Skip to ContentGo to accessibility pageKeyboard shortcuts menu
OpenStax Logo
Search for key terms or text.

Problem 5-1
Chiral: screw, shoe
Problem 5-5
Levorotatory
Problem 5-7
(a)
−Br
(b)
−Br
(c)
−CH2CH3
(d)
−OH
(e)
−CH2OH
(f)
−CH = O
Problem 5-8
(a)
−OH, −CH2CH2OH, −CH2CH3, −H
(b)
−OH, −CO2CH3, −CO2H, −CH2OH
(c)
−NH2, −CN, −CH2NHCH3, −CH2NH2
(d)
−SSCH3, −SH, −CH2SCH3, −CH3
Problem 5-13
Compound (a) is D-erythrose 4-phosphate, (d) is its enantiomer, and (b) and (c) are diastereomers.
Problem 5-14
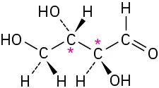
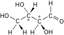
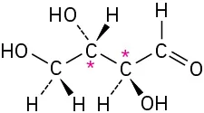
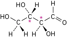
Five chirality centers and 25 = 32 stereoisomers
Problem 5-16
Compounds (a) and (d) are meso.
Problem 5-17
Compounds (a) and (c) have meso forms.
Problem 5-19
The product is pure S-ester. No new chirality centers are formed during the reaction, and the configuration at the chirality center of (S)-2-butanol is unchanged.
Problem 5-20
Two diastereomeric salts: (R)-lactic acid plus (S)-1-phenylethylamine and (S)-lactic acid plus (S)-1-phenylethylamine
Problem 5-21
(a)
Constitutional isomers
(b)
Diastereomers
Problem 5-24
(S)-Lactate
Problem 5-25
The −OH adds to the Re face of C2, and −H adds to the Re face of C3. The overall addition has anti stereochemistry.
Citation/Attribution

This book may not be used in the training of large language models or otherwise be ingested into large language models or generative AI offerings without OpenStax's permission.

Want to cite, share, or modify this book? This book uses the Creative Commons Attribution-NonCommercial-ShareAlike License and you must attribute OpenStax.

Attribution information
  • If you are redistributing all or part of this book in a print format, then you must include on every physical page the following attribution:

    Access for free at https://openstax.org/books/organic-chemistry/pages/1-why-this-chapter

  • If you are redistributing all or part of this book in a digital format, then you must include on every digital page view the following attribution:

    Access for free at https://openstax.org/books/organic-chemistry/pages/1-why-this-chapter

Citation information

© Jul 9, 2025 OpenStax. Textbook content produced by OpenStax is licensed under a Creative Commons Attribution-NonCommercial-ShareAlike License . The OpenStax name, OpenStax logo, OpenStax book covers, OpenStax CNX name, and OpenStax CNX logo are not subject to the Creative Commons license and may not be reproduced without the prior and express written consent of Rice University.