Alkenes: Epoxidation and Hydroxylation
Search for key terms or text.

8.7 • Oxidation of Alkenes: Epoxidation and Hydroxylation

Like the word reduction used in the previous section for the addition of hydrogen to a double bond, the word oxidation has a slightly different meaning in organic chemistry than what you might have previously learned. In general chemistry, an oxidation is defined as the loss of one or more electrons by an atom. In organic chemistry, however, an oxidation is a reaction that results in a loss of electron density for carbon, caused either by bond formation between carbon and a more electronegative atom—usually oxygen, nitrogen, or a halogen—or by bond-breaking between carbon and a less electronegative atom—usually hydrogen. Note that an oxidation often adds oxygen, while a reduction often adds hydrogen.

Oxidation Decreases electron density on carbon by: forming one of these:C−OC−NC−X or breaking this:C−H Oxidation Decreases electron density on carbon by: forming one of these:C−OC−NC−X or breaking this:C−H

In the laboratory, alkenes are oxidized to give epoxides on treatment with a peroxyacid, RCO3H, such as meta-chloroperoxybenzoic acid. An epoxide, also called an oxirane, is a cyclic ether with an oxygen atom in a three-membered ring. For example:

A reaction shows the epoxidation of cycloheptene with meta-chloroperoxybenzoic acid in dichloromethane to form epoxycycloheptane and meta-chlorobenzoic acid

Peroxyacids transfer an oxygen atom to the alkene with syn stereochemistry—both C−O bonds form on the same face of the double bond—through a one-step mechanism without intermediates. The oxygen atom farthest from the carbonyl group is the one transferred.

A reaction mechanism shows alkene reacting with peroxyacid to form epoxide and acid.

Another method for the synthesis of epoxides involves the use of halohydrins, prepared by electrophilic addition of HO−X to alkenes (Section 8.3). When a halohydrin is treated with base, HX is eliminated and an epoxide is produced.

Cyclohexene reacts with chlorine in the presence of water to form trans-2-chloro-cyclohexanol, which reacts with aqueous sodium hydroxide to form 1,2-epoxycyclohexane (73 percent yield), water, and sodium chloride.

Epoxides undergo an acid-catalyzed ring-opening reaction with water (a hydrolysis) to give the corresponding 1,2-dialcohol, or diol, also called a glycol. Thus, the net result of the two-step alkene epoxidation/hydrolysis is hydroxylation—the addition of an −OH group to each of the two double-bond carbons. In fact, approximately 204 million tons of ethylene glycol, HOCH2CH2OH, most of it used for automobile antifreeze, are produced worldwide each year by the epoxidation of ethylene and subsequent hydrolysis.

An alkene undergoes epoxidation to form an epoxide, which reacts with hydronium ion to form a 1,2-diol product.

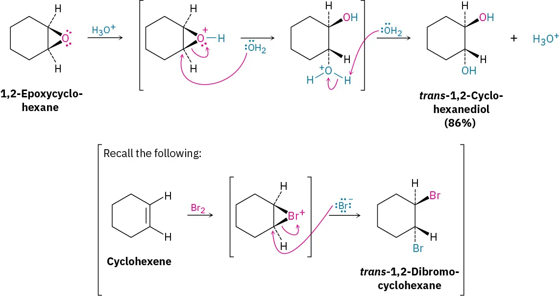
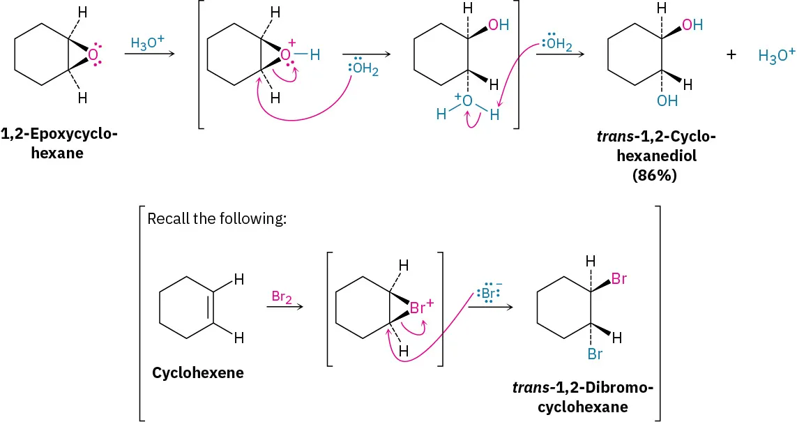
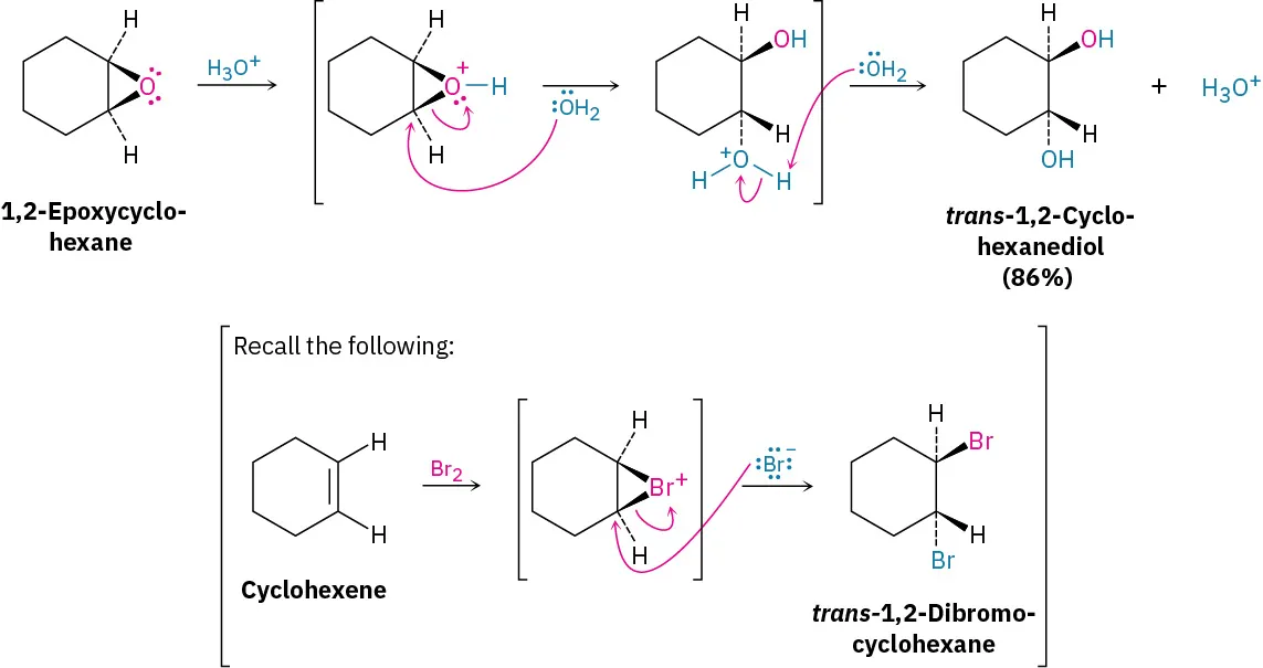
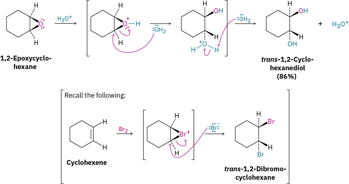
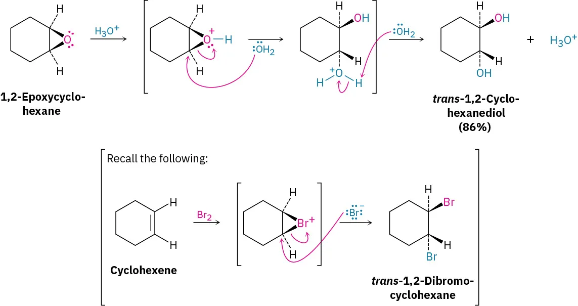
Acid-catalyzed epoxide opening begins with protonation of the epoxide to increase its reactivity, followed by nucleophilic addition of water. This nucleophilic addition is analogous to the final step of alkene bromination, in which a cyclic bromonium ion is opened by a nucleophile (Section 8.2). That is, a trans-1,2-diol results when an epoxycycloalkane is opened by aqueous acid, just as a trans-1,2-dibromide results when a cycloalkene is brominated. We’ll look at epoxide chemistry in more detail in Section 18.6.

A reaction mechanism shows 1,2-epoxycyclohexane reacting with hydronium ion and water to form trans-1,2-cyclohexanediol (86 percent yield). At the bottom, cyclohexene reacts with bromine to form trans-1,2-dibromocyclohexane.

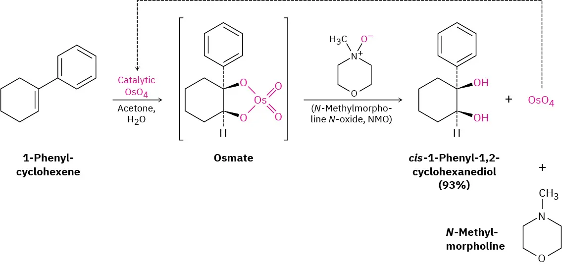
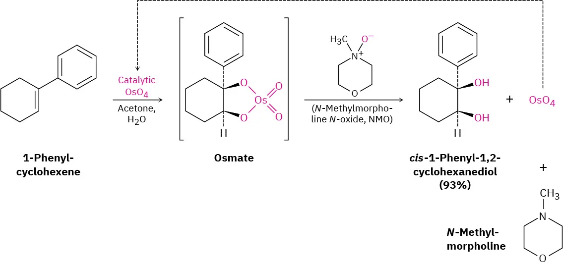
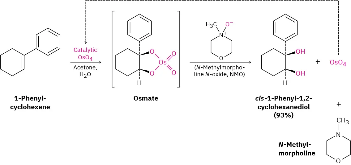
Hydroxylation can also be carried out directly (without going through an intermediate epoxide) by treating an alkene with osmium tetroxide, OsO4. The reaction occurs with syn stereochemistry and does not involve a carbocation intermediate. Instead, it takes place through an intermediate cyclic osmate, which is formed in a single step by addition of OsO4 to the alkene. This cyclic osmate is then cleaved using aqueous sodium bisulfite, NaHSO3.

1,2-Dimethylcyclopentene reacts with osmium tetroxide in pyridine to form a cyclic osmate intermediate, which reacts with N a H S O 3 in water to form cis-1,2-dimethyl-1,2-cyclopentanediol (87 percent yield).

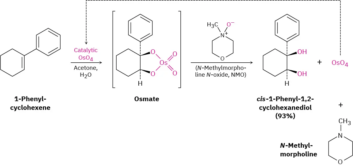
Because OsO4 is both very expensive and very toxic, the reaction is usually carried out using only a small, catalytic amount of OsO4 in the presence of a stoichiometric amount of a safe and inexpensive co-oxidant such as N-methylmorpholine N-oxide, abbreviated NMO. The initially formed osmate intermediate reacts rapidly with NMO to yield the product diol plus N-methylmorpholine and reoxidized OsO4, which reacts with more alkene in a catalytic cycle.

1-Phenyl-cyclohexene reacts with catalytic osmium tetroxide in the presence of acetone and water, followed by  N-methylmorpholine N-oxide reduction to form cis-1-phenyl-1,2-cyclohexanediol (93 percent yield), osmium tetroxide, and N-methyl-morpholine.
Problem 8-13
What product would you expect from reaction of cis-2-butene with meta-chloroperoxybenzoic acid? Show the stereochemistry.
Problem 8-14
Starting with an alkene, how would you prepare each of the following compounds?
(a)
The structure has a cyclohexane ring with a methyl group dash bonded at C1 and hydroxyl groups wedge bonded at C1 and C2.
(b)
The condensed structural formula has a 5-carbon chain. C2 is bonded to a hydroxyl group and a methyl group. C3 is bonded to a hydroxyl group.
(c)
The condensed structural formula has a 4-carbon chain with each carbon bonded to a hydroxyl group.
Citation/Attribution

This book may not be used in the training of large language models or otherwise be ingested into large language models or generative AI offerings without OpenStax's permission.

Want to cite, share, or modify this book? This book uses the Creative Commons Attribution-NonCommercial-ShareAlike License and you must attribute OpenStax.

Attribution information
  • If you are redistributing all or part of this book in a print format, then you must include on every physical page the following attribution:

    Access for free at https://openstax.org/books/organic-chemistry/pages/1-why-this-chapter

  • If you are redistributing all or part of this book in a digital format, then you must include on every digital page view the following attribution:

    Access for free at https://openstax.org/books/organic-chemistry/pages/1-why-this-chapter

Citation information

© Jul 9, 2025 OpenStax. Textbook content produced by OpenStax is licensed under a Creative Commons Attribution-NonCommercial-ShareAlike License . The OpenStax name, OpenStax logo, OpenStax book covers, OpenStax CNX name, and OpenStax CNX logo are not subject to the Creative Commons license and may not be reproduced without the prior and express written consent of Rice University.