Skip to ContentGo to accessibility pageKeyboard shortcuts menu
OpenStax Logo
Organic Chemistry

7.8 Orientation of Electrophilic Additions: Markovnikov’s Rule

Organic Chemistry7.8 Orientation of Electrophilic Additions: Markovnikov’s Rule
Search for key terms or text.

7.8 • Orientation of Electrophilic Additions: Markovnikov’s Rule

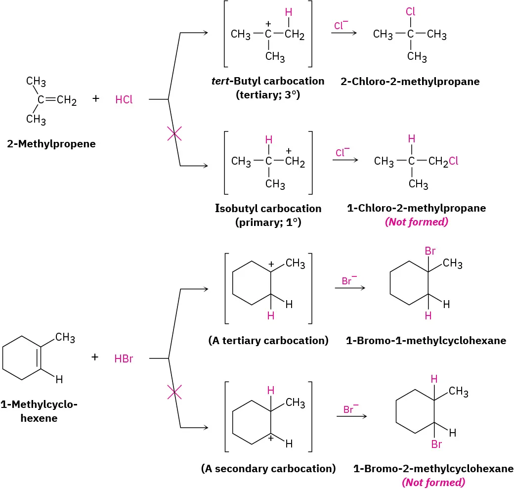
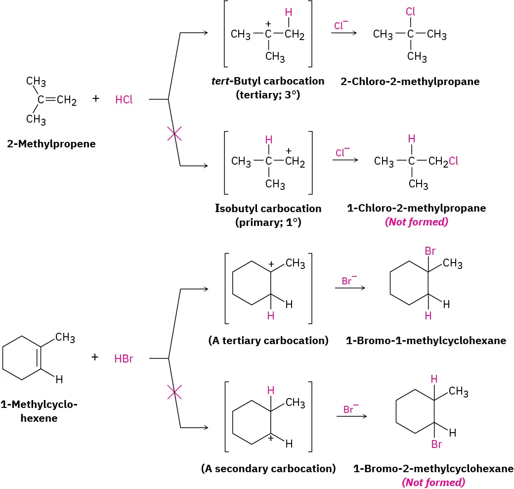
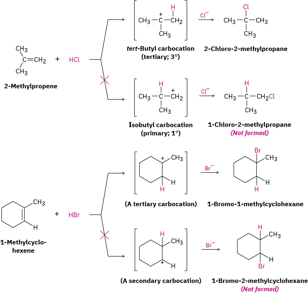
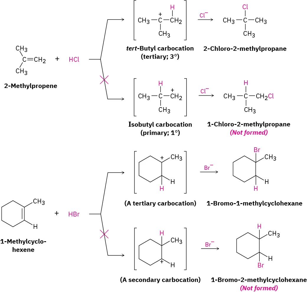
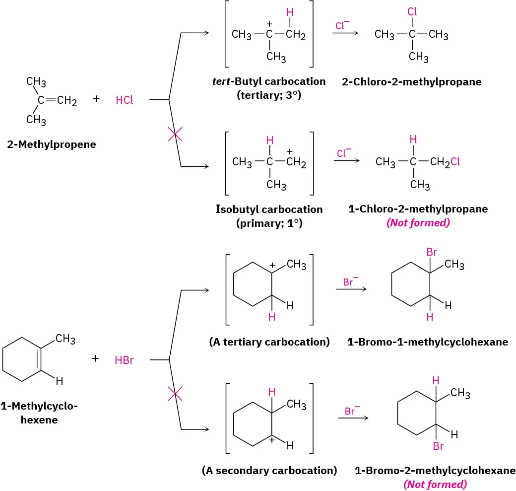
Look carefully at the electrophilic addition reactions shown in the previous section. In each case, an unsymmetrically substituted alkene has given a single addition product rather than the mixture that might be expected. For example, 2-methylpropene might react with HCl to give both 2-chloro-2-methylpropane and 1-chloro-2-methylpropane, but it doesn’t. It gives only 2-chloro-2-methylpropane as the sole product. Similarly, it’s invariably the case in biological alkene addition reactions that only a single product is formed. We say that such reactions are regiospecific (ree-jee-oh-specific) when only one of two possible orientations of an addition occurs.

2-methylpropene reacts with hydrogen chloride to produce 2-chloro-2-methylpropane (labeled sole product). The structure of 1-chloro-2-methylpropane is labeled as not formed.

After looking at the results of many such reactions, the Russian chemist Vladimir Markovnikov proposed in 1869 what has become known as:

Markovnikov’s rule
In the addition of HX to an alkene, the H attaches to the carbon with fewer alkyl substituents and the X attaches to the carbon with more alkyl substituents.

2-methylpropene reacts with hydrogen chloride in ether to form 2-chloro-2-methylpropane. 1-methylcyclohexene reacts with hydrogen bromide in ether to form 1-bromo-1-methylcyclohexane. X adds to more substituted carbon.

When both double-bonded carbon atoms have the same degree of substitution, a mixture of addition products results.

2-pentene reacts with hydrogen bromide in ether to form 2-bromopentane and 3-bromopentane. Text indicates each end of double bond has one substituent.

Because carbocations are involved as intermediates in these electrophilic addition reactions, Markovnikov’s rule can be restated in the following way:

Markovnikov’s rule restated
In the addition of HX to an alkene, the more highly substituted carbocation is formed as the intermediate rather than the less highly substituted one.

For example, addition of H+ to 2-methylpropene yields the intermediate tertiary carbocation rather than the alternative primary carbocation, and addition to 1-methylcyclohexene yields a tertiary cation rather than a secondary one. Why should this be?

First reaction shows 2-methylpropene reacting with hydrogen chloride to yield 2-chloro-2-methylpropane. 1-chloro-2-methylpropane is not formed. Second reaction shows 1-methylcyclohexene reacting with hydrogen bromide to yield 1-bromo-1-methylcyclohexane. 1-bromo-2-methylcyclohexane is not formed.

Worked Example 7.2

Predicting the Product of an Electrophilic Addition Reaction

What product would you expect from reaction of HCl with 1-ethylcyclopentene?

An incomplete reaction shows cyclopentene with an ethyl group at C1 reacting with hydrogen chloride to form unknown product(s), depicted by a question mark.

Strategy

When solving a problem that asks you to predict a reaction product, begin by looking at the functional group(s) in the reactants and deciding what kind of reaction is likely to occur. In the present instance, the reactant is an alkene that will probably undergo an electrophilic addition reaction with HCl. Next, recall what you know about electrophilic addition reactions to predict the product. You know that electrophilic addition reactions follow Markovnikov’s rule, so H+ will add to the double-bond carbon that has one alkyl group (C2 on the ring) and the Cl will add to the double-bond carbon that has two alkyl groups (C1 on the ring).

Solution

The expected product is 1-chloro-1-ethylcyclopentane.
A reaction shows cyclopentene with ethyl at C1 reacting with hydrogen chloride to form 1-chloro-1-ethylcyclopentane. C1 and C2 of cyclopentene have 2 and 1 alkyl groups, respectively.

Worked Example 7.3

Synthesizing a Specific Compound

What alkene would you start with to prepare the following alkyl halide? There may be more than one possibility.

Unknown reactant(s), depicted by a question mark, form a product that has a 6-carbon chain. In the product, C3 is bonded to a chlorine atom and a methyl group.

Strategy

When solving a problem that asks how to prepare a given product, always work backward. Look at the product, identify the functional group(s) it contains, and ask yourself, “How can I prepare that functional group?” In the present instance, the product is a tertiary alkyl chloride, which can be prepared by reaction of an alkene with HCl. The carbon atom bearing the −Cl atom in the product must be one of the double-bond carbons in the reactant. Draw and evaluate all possibilities.

Solution

There are three possibilities, all of which could give the desired product according to Markovnikov’s rule.
3-methyl-2-hexene, 3-methyl-3-hexene, and 2-n-propyl-1-butene all react with hydrogen chloride to form the product 3-chloro-3-methylhexane.
Problem 7-16
Predict the products of the following reactions:
(a)
Cyclohexene reacts with hydrogen chloride to form an unknown product(s), depicted by a question mark.
(b)
2-methyl-2-pentene reacts with hydrogen bromide to form an unknown product(s), depicted by a question mark.
(c)
4-methyl-1-pentene reacts with water and sulfuric acid to form an unknown product(s), depicted by a question mark. Text says addition of H 2 O occurs.
(d)
Methylenecyclohexane reacts with hydrogen bromide to form an unknown product(s), depicted by a question mark.
Problem 7-17
What alkenes would you start with to prepare the following products?
(a)
A chemical structure of bromocyclopentane.
(b)
A chemical structure of 1-ethyl-1-iodocyclohexane.
(c)
A chemical structure of 3-bromohexane.
(d)
A chemical structure of 1-chloroethylcyclohexane.
Citation/Attribution

This book may not be used in the training of large language models or otherwise be ingested into large language models or generative AI offerings without OpenStax's permission.

Want to cite, share, or modify this book? This book uses the Creative Commons Attribution-NonCommercial-ShareAlike License and you must attribute OpenStax.

Attribution information
  • If you are redistributing all or part of this book in a print format, then you must include on every physical page the following attribution:

    Access for free at https://openstax.org/books/organic-chemistry/pages/1-why-this-chapter

  • If you are redistributing all or part of this book in a digital format, then you must include on every digital page view the following attribution:

    Access for free at https://openstax.org/books/organic-chemistry/pages/1-why-this-chapter

Citation information

© Jul 9, 2025 OpenStax. Textbook content produced by OpenStax is licensed under a Creative Commons Attribution-NonCommercial-ShareAlike License . The OpenStax name, OpenStax logo, OpenStax book covers, OpenStax CNX name, and OpenStax CNX logo are not subject to the Creative Commons license and may not be reproduced without the prior and express written consent of Rice University.