Skip to ContentGo to accessibility pageKeyboard shortcuts menu
OpenStax Logo
Search for key terms or text.

Problem 6-1
(a)
Substitution
(b)
Elimination
(c)
Addition
Problem 6-2
(a)
Carbon is electrophilic.
(b)
Sulfur is nucleophilic.
(c)
Nitrogens are nucleophilic (for reasons that will be explained in Chapter 15).
(d)
Oxygen is nucleophilic; carbon is electrophilic.
Problem 6-4
Bromocyclohexane; chlorocyclohexane
Problem 6-5
A central carbon with a positive charge is bonded to three methyl groups.

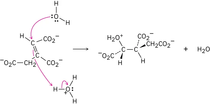
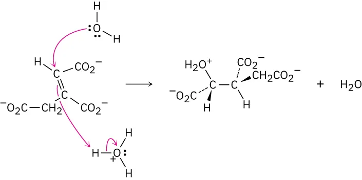
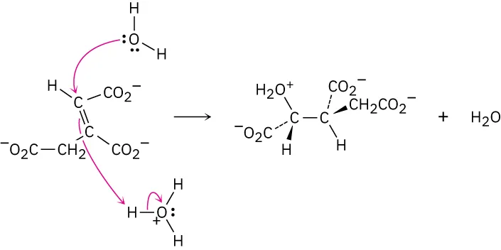
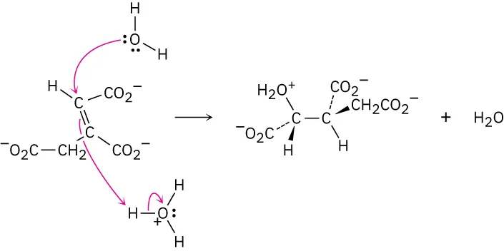
The mechanism is shown in Figure 6.4

Problem 6-8
1-Chloro-2-methylpentane, 2-chloro-2-methylpentane, 3-chloro-2-methylpentane, 2-chloro-4-methylpentane, 1-chloro- 4-methylpentane
Problem 6-10
Negative ΔG° is favored.
Problem 6-11
Larger Keq is more exergonic.
Problem 6-12
Lower ΔG is faster.
Citation/Attribution

This book may not be used in the training of large language models or otherwise be ingested into large language models or generative AI offerings without OpenStax's permission.

Want to cite, share, or modify this book? This book uses the Creative Commons Attribution-NonCommercial-ShareAlike License and you must attribute OpenStax.

Attribution information
  • If you are redistributing all or part of this book in a print format, then you must include on every physical page the following attribution:

    Access for free at https://openstax.org/books/organic-chemistry/pages/1-why-this-chapter

  • If you are redistributing all or part of this book in a digital format, then you must include on every digital page view the following attribution:

    Access for free at https://openstax.org/books/organic-chemistry/pages/1-why-this-chapter

Citation information

© Jul 9, 2025 OpenStax. Textbook content produced by OpenStax is licensed under a Creative Commons Attribution-NonCommercial-ShareAlike License . The OpenStax name, OpenStax logo, OpenStax book covers, OpenStax CNX name, and OpenStax CNX logo are not subject to the Creative Commons license and may not be reproduced without the prior and express written consent of Rice University.