Skip to ContentGo to accessibility pageKeyboard shortcuts menu
OpenStax Logo
Organic Chemistry

6.5 Using Curved Arrows in Polar Reaction Mechanisms

Organic Chemistry6.5 Using Curved Arrows in Polar Reaction Mechanisms
Search for key terms or text.

6.5 • Using Curved Arrows in Polar Reaction Mechanisms

It takes practice to use curved arrows properly in reaction mechanisms, but there are a few rules and a few common patterns you should look for that will help you become more proficient:

RULE 1
Electrons move from a nucleophilic source (Nu: or Nu:) to an electrophilic sink (E or E+). The nucleophilic source must have an electron pair available, usually either as a lone pair or in a multiple bond. For example:

Four nucleophiles (oxygen, nitrogen, carbanion, alkene), each with an arrow pointing toward E. Text reads, Electrons usually flow from one of these nucleophiles.

The electrophilic sink must be able to accept an electron pair, usually because it has either a positively charged atom or a positively polarized atom in a functional group. For example:

Generic nucleophiles each with a curved arrow pointing toward electrophiles: carbocation, partial positive carbon, and partial positive hydrogen. Text reads, electrons usually flow to one of these electrophiles.

RULE 2
The nucleophile can be either negatively charged or neutral. If the nucleophile is negatively charged, the atom that donates an electron pair becomes neutral. For example:

A reaction mechanism shows the methoxide ion reacting with hydrogen bromide to form methanol and bromide ion. The oxygen in methanol is labeled as neutral.

If the nucleophile is neutral, the atom that donates the electron pair acquires a positive charge. For example:

A reaction mechanism shows ethene reacting with hydrogen bromide to form a carbocation and a bromide ion. The C1 of the reactant is labeled as neutral.

RULE 3
The electrophile can be either positively charged or neutral. If the electrophile is positively charged, the atom bearing that charge becomes neutral after accepting an electron pair. For example:

A reaction mechanism shows ethene reacting with hydronium ion to form a carbocation and neutral water molecule. The oxygen in water molecule is labeled as neutral.

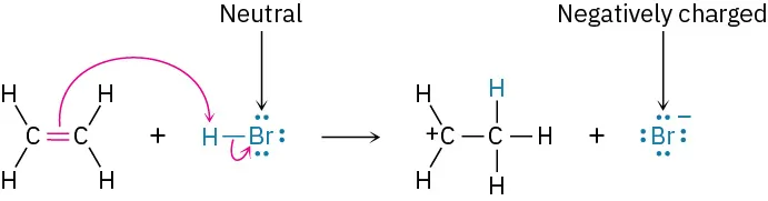
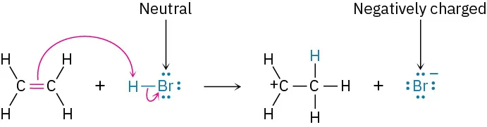
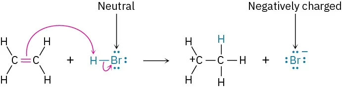
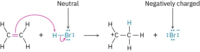
If the electrophile is neutral, the atom that ultimately accepts the electron pair acquires a negative charge. For this to happen, however, the negative charge must be stabilized by being on an electronegative atom such as oxygen, nitrogen, or a halogen. Carbon and hydrogen do not typically stabilize a negative charge. For example:

A reaction mechanism shows ethene reacting with hydrogen bromide to form a carbocation and a negatively charged bromide ion. The bromine in HBr is labeled as neutral.

The result of Rules 2 and 3 together is that charge is conserved during the reaction. A negative charge in one of the reactants gives a negative charge in one of the products, and a positive charge in one of the reactants gives a positive charge in one of the products.

RULE 4
The octet rule must be followed. That is, no second-row atom can be left with ten electrons (or four for hydrogen). If an electron pair moves to an atom that already has an octet (or two electrons for hydrogen), another electron pair must simultaneously move from that atom to maintain the octet. When two electrons move from the C═CC═C bond of ethylene to the hydrogen atom of H3O+, for instance, two electrons must leave that hydrogen. This means that the H−O bond must break and the electrons must stay with the oxygen, giving neutral water.

Ethene reacts with hydronium ion to form a carbocation and water molecule. Two arrows depict the movement of electrons.

Worked Example 6.2 gives another example of drawing curved arrows.

Worked Example 6.2

Using Curved Arrows in Reaction Mechanisms

Add curved arrows to the following polar reaction to show the flow of electrons:

Acetone with a carbanion on C 1 reacts with methyl bromide to form 2-butanone and a bromide ion.

Strategy

Look at the reaction, and identify the bonding changes that have occurred. In this case, a C−Br bond has broken and a C−C bond has formed. The formation of the C−C bond involves donation of an electron pair from the nucleophilic carbon atom of the reactant on the left to the electrophilic carbon atom of CH3Br, so we draw a curved arrow originating from the lone pair on the negatively charged C atom and pointing to the C atom of CH3Br. At the same time that the C−C bond forms, the C−Br bond must break so that the octet rule is not violated. We therefore draw a second curved arrow from the C−Br bond to Br. The bromine is now a stable Br ion.

Solution

Acetone with a carbanion on C 1 reacts with methyl bromide to form 2-butanone and a bromide ion. Arrows depict electrons flow from carbanion.
Problem 6-6
Add curved arrows to the following polar reactions to indicate the flow of electrons in each:
(a)
Chlorine molecule reacts with ammonia to form nitrogen with a positive charge bonded to three hydrogen atoms and a chlorine atom. The side product is chloride ion.
(b)
A methoxide ion reacts with methyl bromide to form dimethyl ether and a bromide ion.
(c)
A carbon bonded to an oxygen ion, methyl, chlorine, and methoxy group forms a carbonyl group bonded to methyl and methoxy group. The side product is chloride ion.
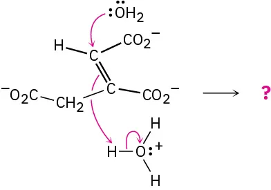
Problem 6-7

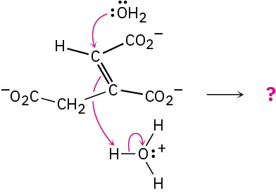
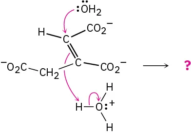
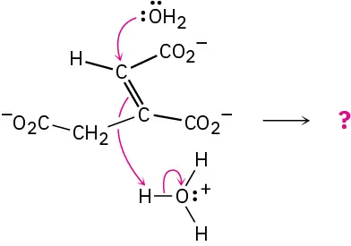
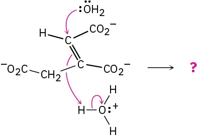
Predict the products of the following polar reaction, a step in the citric acid cycle for food metabolism, by interpreting the flow of electrons indicated by the curved arrows:

An incomplete reaction with an unknown product shows water molecule attacking an alkene carbon. The electrons from the double bond deprotonate hydronium.
Citation/Attribution

This book may not be used in the training of large language models or otherwise be ingested into large language models or generative AI offerings without OpenStax's permission.

Want to cite, share, or modify this book? This book uses the Creative Commons Attribution-NonCommercial-ShareAlike License and you must attribute OpenStax.

Attribution information
  • If you are redistributing all or part of this book in a print format, then you must include on every physical page the following attribution:

    Access for free at https://openstax.org/books/organic-chemistry/pages/1-why-this-chapter

  • If you are redistributing all or part of this book in a digital format, then you must include on every digital page view the following attribution:

    Access for free at https://openstax.org/books/organic-chemistry/pages/1-why-this-chapter

Citation information

© Jul 9, 2025 OpenStax. Textbook content produced by OpenStax is licensed under a Creative Commons Attribution-NonCommercial-ShareAlike License . The OpenStax name, OpenStax logo, OpenStax book covers, OpenStax CNX name, and OpenStax CNX logo are not subject to the Creative Commons license and may not be reproduced without the prior and express written consent of Rice University.