Skip to ContentGo to accessibility pageKeyboard shortcuts menu
OpenStax Logo
Search for key terms or text.

Problem 7-3
C16H13ClN2O
Problem 7-4
(a)
3,4,4-Trimethyl-1-pentene
(b)
3-Methyl-3-hexene
(c)
4,7-Dimethyl-2,5-octadiene
(d)
6-Ethyl-7-methyl-4-nonene
Problem 7-6
(a)
1,2-Dimethylcyclohexene
(b)
4,4-Dimethylcycloheptene
(c)
3-Isopropylcyclopentene
Problem 7-7
(a)
2,5,5-Trimethylhex-2-ene
(b)
2,3-Dimethylcyclohexa-1,3-diene
Problem 7-9
Compounds (c), (e), and (f) have cis–trans isomers.
Problem 7-10
(a)
cis-4,5-Dimethyl-2-hexene
(b)
trans-6-Methyl-3-heptene
Problem 7-11
(a)
−CH3
(b)
−Cl
(c)
−CH = CH2
(d)
−OCH3
(e)
−CH = O
(f)
−CH = O
Problem 7-12
(a)
−Cl,  −OH,  −CH3,  −H
(b)
−CH2OH,  −CH = CH2,  −CH2CH3,  −CH3
(c)
−CO2H,  −CH2OH,  −C N,  −CH2NH2
(d)
−CH2OCH3,  −C N,  −C CH,  −CH2CH3
Problem 7-15
(a)
2-Methylpropene is more stable than 1-butene.
(b)
trans-2-Hexene is more stable than cis-2-hexene.
(c)
1-Methylcyclohexene is more stable than 3-methylcyclohexene.
Problem 7-16
(a)
Chlorocyclohexane
(b)
2-Bromo-2-methylpentane
(c)
4-Methyl-2-pentanol
(d)
1-Bromo-1-methylcyclohexane
Problem 7-17
(a)
Cyclopentene
(b)
1-Ethylcyclohexene or ethylidenecyclohexane
(c)
3-Hexene
(d)
Vinylcyclohexane (cyclohexylethylene)
Problem 7-19
In the conformation shown, only the methyl- group C−H that is parallel to the carbocation p orbital can show hyperconjugation.
Problem 7-20
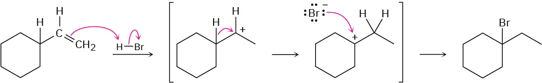
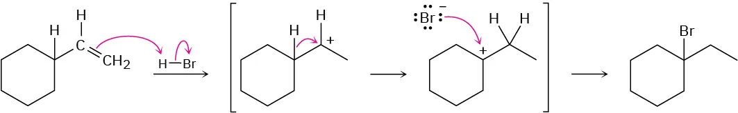
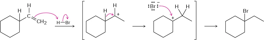
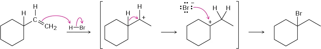
The second step is exergonic; the transition state resembles the carbocation.
Citation/Attribution

This book may not be used in the training of large language models or otherwise be ingested into large language models or generative AI offerings without OpenStax's permission.

Want to cite, share, or modify this book? This book uses the Creative Commons Attribution-NonCommercial-ShareAlike License and you must attribute OpenStax.

Attribution information
  • If you are redistributing all or part of this book in a print format, then you must include on every physical page the following attribution:

    Access for free at https://openstax.org/books/organic-chemistry/pages/1-why-this-chapter

  • If you are redistributing all or part of this book in a digital format, then you must include on every digital page view the following attribution:

    Access for free at https://openstax.org/books/organic-chemistry/pages/1-why-this-chapter

Citation information

© Jul 9, 2025 OpenStax. Textbook content produced by OpenStax is licensed under a Creative Commons Attribution-NonCommercial-ShareAlike License . The OpenStax name, OpenStax logo, OpenStax book covers, OpenStax CNX name, and OpenStax CNX logo are not subject to the Creative Commons license and may not be reproduced without the prior and express written consent of Rice University.